1. 서 론
2. 연구 방법
2.1 공동주택단지의 전기 에너지 소비량 및 지리 정보 수집
2.2 수집 자료의 전처리
2.3 각 공동주택 단지의 전기 에너지 소비 현황 분석
3. 연구 결과
3.1 각 도시의 공동주택 데이터셋 인자별 상관관계 분석
3.2 각 지역별 공동주택의 전기 에너지 소비량 분석 및 평가
3.3 각 도시별 공동주택의 전기 에너지 소비량 분석 및 평가
4. 결 론
1. 서 론
과도한 에너지 사용의 결과로 지구온난화에 따른 기후 변화는 과거부터 현재까지 지구의 평균기온을 상승시키고 요인으로 여기고 있다. UN IPCC 보고서에 따르면 2000년도 이후 100년간 지구의 평균기온은 대응 시나리오에 따라서 최저 1.0℃에서 최고 5.6℃까지 급속히 상승할 것으로 예측하고 있다1). 세계적으로 인식하고 있는 기후변화 문제를 해결하기 위해 지구온난화의 주범인 온실가스 배출량을 감축시키려는 활동을 진행하고 있으며, 대한민국 정부 역시 다양한 해결책과 목표를 수립하고 있다. 예를 들어, 대한민국 정부는 지구온난화의 가속화를 막기 위해 2030년까지 온실가스 배출전망치(BAU) 대비 37% 감축하는 것을 목표로 발표했다. 에너지를 소비하는 주요 분야 중 건축 분야는 절감 목표치의 32.7%를 감축하는 것을 목표로 하였다2).
현재 대한민국의 에너지 소비 실태에 대한 조사 및 분석하기 위해 공공 데이터3,4,5,6)를 활용해 분석한 결과 현재 대한민국 2010 ~ 2019년 10년 동안의 최종에너지 소비량(Million Tonnage of oil equivalent)는 Fig. 2과 같이 크게 산업, 수송, 건축, 공공으로 분류되며 2019년 기준 산업(61.8%) > 수송(18.6%) > 건축(17.3%) > 공공(2.3%) 순으로 소비되고 있다. 건축 부분의 2010년과 2019년을 비교하면 과거 대비 현재 3 M toe 증가했으며 최종 에너지 소비량 차지하는 비율로선 2% 감소한 것으로 나타났다. 건축 부분은 주거용, 상업용, 공장, 기타 등으로 분류되며 2019년 기준으로 주거용(63.8%), 상업용(17.9%), 기타(13.8%), 공장(4.5%) 비율로 차지하고 있다. 이 중 주거용 건물과 상업용 건물의 2010 ~ 2019년 10년 동안의 전기 에너지 소비량은 Fig. 1과 같으며 2010과 2019년을 비교한 결과 상업용 건물은 129 TWh에서 148 TWh로 19 TWh 증가했으며 주거용 건물은 61 TWh에서 70 TWh로 9 TWh 증가하였고 건축 부분 비율로 봤을 때 63.3%인 주거용 건물보다 18.1%인 상업용 건물에서 대략 2배 더 많은 전기 에너지를 소비하고 있다.
이러한 배경 하에 건축분야에서는 건축물의 에너지효율을 증대시키기 위한 다양한 정책을 시행 중에 있으며, 대표적인 것이 제로에너지건축물 인증 의무화제도이다7). 제로에너지 건축물 인증 의무화제도는 2020년부터 연면적 1,000 m2 이상 공공건축물을 대상으로 시행되었으며, 2023년부터는 연면적 500 m2 이상 공공건축물, 2025년부터는 연면적은 1,000 m2 이상 민간건축물 및 30세대 이상 공동주택, 2030년부터는 연면적 500 m2 이상 민간 및 공공건축물로 확대 계획을 가지고 있다.
현재 건축물 제로에너지건축물 인증제도와 에너지효율등급 인증제도는 전열과 취사에 대한 항목을 평가하지 않고 있다. 즉, 난방, 급탕, 냉방, 조명, 환기에 대해서만 평가를 하고 있으며 이는 인증받은 등급에 비해 실제 체감할 수 있는 건축물의 성능은 상이할 수 있다는 것을 의미한다. 실제 다양한 패시브기술과 액티브 기술을 적용한 주거용 건축물의 에너지 성능 분석을 수행한 사례 연구에 따르면 연간에너지소비량에서 전열이 차지하는 비율은 다양하게 나타났다. 예를 들면, Lim et al.8)은 전체 연간에너지소비량에서 전열이 차지하는 비율은 15% 그리고 취사는 8.1%의 비율을 보였고, Kim et al.9)는 33%의 비율이 전열 부하로 소비된다고 언급하였다. 위와 같은 비율을 고려했을 때 전열과 취사에 대한 평가 방법을 고민할 필요가 있다.
현행 제도에서 취사와 전열에 대한 평가 제외에는 사용자의 소비 특성에 따라 에너지 소비량에 대한 편차가 크게 나타나는 점, 관련 분야의 에너지 소비량 절감 기술 부족 등 다양한 요인이 있지만, 향후 현실적인 제로에너지 건축물 구현을 위해서는 전열과 취사를 평가 포함하는 제도의 고도화가 필요할 것으로 판단된다. 현재까지 국내 건물에너지 소비와 관련된 사례 연구를 살펴보면, Hwang Kwang-Il10)의 사례연구에서는 강원, 경기, 경북, 서울, 전남, 충청 6개 지역의 32개 아파트 단지의 월별 전력소비량을 분석하였으며 공동주택의 평균 전력소비량을 47 kWh/m2 ·yr (세대부담분), 31 kWh/m2 ·yr (세대내소비량)이란 결론을 도출하였다. Lee et al.11)의 사례연구에서는 경기도 성남시 분당구 소재의 공동주택의 전기 에너지 사용량을 분석하였으며 준공년도보다는 세대 면적에 따라 전기 에너지 사용량이 달라진다는 결론을 도출하였다. Ki et al.12)의 사례연구에서는 서울지역 4625개 오피스 빌딩의 에너지 사용량 분석을 진행하였으며 건물의 EUI (Energy Use Intensity) 값과 준공년도는 특별한 상관관계를 보이지 않는다라는 결론을 도출하였다. 그러나 현재까지 사례 연구를 살펴보면 여전히 많은 연구의 필요성이 요구된다. 예를 들면, 일부 국한된 범위의 데이터를 이용해서 결론을 도출했다는 점과 데이터 분석의 다양한 관점을 고려한다는 측면에서 넓은 범위의 기본적인 데이터 확보와 연구가 필요하다고 사료된다.
따라서, 본 연구는 다가오는 공동주택 제로에너지 빌딩 의무화 인증에 앞서 공동주택의 전기 에너지 사용량에 대한 벤치마킹 데이터를 제시를 목적으로 Fig. 4와 같이 부산, 서울, 대전, 광주 4개의 대표 도시를 선정하여 각 도시에 존재하는 약 4,200개의 공동주택 5년간 전기 에너지 사용량을 수집하여 통계학적 분석 기법을 활용해서 도시별 에너지 사용량의 추이와 분포를 분석하였다.
2. 연구 방법
본 연구는 Knowledge Discovery in Database (KDD) 분석 방법론13)을 활용하여 수행되었다. KDD 분석 방법론의 프로세스는 Fig. 3에 나타냈다. 국내 공동주택의 전기에너지 소비 현황 평가를 위한 공동주택은 서울, 대전, 광주, 부산에 위치한 공동주택을 대상으로 수행되었다. ‘건축물의 에너지절약설계기준’에서 서울과 대전지역은 중부2지역에 속해있으며 광주와 부산의 경우 남부지역에 포함되어 있다. 각 지역마다 다수의 공동주택을 대상으로 전기에너지 소비량과 지리 정보 데이터를 수집하였으며, 이상치 탐지 및 제거 등 전처리 과정을 수행한 뒤 소비현황 평가를 수행하였다. 본 연구의 전체적인 연구 흐름과 데이터 분석 절차는 Fig. 4와 같다.
2.1 공동주택단지의 전기 에너지 소비량 및 지리 정보 수집
공동주택의 전기 에너지 소비현황 평가를 위한 수집 자료는 크게 두 가지 자료로 나뉜다. 첫 번째는 각 공동주택단지의 지리 정보이며, 두 번째는 각 공동주택단지의 전기 에너지 소비량이다. 공동주택 단지의 전기 에너지 소비량은 공동주택관리정보시스템(K-apt) 웹 홈페이지에서 제공하는 공공 데이터를 활용하였으며, 지리 정보는 N사의 Open API를 활용하여 수집하였다. 현재 K-apt에서 제공하는 전기 에너지 소비량의 경우 공동 소비량과 세대 소비량의 분리가 되어있지 않아 전체 전기 에너지 소비량 자료를 수집하였다. 일반적으로 세대 소비량은 냉방, 조명, 가전 등을 포함한 각 세대에서 사용하는 전기 사용량을 의미하고, 공동 소비량은 단지 내에서 사용되는 엘리베이터, 관리사무소, 가로등 등을 포함한다. 앞서 언급한 바와 같이 본 연구에서 사용한 전기 소비량은 단지에서의 공동 소비량과 세대 소비량의 합을 의미한다. 각 지역의 공동주택을 대상으로 자료를 수집하였으며, 총 5년 동안의 월별 전기 에너지 소비량을 수집하였다. 수집된 지역의 지리적 위치에 대한 지도는 Fig. 5와 같고, 각 도시지역에 따라 여러 지구단위를 보인다.
2.2 수집 자료의 전처리
수집한 자료를 활용한 분석에 앞서 데이터 마이닝을 통해 수집된 자료에 존재할 수 있는 이상치, 결측치, 오측치 등을 식별하고 이에 대한 수정을 사전에 수행해야만 분석 결과에 대한 신뢰성이 향상될 수 있다. 따라서, 본 연구에서는 다양한 수집 자료에 대한 전처리를 수행하였다. 데이터 이상치 처리 방법으로는 Three-sigma rule, Inter Quartile Ratio (IQR), The Parzen window, C-menas, K-nn, Gaussian mixture model method 등 많은 알고리즘이 존재하며14) 본 논문에서는 데이터의 분포도와 이상치 상태를 동시에 확인 가능한 IQR 방법을 활용하였다. IQR을 활용한 이상치 제거 방법은 Fig. 6와 같으며 Minimum, Maximum 밖에 존재하는 값을 이상치로 판단하여 제거하는 방법으로, 넓은 범위의 분포 데이터에 효과적으로 적용할 수 있는 데이터 마이닝 방법론 중 하나이다. Fig. 6에 표기되어 있는 각 기호의 의미는 아래 식과 동일하다.
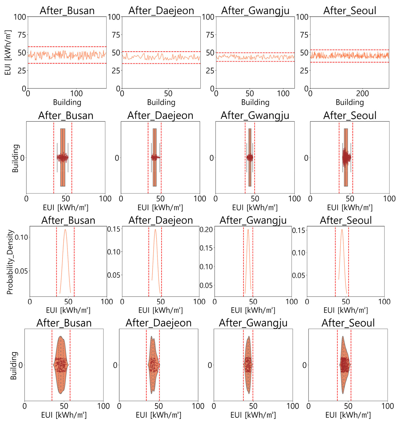
원데이터의 전처리 과정에서 수집된 전기 에너지 소비량에 존재하는 0, 1, 음수, 동일 값의 연속, 급등 값 총 5가지의 조건으로 데이터 이상치를 처리하였다. 그리고, IQR을 활용하여 데이터 이상치를 추가로 제거하였으며, 통계분석을 위해 5년 연속(2016년부터 2020년까지) 존재하지 않는 데이터를 제거한 결과 서울 302개, 대전 86개, 광주 117개, 부산 162개의 공동주택으로 전처리 과정을 완료하였다. 이 중 광주지역의 데이터를 IQR로 전처리하기 전과 후를 시각화한 결과는 Fig. 7과 같다. 그래프의 구성은 데이터 분포의 표현을 위해 꺽은 선, 박스, 확률밀도, 바이올린 그래프를 활용해 나타내었으며 전처리 전과 후로 기존에 빨간 점선 밖에 존재하던 데이터 이상치가 제거되는 모습을 볼 수 있다.
2.3 각 공동주택 단지의 전기 에너지 소비 현황 분석
전처리 과정을 완료한 데이터셋을 활용하여 각 공동주택 단지의 전기 에너지 소비 현황 분석을 수행하였다. 전기 에너지 소비 현황 분석을 위한 지표는 EUI (Energy Use Intensity) [kWh/m2]를 활용하였으며, EUI는 단위 면적당 연간 에너지 소비량을 의미한다. 아래 식은 EUI의 계산 식을 나타내고, 건물의 면적을 바탕으로 일반화시킴으로써 에너지 사용 범위를 효과적으로 분석할 수 있다. 본 연구를 위해서 서울, 대전, 광주, 부산 지역에 위치한 각각의 공동주택 단지에 대한 EUI 분석을 수행하였으며, 1년 단위의 EUI 분석을 통해 최근 5년 동안의 변화 경향을 분석하였다.
3. 연구 결과
데이터 전처리 과정 이후 정리된 데이터셋을 활용하여 다양한 분석을 수행하였다. 분석은 지리 정보, 단지 내 세대수, 준공연도 등과 전기 에너지 소비량의 상관관계 분석, 각 지역별 전기 에너지 소비 현황 분석 및 2020년 월별 전기 에너지 소비량 분석을 수행하였다.
3.1 각 도시의 공동주택 데이터셋 인자별 상관관계 분석
데이터셋이 가지고 있는 특징 및 각 인자별 상관관계를 분석하고자 4개 도시에 위치한 각 단지의 2020년도 위도, 경도, 준공년도, 주거전용면적, 세대수, EUI 값을 활용하여 상관관계 분석을 수행하였다. 분석결과는 Fig. 8에 나타냈으며, 그래프의 x축과 y축이 같은 그래프는 확률밀도함수이다. Fig. 8을 통해 분석 대상 자료의 특징 분석을 수행하였다. 준공연도는 모든 지역의 공동주택이 1980년대 초반부터 2010년대 후반까지 유사한 범위로 나타냈으며, 각 지역의 EUI 분포의 경우 부산을 제외한 서울, 대전, 광주의 경우 최소 EUI와 최대 EUI의 차이가 유사한 반면, 부산은 다른 지역에 비해 넓은 분포를 나타내는 것을 확인 할 수 있다. 또한 EUI와 지리적 위치, 준공연도, 단지 내 세대수 등 다른 지표의 상관관계는 크지 않은 것으로 분석되었다. 이는 EUI의 발생 요인이 건물 자체의 형태나 위치, 열적 성능도 중요하지만, 실제 주거형 건물에서 사용되는 에너지의 분포는 에너지가 어떤 용도나 패턴으로 사용되는 것에 따라서 크게 차이를 보일 수 있다. 예를 들어 사례 연구15,16,17)에 따르면, 실제 건물에서 사용되는 에너지의 사용량은 재실자의 행동 패턴에 지배적인 영향을 받는다고 언급하였다.
3.2 각 지역별 공동주택의 전기 에너지 소비량 분석 및 평가
각 지역에 위치한 공동주택의 5년 평균 EUI 값에 대한 분석 결과는 Fig. 9과 Table 1에 나타냈다. 최소 EUI 값은 37 ~ 40 kWh/m2 ·yr의 범위를 나타내고 있었으며, 최대 EUI는 49 ~ 53 kWh/m2 ·yr의 범위를 나타내고 있다. 각 지역의 평균 EUI는 43 ~ 46 kWh/m2 ·yr의 범위를 나타내는 것으로 분석되었다. 부산지역이 46 kWh/m2 ·yr의 EUI를 나타내어 가장 높은 전기 에너지 소비량을 나타내는 것으로 분석되었으며, 최대값과 최소값의 편차 또한 부산지역이 16 kWh/m2 ·yr로 분석되어 단지별 편차 또한 부산지역이 가장 큰 것으로 분석되었다. Fig. 9와 Table 1은 위와 같은 경향을 나타낸다.
분석 결과, 대전지역의 경우 평균 43 EUI를 나타냈는데 선행 연구인 한국전력연구원의 전기에너지주택 표준화 모델 개발 보고서18)에 따르면 대전 지역 6개 공동 주택의 주거전용면적당 전기에너지소비량을 분석한 결과 48 EUI를 나타내는 것으로 나타났다. 본 연구의 EUI를 기준으로 오차율을 분석했을 때 약 11.6%의 오차가 있는 것으로 분석되었다. 본 연구과 선행연구의 차이는 공용부의 전기 에너지 소비량 포함 여부로 나뉜다. 본 연구는 전유부(세대)의 전기와 공용부의 전기 에너지 소비량의 합을 주거전용면적으로 나누어 EUI를 산출한 반면, 선행 연구의 경우 전유부의 전기 에너지 소비량 값을 주거전용면적으로 나누어 EUI를 산출하였다. 이러한 차이로 인해 오차가 발생한 것으로 판단된다.
Table 1
The results analysis for electric-energy consumption for each apartment complexes
3.3 각 도시별 공동주택의 전기 에너지 소비량 분석 및 평가
월별 전기 에너지 소비량 패턴을 확인하기 위해 4개 도시 2020년 월 평균 EUI 값을 분석한 결과는 Fig. 10과 같다. 일부 여름철 기간을 제외하고 연중 비슷한 수준의 EUI를 나타냈으며, 8월과 9월에 약 1 ~ 2 EUI가 상승하는 것으로 나타났다. 이 기간의 상승요인은 하절기 냉방부하에 대한 에너지 소비로 판단된다. 5월과 10월의 경우 약 3.5 EUI로 가장 낮은 값을 나타냈는데, 이는 전기를 활용한 개인용 냉난방기기의 사용이 없는 시기로 실제 세대 내 가전기기 소비 및 공용부의 소비량만이 반영된 것으로 판단된다.
4. 결 론
공동주택 제로에너지 빌딩 의무화 인증에 앞서 공동주택 단지의 전기 에너지 소비량 현황 평가를 위해 국가 공공 데이터와 Open API를 활용하여 데이터 수집 및 분석을 수행하였으며, 주요 연구 결과 및 결론은 다음과 같다.
(1)데이터를 수집 단계에서 2019년도를 기준으로 부산, 서울, 대전, 광주지역 순서로 972개, 2214개, 416개, 670개의 공동주택을 데이터를 수집하였지만, 연속된 5년의 데이터 확보를 위해 데이터 이상치 제거한 결과 162개, 302개, 86개, 117개의 공동주택 데이터셋이 만들어졌다. 이는 각 연도별 데이터 이상치가 많이 존재한다는 것을 의미하며, 공공주택 데이터 수집 또는 분석 시 이상치 처리에 주의를 요구한다는 것이라 판단된다. 또한, 향후 공동주택의 제로에너지건축물 인증 의무화 이후에 실제 공동주택의 제로에너지화 달성 여부 평가를 위해서라도 운영 데이터의 수집에 정확도 및 안정성을 확보하기 위한 노력이 필요할 것으로 판단된다.
(2)각 도시별 공동주택의 EUI의 벤치마킹 값은 5년 평균의 중간값(Mean Values)으로 부산, 서울, 대전, 광주지역 순으로 46 EUI, 46 EUI, 43 EUI, 44 EUI로 제안한다.
(3)5년 월 평균 외기온도의 변화나 기후권역별이 EUI 미치는 영향을 분석한 결과 특별한 특징은 없는 것으로 분석되었으며, 이는 분석 대상 건축물의 용도가 주거용 건축물로 전기 에너지를 활용한 난방이 이루어지지 않으며, 냉방 또한 비주거용 건물에 비해 많지 않기 때문인 것으로 판단된다.
(4)본 연구에 활용된 전기 에너지 소비량 데이터는 세대부하와 공용부하를 구분하지 않고 합쳐진 값이라는 특징이 있다. 본 연구의 결과에 따른 대전지역의 경우 공용부하와 세대부하가 합쳐인 전기 에너지에 대한 EUI가 43 EUI로 나타났다. 세대부하만을 활용하여 동일 연구를 수행한 선행연구의 경우 48 EUI와 큰 차이를 보이지 않았지만, 더 정밀한 벤치마킹 자료 제시를 위한 방법으로는 K-apt에서 제공하는 전기 에너지 세대부하 사용금액과 전기 에너지 공용부하 사용금액을 전기세 가중치를 적용시킨 값으로 사용량을 환산하여 계산하는 방법과 세대와 공용부의 전기 에너지 소비량을 별도 상세 계측을 통해 세대부하와 공용부하 평균적인 비율을 찾는 방법을 제안한다.
본 연구를 바탕으로 향후 다른 지역 또는 동일 지역의 공동주택 단지의 전기 에너지 소비량 자료를 추가할 예정이며, 이 자료를 기반으로 Data-driven 모델과 같은 다양한 분석 방법론을 활용하여 향후 제로 에너지 의무화 시점의 에너지 사용량 예측 및 제로에너지 빌딩 인증 조건인 에너지 자립률 충족을 위한 최소 태양광발전시스템 설치 용량 예측을 수행할 예정이다.












