1. 연구의 배경 및 목적
2. 실내환경 및 창문개방행태 데이터 모니터링
2.1 모니터링 방법
2.2 실내외 환경 분석
2.3 창문개방행태 분석
3. 창문개방과 난방에너지 소비량 분석
3. 창문개방과 난방에너지 소비량 분석
4. 창문개방에 따른 열손실 분석
5. 결 론
기호설명
T : 건구온도(℃)
ACD : 1일 환기횟수(회/day)
Q : 자연환기량(m3/h)
C : 최종 실내 이산화탄소(ppm)
q : 열 손실량(kW)
Co : 실외 이산화탄소(412 ppm 고정)(ppm)
Cs : 창문개방시점의 실내 CO2 농도(ppm)
M : 거주자의 이산화탄소 실내발생량(ppm)
V : 체적(m3)
: 자연환기에 따른 실내온도변화
1. 연구의 배경 및 목적
세계 주요 선진국들과 대한민국은 넷제로(Net-Zero)를 선언하고 저탄소 경제 선도전략으로서 그린뉴딜을 제시하여 제로에너지빌딩(ZEB)를 실현하기위한 노력을 강화하고 있다. MOLIT (2017)1)에서는 건축물의 에너지절약설계기준 강화를 통해 제로에너지 빌딩을 실현하기 위해 건물의 창호 및 외피를 단열 및 기밀화하는 노력은 이어지고 있지만, 사람들의 실내환경 만족도를 위한 노력은 이뤄지고 있지않다. 이로 인해 환경부2)에서 실내공기질 권고 기준을 계속해서 강화하고 ASHRAE (2013)3)에서는 인체 오염발생 및 거동에 따른 필요환기량을 25 CMH 이상으로 규정 하고 있다. 공동주택 거주자들은 실제 실내공기질을 위한 환기행위를 대부분 창문개방을 통해 대부분 수행하고 있다. 그러나 선행연구(Park and Kim, 2012)4)에 따르면 공동주택 거주자들의 대부분은 기계환기설비를 이용하지 않고 창문개방을 통해 자연환기를 하고 있으며, 심지어 기계환기의 설비의 유무 및 작동법을 모르는 경우가 많았다. 이는 공동주택의 거주자들이 실내공기질의 쾌적을 위하여 대부분 창문개방으로 조절한다는 것을 의미하며, 실외환경에 따른 창문개방행위와 자연환기량이 실제 필요환기량에 충족하는지와 이에 따른 에너지 소비량이 중요하다고 판단된다. 선행연구(Yoo and Cho, 2020)5)을 통해 우리나라의 연간 자연환기량과 외기온도에 따른 자연환기량을 분석하였다. 그러나 이러한 창문개방을 통한 자연환기는 극서 및 극한조건에서 열손실 및 열취득을 통해 실내환경을 쾌적조건에 벗어나게 하고 에너지소비량을 증대시킨다. 따라서 본 연구에서는 실내공기질의 쾌적도를 높이고 에너지소비량에 영향을 줄 수 있는 행위인 창문개방행위를 분석하고, 이를 통한 자연환기량을 이산화탄소 감쇠법으로 분석하였다. 분석된 자연환기량을 바탕으로 열손실을 분석하고 에너지소비량과 비교하여 난방기의 자연환기량이 에너지소비량에 어느정도 차지하는지를 분석하였다.
2. 실내환경 및 창문개방행태 데이터 모니터링
2.1 모니터링 방법
측정기간 및 대상에 관한 정보를 아래 Table 1에 표시하였다. 총 세 개의 단지 30개의 공동주택에서 측정하였다. A단지는 2017년 12월 ~ 2018년 4월에 측정하였고, B, C, D 단지는 2014년 12월 ~ 2015년 9월까지 측정된 Jeong (2016)6)의 데이터를 이용하였다. 각 샘플들은 실내환경조절행동이 충분히 가능한 주부가 속한 4인가족으로 선택하였으며, 각 실험장비의 측정 사진을 Fig. 1에 나타냈다. Table 2는 실험에서의 각 측정항목을 나타낸다. 실외환경은 실외온도와 습도를 TR-72UI를 통해 10분 간격으로 측정하였으며, 실내 환경은 실내 온·습도와 이산화탄소를 MCH-383SD 통해 10분 간격으로 측정하였다. 재실자의 창문개방행위는 UX-90-001를 통해 10분간격으로 측정하였고, 재실자의 재실상태는 설문조사를 통해 조사하였다.
Table 1
Characteristics of the samples
Table 2
Measurement parameter and the specification of devices
2.2 실내외 환경 분석
거주자들의 환경조절 행동은 실외의 환경에 따른 실내의 환경변화로 이어진다. 이에 따라 측정된 시기가 우리나라의 기후적 특성을 대표할 수 있는지를 분석하기위해, Fig. 2에 나타냈다. Fig. 2는 10년치(2011 ~ 2020)일평균 외기온의 데이터(검은색 동그라미)와 측정시기의 일평균 외기온 데이터(빨간색 동그라미)의 그래프를 나타낸다. 왼쪽 그래프는 B, C, D 단지이며, 오른쪽 그래프는 A단지를 나타낸다. 그 결과, 측정시기가 10년치 외기온 데이터의 범주안에 대부분 들어오는 것으로 판단되었고, 이는 측정시기가 우리나라의 기후적 특성을 어느정도 대표할 수 있다고 판단된다.
Fig. 3은 설문조사를 통해 분석된 재실률과 통계청(KOSTAT)생활시간조사 결과(2019)7)의 비교를 나타낸다. 그래프 상 통계청의 결과와는 차이가 있지만, 패턴 자체는 유사하게 나온 것으로 분석되었다. 이는 측정샘플의 대상이 집에 재실시간이 긴 주부 대상이였기 때문이라고 판단되며, 이는 거주자들이 실외환경에 따른 실내환경조절을 할 시간이 충분히 주어졌음을 의미한다.
2.3 창문개방행태 분석
측정기간의 실내환경조절행동 중 하나인 창문개방행태를 일평균온도에 따라 분석하였으며, 이를 Fig. 4와 Fig. 5에 나타냈다. Fig. 4는 일평균 외기온에 따른 1일 평균 창문개방시간과 1일 평균 창문개방빈도를 나타낸다. 이를 통해 거주자들은 외기온에 따른 창문개방시간을 조절한다는 것을 알 수 있으며, 냉방기에 창문개방빈도는 적었으나, 창문개방시간은 긴 것으로 보아 거주자들은 냉방기에 1번 개방시 대부분 개방해놓은 상태로 오래 유지하는 것으로 판단된다.
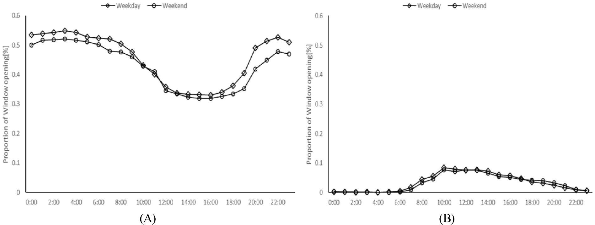
Fig. 5는 시간대별 냉방기와 난방기의 모든 세대의 시간대별 창문개방비율을 나타낸다. 창문개방비율은 시간대별 거주자가 몇퍼센트정도로 연다는 것을 의미한다. 난방기와 비교하였을 때, 냉방기의 창문개방비율은 현저하게 높은 것을 알 수 있었고, 난방기의 창문개방 비율은 오전 기상시간대 이후로 창문개방비율이 늘었으며, 추워지는 저녁시간대 이후로 창문개방비율을 줄여나가는 것을 알 수 있었다. 위 결과들을 통해서 거주자들은 실외온도에 따라서 창문개방행위를 조절하는 것으로 나타났으며, 난방기의 쾌적한 실내공기질을 위해 기계환기 및 자연환기의 가이드라인의 필요성을 보여준다.
2.4 창문개방을 통한 연간 자연환기량
창문개방행위만으로는 정확히 얼마나 공기가 유입되는지 알지 못하며, 이는 정확한 열손실량을 계산할 수 없다는 것을 의미한다. 따라서 본 연구에서는 선행연구와 마찬가지로 질량보존방정식을 통한 이산화탄소 감쇠법을 이용하여 자연환기량을 도출하였으며, 이와 같은 식을 (1)과 (2)에 나타냈다. 실외 이산화탄소 Co는 측정기간의 연중농도 평균인 412 ppm을 일괄 적용하였다.
위 매커니즘을 통해 도출된 자연환기량을 Fig. 6에 나타냈다. Fig. 6은 연간 월별 1일 자연환기횟수를 보여주며, 냉방기(6 ~ 8월)와 난방기(12 ~ 2월)의 1일 자연환기횟수는 큰 차이를 보인다. 난방기에서의 1일 자연환기횟수는 세대별 편차가 크지 않았지만, 냉방기에서의 1일 자연환기횟수는 세대별 편차가 큰 것으로 나타났다. 이는 냉방기에서의 거주자별 온열감 차이에 따른 결과로 판단된다.
3. 창문개방과 난방에너지 소비량 분석
전체 측정기간의 창문개방행태와 자연환기량에 따른 난방에너지 소비량의 상관관계 분석을 Fig. 7와 Fig. 8에 나타냈다. Fig. 7의 왼쪽 그림은 창문개방빈도에 따른 난방에너지소비량의 상관관계 분석을 나타내는 그림이다. Group은 2개그룹으로 분류했으며, Group A는 난방기에서의 1일 창문개방 빈도가 0.5회 이상인 세대들의 그룹을 의미하고, Group B는 1일 창문개방빈도가 0.5회 미만인 그룹을 의미한다. Fig. 4의 오른쪽 그림은 창문개방시간에 따른 난방에너지소비량의 상관관계 분석을 나타내는 그림이다. Group A는 난방기에서의 1일 평균 창문개방시간이 0.5시간 이상인 경우를 의미하고 Group B는 창문개방 1일 평균 창문창문개방 시간이 0.5시간 이하인 경우를 의미한다. Fig. 7을 통해 창문개방행위와 난방에너지의 상관관계를 찾기는 어려웠다.
앞서 서술했듯이, 창문개방행위만으로는 정확한 열손실을 판단하기 어려우며, 정확한 공기의 유입량이 도출되어야 실제 세대의 열손실량을 파악할 수 있다. Fig. 8은 그룹별 1일 자연환기횟수에 따른 난방에너지소비량 상관관계를 나타내는 그림이다. 이때의 그룹은 총 3개의 그룹으로 분류했으며, Group A는 1일 자연환기횟수가 1 이상인 그룹, Group B는 0.5 이상 1미만인 그룹, Group C는 0.5 미만인 그룹을 나타낸다. 이 그림을 통해서도 자연환기에 따른 난방에너지소비량의 상관관계를 찾기 어려웠고, 이는 난방기에서의 환기행동이 매우 미비하기 때문이라고 판단된다.
4. 창문개방에 따른 열손실 분석
3장에서 창문개방에 따른 난방에너지 소비량의 상관관계가 나타나지 않는 원인에 대해 분석하고자, 창문개방에 따른 열손실 분석을 하였으며, 이에 대한 식을 식(3)에 나타냈다. 도출된 자연환기횟수를 n에 대입하고 자연환기 하고나서의 각 실내외 온도차를 이용하여 열 손실량을 도출하였다.
자연환기를 통한 열손실량이 난방에너지소비량과 비교하여 어느정도 부분을 차지하는지 분석한 그림을 Fig. 9에 나타냈다. 보라색 영역은 열 손실량의 최소-최대의 영역을 표현하고 세모 부분은 난방기의 평균 열손실량을 나타낸다. 또한 동그라미 부분은 난방에너지 소비량의 평균을 의미한다. 분석결과 난방에너지 소비량은 최소 18 kWh, 최대 60 kWh가 나타나는 반면 열 손실량은 최소 0 kWh 최대 1.5 kWh를 나타냈다. 이는 앞서 서술했듯이 난방기의 거주자의 환기행동이 매우 미비하기에 때문임을 나타내며, 난방기에서의 자연환기를 통한 에너지 절감방안은 크게 의미가 없음을 의미한다. 하지만 ASHRAE 제시한 필요환기량을 만족하는 동시에 에너지소비를 절감하기 위해 기계환기(열회수형)의 운전방안에 대한 가이드라인의 필요성을 나타낸다.
Fig. 10은 일평균 외기온도에 따른 1일 자연환기횟수와 ASHRAE,국토교통부의 환기기준 비교를 나타낸다. 난방기의 이를 통해 자연환기횟수는 18℃이후로 급격하게 증가하는 것을 알 수 있었고, 세대별 환기횟수의 편차는 커지는 것으로 분석되었다. 냉방기에서는 어느정도 편차가 있었지만, 난방기(18℃ 이하)지점의 1일 자연환기량은 현저히 부족한 것으로 나타났다. 이를 통해 난방기(18℃ 이하)에서는 점선만큼의 필요환기량을 기계환기로 대체해야함으로 나타났고, 냉방기에는 온도가 낮은 야간에는 자연환기로 온도가 높은 주간에는 바이패스 기계환기장치를 통한 환기의 필요성을 나타냈다.
Fig. 11은 냉방기에서의 A1세대의 1일(7/11일) 자연환기에 따른 열손실 및 획득 분포를 나타낸다. A1 세대의 거주자는 새벽 3시 30분쯤 창문개방 뒤 14시 30분에 창문을 닫았다. 이를 통해 13시 까지는 열손실을 통해 실내의 cooling load를 줄였지만, 늦은 환경조절행동을 통해 13시 이후에 열획득을 통해 실내의 cooling load를 높이는 것으로 나타났다. 이러한 실내외 온도차를 통해 열손실 및 열획득을 예측하여 하이브리드 환기를 이용한다면, 실내의 쾌적도 및 에너지소비량을 절감시킬 것이라 판단된다.
5. 결 론
본 연구에서는 공동주택 30단지 대상으로 창문개방행태에 따른 자연환기량과 분석하였고 아래와 같은 결론을 도출하였다.
(1) 측정기간의 실외온도는 우리나라 기온의 대표성을 나타냄을 알 수 있었고, 재실률은 실내환경조절행동을 자유롭게 행할 수 있는 주부대상의 샘플이기에 통계청 자료와 비교하였을 때 재실률은 더 높게 나타났지만 추세는 어느정도 비슷하게 나타남을 알 수 있었다.
(2) 거주자의 창문개방행태는 실외온도와 상관관계 있음을 나타냈고, 난방기의 창문개방행태는 ASHRAE 및 국토교통부에서 제시한 필요환기량에 현저히 미치지 못하는 것으로 나타났다. 이는 겨울철 열회수형 환기장치 등 기계환기의 운영 가이드라인을 제시해야하는 것으로 판단된다.
(3) 난방기의 창문개방행태와 난방에너지소비량의 상관관계를 찾기는 어려웠으며, 이는 난방기의 환기행동이 매우 미비하기 때문이라고 판단된다.
(4) 난방기에 환기에 따른 열손실과 난방에너지소비량을 분석했을 때, 환기에 따른 열손실은 매우 미비하였다. 이는 거주자들은 실내공기질 만족도보다는 온열감에 더 크게 반응 하는 것으로 판단된다.
(5) 추후에 자연환기를 통한 열손실 및 열획득을 예측하여 기계환기 및 자연환기가 조화되어 있는 하이브리드 환기방식을 이용한다면, 거주자의 실내쾌적도 및 쾌적한 온열환경을 제공함과 동시에 에너지소비량도 절감시킬 수 있을 것이라 판단된다.













