1. 서 론
2. 실 험
3. 결과 및 토의
3.1 PF-MTRC의 광 성능
3.2 PF-MTRC의 제작 오차
3.3 Cooling performance of PF-MTRC
4. 결 론
기호 및 약어 설명
TRC : Transparent Radiative Cooler
PDMS : Polydimethylsiloxane
PF-MTRC : Polymer-free multilayer visibly transparent radiative cooler
PSO : Particle swarm optimization
FOM : Figure of merit
1. 서 론
지구 온난화가 가속화됨에 따라 전 세계 에너지 소비는 지속적으로 증가하고 있으며, 특히 냉방 및 냉각 장치의 사용 확대는 온실가스 배출을 심화시켜 기후 변화 악화를 가속하는 악순환을 초래하고 있다1). 실제로 지구 온도가 예상치를 초과할 경우 2050년까지 전 세계 에너지 수요는 최대 27% 증가할 것으로 전망되며, 온실가스 억제에 실패할 경우 그 폭은 58%에 이를 것으로 예측된다2). 이러한 문제를 해결하기 위한 대안으로 복사 냉각 기술이 주목받고 있다3). 복사 냉각 기술은 태양광을 반사함과 동시에 외부 에너지원의 투입 없이 물체가 대기 창(8 ~ 13 μm) 영역을 통해 복사 에너지를 우주로 방출함으로써 주변보다 낮은 온도로 냉각되는 수동 냉각 기술로, 에너지 절감과 탄소 배출 저감 측면에서 큰 잠재력을 가진다.
최근에는 복사 냉각기의 활용성을 확장하여, 가시광 영역에서 투명성과 복사 냉각을 동시에 제공하는 투명 복사 냉각기(Transparent Radiative Cooler, TRC)가 등장하였다4,5). TRC는 기존 불투명 복사 냉각기와 달리 가시광 영역에서 빛을 투과시키면서 냉각 성능을 유지하기에 창문6,7), 태양광 패널8,9), 디스플레이10) 등 다양한 응용 분야에서 활용 가능성이 제시되고 있다. 이상적인 TRC는 태양 복사 스펙트럼(0.25 ~ 2.5 μm) 중 가시광선(0.38 ~ 0.7 μm) 영역에서는 높은 투과율을 확보하고, 근적외선(0.7 ~ 2.5 μm) 영역에서는 높은 반사율을 보여야 한다11). 동시에, 중적외선 영역(8 ~ 13 μm)에서는 강한 방출 특성을 가져야 효과적인 냉각 성능을 구현할 수 있다. 이는 곧 시각적 투명성, 태양열 차단, 열 방출 성능을 동시에 만족해야 한다는 것을 의미하며, 서로 상충되는 요구 조건을 균형 있게 조절하는 것이 TRC 설계의 핵심 과제이다.
TRC 연구의 한 분야로는 다층(multilayer) 구조가 있다12). 일반적으로 multilayer TRC는 태양광 반사층(solar reflection layer)과 방출층(emitter layer)을 분리하여 설계되며, 태양광 영역에서 선택적 반사 특성을 구현하기 위해 역설계(inverse design)13,14), 위상 최적화15) 등 다양한 최적화 기법이 활용된다. 이러한 구조는 추가적인 중적외선 방출 특성을 확보하기 위해 polydimethylsiloxane (PDMS)와 같이 주로 저비용·대면적 제작이 가능한 고분자 재료를 방출층으로 도입하여 중적외선 영역에서의 방사율을 향상시켜왔다16,17). 그러나 고분자는 장기간 야외 환경에 노출될 경우 열적·광학적 열화, 습기 흡수, 자외선에 의한 변성 등의 문제에 취약하다18,19). 따라서 실외 안정성과 냉각 효율을 동시에 갖춘 고분자 대체 방출층의 개발이 요구되고 있다.
본 연구에서는 고분자 물질을 사용하지 않는 다층 구조 기반 투명 복사 냉각기(Polymer-free multilayer visibly transparent radiative cooler, PF-MTRC)를 제안한다. 제안된 구조는 방출증과 선택적 반사층을 동시에 구현할 수 있으며, 수치 시뮬레이션을 통해 광학적 응답과 냉각 효과를 검증하였다. 설계 과정에서 입자 군집 최적화(Particle swarm optimization, PSO)를 이용한 역설계 방법을 적용하였으며, 그 결과 PF-MTRC는 가시광(Visible) 투과율 58.7%, 근적외선(Near-IR) 반사율 74.7%, 중적외선(Mid-IR)에서 84%의 흡수율을 단일 다층 구조를 통해 달성하였다. 냉각 성능은 수치 계산을 통해 평가하였으며, 주로 사용되는 고분자 소재 PDMS 기반 투명 복사 냉각기와 비교했을 때, 상온 조건에서 335.4 W/m2 향상된 냉각 효과를 보여준다. 또한 고분자 대신 무기물 기반 다층 구조를 채택함으로써 환경적 내구성이 향상될 것으로 기대되며, 이는 장기적인 실외 응용에 유리한 특성을 제공할 수 있는 장점이 있다.
2. 실 험
PF-MTRC는 Fig. 1과 같이 총 6개의 박막으로 이루어져 있으며, 사용된 모든 재료는 가시광 영역에서 높은 투과성을 보여 투명성이 요구되는 다양한 응용 분야에 활용될 수 있다. 본 연구에서는 PF-MTRC 구조의 설계를 위해 PSO를 이용한 역설계법을 적용하였다20). 광학적 응답 계산은 전달 행렬법(Transfer matrix method)을 통해 수행하였으며, 이를 기반으로 구조체의 최적화를 진행하였다. 사용된 물질은 가시광 영역에서 높은 투명성을 유지하면서도, 중적외선 영역에서 흡수 또는 반사 특성이 우수한 재료들로 선택하였다. 구체적으로, TiO2, SiO2, Si3N4, Al2O3는 넓은 밴드갭으로 인해 가시광 투과성이 높고, MIR 영역에서 유전 분산에 따른 부분적 흡수를 나타낸다. 여기에 가시광 영역에서는 유전적 성질을 가지지만 MIR 영역에서는 금속성과 유사한 특징을 나타내는 ITO를 추가하여 적외선 영역에서 반사와 흡수를 동시에 유도할 수 있는 후보군을 구성하였다. 각 물질의 굴절률 및 소광계수 데이터는 실제와는 다를수 있으나 문헌에 보고된 값을 기반으로 하였으며, 이를 바탕으로 광학 계산을 수행하였다21,22).
PSO의 파라미터 설정은 다음과 같다. 반복 횟수 300회, 개체 수 20개로 하였으며, 관성 가중치는 0.9에서 시작하여 0.4까지 선형적으로 감소하도록 설정하였다. 탐색 범위는 층 수는 2층부터 10층까지, 각 층의 두께는 10 ~ 1500 nm 범위로 한정하였다.
목표 성능을 반영하기 위해 다음과 같은 목적함수(Figure of merit, FOM)를 정의하였다. 식(1)에서 Tvis는 가시광 평균 투과율, RNIR은 근적외선 평균 반사율, AMIR은 대기창 영역에서의 평균 흡수율을 의미한다. 이러한 설정을 통해 최적화 과정에서는 Tvis > 55%, RNIR > 70%, AMIR > 80%을 동시에 만족하는 구조체를 탐색하였다.
Fig. 2에 나타낸 플로우차트는 이러한 역설계 절차를 요약한 것으로, 초기 파라미터를 랜덤으로 설정한 뒤 광학 계산을 통해 FOM를 평가하고, PSO 알고리즘을 이용해 각 입자의 파라미터(재료 조합 및 두께)를 반복적으로 갱신하는 과정을 나타낸다. 조건이 충족되지 않을 경우 새로운 파라미터 집합을 생성하여 탐색을 이어가며, 최종적으로 모든 조건을 만족하는 구조가 도출되면 최종 구조체를 얻게 된다. 최종 구조체의 광학적 특성 파악 및 냉각 효과를 계산하여 해당 구조체의 투명 복사 냉각기로써 성능을 평가하였다.
3. 결과 및 토의
3.1 PF-MTRC의 광 성능
PF-MTRC는 위에서부터 차례대로 Si3N4 (98 nm), SiO2 (167 nm), Si3N4 (946 nm), ITO (313 nm), Si3N4 (175 nm), ITO (1170 nm)가 석영(Quartz) 기판 위에 적층된 6층 구조로 이루어진다. 이러한 구조는 PSO 기반 역설계 기법을 통해 최적화된 결과이며, 목적함수에 따라 가시광에서 근적외선으로 넘어가는 700 nm 부근에서 투과–반사 특성이 전이(transition)되도록 설계되었다.
Fig. 3(a)에서 확인할 수 있듯이, PF-MTRC는 가시광 영역에서는 높은 투과율을 유지하다가 약 700 nm 부근에서 전이가 일어나며, 이후 근적외선 영역에서는 높은 반사율을 보인다. 비교를 위해, 동일한 Quartz 기판 위에 50 μm 두께의 PDMS를 적층한 구조체와 성능을 대조하였을 때, PDMS 기반 구조는 태양광 영역에서 높은 투과율만을 나타내는 반면 PF-MTRC는 가시광 영역에서 높은 투과율을 유지하면서도 700 nm 부근에서 전이가 발생하여 근적외선 영역에서 강한 반사율을 나타내는 것을 확인할 수 있다. 또한, Fig. 3(b)에서 보이듯이 중적외선 영역의 흡수율은 방출층으로 널리 활용되는 PDMS와 유사한 수준을 확보하였으며, 이는 PF-MTRC가 폴리머 없이도 복사 냉각에 필요한 방출 특성을 구현할 수 있음을 보여준다. 한편, 반사율 스펙트럼을 기반으로 산출한 색좌표는 Fig. 3(c)에서 보는 바와 같이 CIE 1931 xyY 색공간에서(0.301, 0.321)의 값을 나타냈다. 이는 색도 다이어그램의 중심에 인접한 좌표로, PF-MTRC가 가시광 영역에서 미세하게 청색 기미를 띄는 거의 무색에 가까운 투명성을 제공함을 입증한다. TRC가 실제 건축 창호나 야외 환경에서 응용되기 위해서는 다양한 입사각 조건에서 성능을 유지하는 각도 독립성(angle independence)가 중요한 요소이다. Fig. 3(d)에서 PF-MTRC의 입사각에 따른 근적외선 반사율을 확인하면, 입사각이 50°까지 증가하더라도 여전히 50% 이상의 높은 반사율을 유지하여 태양 복사 차단에 효과적임을 알 수 있다. 더 나아가 Fig. 3(e)의 중적외선 대역 흡수율 결과에 따르면, 입사각이 70°까지 변화해도 흡수율의 저하가 거의 없었으며, 심지어 80°에서도 65% 이상의 높은 방출 효율을 유지하였다. 이러한 결과는 PF-MTRC가 넓은 입사각 범위에서도 안정적인 광학 특성을 제공하여, 실외 응용 환경에서 장기적이고 효율적인 TRC로 활용될 수 있음을 시사한다.

Fig. 3
Optical properties of PF-MTRC. (a) Transmission and reflection spectra showing a transition near 700 nm compared with PDMS-coated quartz. (b) MIR absorptance demonstrating comparable emission to PDMS. (c) Color coordinate in the CIE 1931 xyY color space indicating near-colorless transparency. (d) NIR reflectance as a function of incidence angle. (e) MIR absorptance under varying incidence angles, showing stable performance up to 80°
3.2 PF-MTRC의 제작 오차
제안된 구조는 가시광 영역에서 높은 투과율, NIR 영역에서의 강한 반사율, 그리고 MIR 영역에서의 높은 방출 특성을 동시에 구현하였다. 그러나 실제 응용을 위해서는 설계된 구조가 제작 공정의 오차에도 성능을 안정적으로 유지할 수 있어야 한다. PF-MTRC는 스퍼터링(sputtering) 공정을 통해 제작이 가능하므로, 본 연구에서는 공정 허용오차 분석을 수행하여 두께 변동에 따른 성능 안정성을 평가하였다. Fig. 4는 전체 적층 두께를 −20%에서 +20%까지 변화시켰을 때의 분광 응답을 컬러맵으로 나타낸 것이다. Fig. 4(a)에서 확인할 수 있듯이, 가시광 영역의 투과율은 두께가 최대 20% 감소한 경우에도 여전히 50% 이상의 값을 유지하였으며, 두께가 약 17% 증가하는 조건까지도 안정적인 투과 특성을 보였다. Fig. 4(b)에서는 근적외선 영역에서는 −18%에서 +20%까지 반사율이 유지됨을 확인할 수 있으며, Fig. 4(c)에서는 중적외선 영역의 흡수율 역시 −14%에서 +20% 범위에서 80% 이상의 값을 확보됨을 알 수 있다. 심지어 두께가 20% 감소한 조건에서도 76.8%의 흡수율을 달성됨을 확인할 수 있다. 이러한 결과는 PF-MTRC가 상당한 공정 오차 범위 내에서도 냉각 성능을 안정적으로 유지할 수 있음을 보여주며, 이는 실제 응용에서 요구되는 제작 안정성과 내구성을 뒷받침한다.
3.3 Cooling performance of PF-MTRC
TRC로서 냉각 성능은 냉각 파워(Cooling power, )로 정의되며, 이는 다음과 같이 표현된다. 식(2)에서 는 복사체가 방출하는 열복사 파워, 은 태양광에 의해 흡수되는 복사 파워, 은 대기로부터 유입되는 열복사 플럭스, Pcc는 전도 및 대류에 의한 열교환을 각각 나타낸다.
식(2)에 나타낸 각 항목은 다음과 같이 계산된다.
여기서 는 입사각, 는 파장을 나타내며, 와 는 각각 복사 냉각기의 방출율과 대기의 방출율을 의미한다. 는 흑체의 분광 복사 세기, 은 태양 복사 스펙트럼의 세기를 나타내고, 와 는 각각 물체 온도와 주변 온도, 는 전도 및 대류에 의한 열전달 계수를 의미한다.
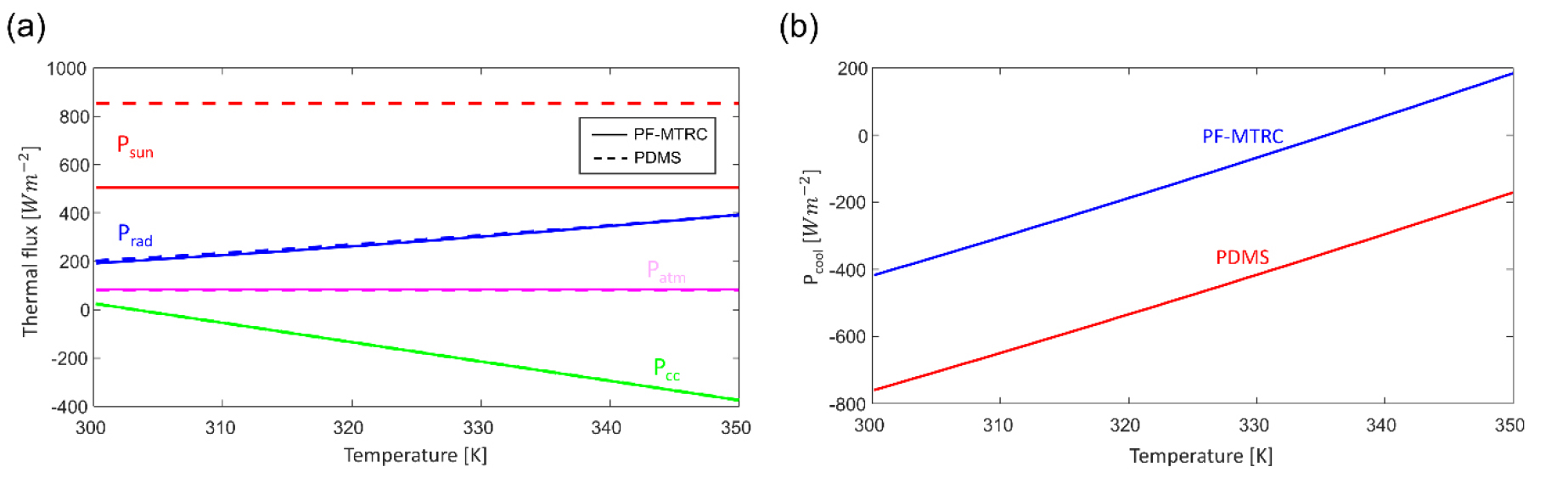
따라서 을 극대화하기 위해서는 대기창 영역에서의 방출 특성을 강화하여 를 높이고, 가시광 영역을 제외한 태양 스펙트럼 전 구간에서 반사율을 높여 을 줄이며, 전도, 대류, 손실인 을 최소화하는 것이 핵심이다. Fig. 5에서는 PF-MTRC와 50 μm 두께의 PDMS 샘플에 대한 열 플럭스(Thermal flux)와 냉각 성능을 비교하여 나타냈다. 성능비교를 위해 를 303 K, 를 8 W/(m2·K)로 고정하여 무풍 자연대류 조건에서 수행하였다. Fig. 5(a)에서 보는 바와 같이 PDMS는 태양 스펙트럼 전 영역에서 높은 투과율을 보이기에, 이에 따른 Psun 값은 PF-MTRC보다 339.04 W/m2 더 크게 나타났다. 반면, , 는 두 구조 모두 동일한 조건에서 계산되었기에 같은 값을 가지며, 는 상온에서 PF-MTRC와 PDMS가 각각 207.43 W/m2과 211.06 W/m2으로 두 구조가 거의 동일한 수준을 보였다.
Fig. 5(b)에서는 PF-MTRC와 PDMS 샘플에 대한 냉각 성능을 비교하여 나타냈다. Fig. 5(b)에서 보는 바와 같이, 냉각 성능 비교 결과, PF-MTRC는 PDMS 기반 구조에 비해 상온 조건에서 335.4 W/m2 향상된 냉각 성능을 나타냈으며, 이는 태양광 반사 성능 개선으로 인한 감소에서 비롯된 것이다. 또한, 방출 성능을 나타내는 는 두 구조가 거의 동일한 수준을 유지하였으므로, PF-MTRC는 방출 효율 손실 없이 태양열 차단을 극대화하여 냉각 성능을 향상시킨 구조체임을 확인할 수 있다.
4. 결 론
본 연구는 기존 복사 냉각 기술의 한계를 개선하고자 고분자 없는 다층 투명 복사 냉각기(PF-MTRC)를 성공적으로 제안하고 수치적으로 검증하였다. 우리는 입자 군집 최적화 기반의 역설계 기법을 적용하여 가시광 투과율, 근적외선 반사율, 중적외선 흡수율을 동시에 만족하는 최적화된 6층 구조를 도출하였다. PF-MTRC는 고분자 기반의 기존 구조와 비교하여 중적외선 방출 특성을 유지하면서 태양광 흡수(Psun)를 효과적으로 억제하여, 향상된 태양 선택성과 복사 냉각 효율을 구현하였다. 또한, 이 구조는 입사각이 70°까지 변화해도 흡수율의 저하가 거의 없었으며, 두께 변동에 대한 공정 허용오차 분석 결과에서도 우수한 안정성을 유지함을 입증하였다. 이러한 결과는 PF-MTRC가 기존 고분자 물질의 외부 환경에 대한 내구성 문제를 해결하고, 스마트 윈도우, 에너지 절약형 장치 등 다양한 분야에서 실용적인 투명 복사 냉각 솔루션으로 활용될 수 있음을 시사한다.






