1. 연구의 배경 및 목적
2. 실내환경 및 창문개방행태 데이터 모니터링
2.1 모니터링 방법
2.2 실내외 환경분석
2.3 트레이서 가스법을 이용한 자연환기량 추정방법
3. 창문개방을 통한 연간 자연환기량 분포
4. 환경조건(건물의 향과 층수)에 따른 자연환기량 분포
5. 결 론
1. 연구의 배경 및 목적
서울시는 온실가스 배출의 68.2%로 절대적인 비중을 차지하는 건물을 에너지 효율이 높은 그린 건물로 개선하는 ‘그린뉴딜’을 통하여 탄소배출 제로 도시를 실현하고자 한다. 이를 위하여 건물의 외피를 고기밀화 및 고단열화하는 패시브적인 방법을 적용할 수 있지만, 이는 환기성능에 있어서 거주자들의 만성적 호흡기 질환, 천식 등의 건강문제를 발생시킬 우려가 있다. 또한 최근 세계보건기구(WHO)의 발표에 따르면 코로나 바이러스(COVID-19)에서 실내외 공기가 순환되지 않을 경우 다른 사람이 감염될 위험성은 40%까지 치솟았지만, 1시간에 약 체적에 비레한 30% 공기만 순환시켜도 감염위험은 1/20수준으로 떨어지는 것으로 나타났다. 이에 따라 내부의 실내오염물질을 실외로 배출하고 실외의 신선한 공기를 유입하는 환기의 중요성이 대두되고 있다. 국토교통부령 건축물의 설비기준 등에 관한 규칙 제 11조에 따르면, 공동주택의 경우 시간당 0.5회 이상의 환기가 이루어질 수 있도록 자연환기 설비 및 기계환기 설비를 설치하도록 규정하고 있다. 또한 ASHRAE (2016)1)에서는 인체 오염발생에 따른 필요환기량을 1인당 25CMH로 규정하고 있다. 하지만 이러한 창문개방행위는 Raja (2001)2)에 따르면 차가운 외기 및 뜨거운 외기의 도입으로 인하여 실내온도에 영향을 주며, 이 실내온도는 냉·난방에너지 소비량에 영향을 미친다고 분석하였다. 또한 앞서 선행연구들(Jeong et al., 2016; Park et al., 2016; Yun et al., 2008; Rijal et al., 2008)3,4,5,6)은 이러한 환경조건에 따른 창문개방행위에만 집중하여 환경인자에 따른 창문개방행위 알고리즘을 개발하였다. 그러나 정확한 자연환기에 따른 냉난방 에너지소비량을 예측하고 관리하기 위해서는 실내에 외부의 차가운 공기와 뜨거운 공기가 실내에 얼마나 유입되는 공기의 양이 가장 중요한 요인이며, 공동주택 거주자들의 열 쾌적성 및 실내공기질 측면에서도 실내에 있는 오염물질을 외부의 신선한 공기와 얼마나 교체되는지가 중요한 요소라고 판단된다. 따라서 본 연구에서는 자연환기량을 트레이서 가스법을 통해 연간 및 환경조건에 따라 분석하였다.
2. 실내환경 및 창문개방행태 데이터 모니터링
2.1 모니터링 방법
측정기간과 대상은 2014년 12월 ~ 2015년 9월까지 측정된 3개의 단지(A,B,C) 총 세대 23세대와 2017년 12월 ~ 2018년 3월까지 측정된 1개의 단지(D) 7세대가 진행되었다. 실내 및 실외의 온 · 습도와 이산화탄소는 CO2 데이터로거(TR-76UI)를 통해 10분 간격으로, 창문개방상태는 데이터로거(UX90-001)을 통해 10분 간격으로 측정하였으며, 맞통풍이 실시되는 상태를 창문개방이 되는 것으로 가정하였다. 풍속과 풍향은 해당 지역의 가장 가까운 측정장소를 정하여 10분 간격으로 데이터를 수집하였다. Fig. 1은 세대의 Floor plan과 장비의 측정 상태를 나타낸다. 앞에서 서술하였듯이, 창문개방센서는 맞통풍이 실시되었을 때를 개방으로 간주하였으며, 실내의 온 습도 및 CO2는 외부의 영향을 직접적으로 받지않기 위해 거실 중앙 1.2 m위에서 측정을 진행하였다. 해당 측정 기기의 종류와 측정시간은 Table 1에 정리해두었다.
Table 1.
Measurement parameter and the specification of devices
2.2 실내외 환경분석
해당 측정기간이 한국의 전체 기간의 대표성을 나타내는지 분석하기 위해 Fig. 2와 Fig. 3에 나타냈다. Fig. 2는 해당지역(서울-수원)의 10년치 일평균 외기온 분포와 측정시기의 일평균 외기온 분포를 비교한 그림이다. 분홍색의 범위는 10년치의 각 일별 외기온의 최소값과 최대값을 나타내며, 빨간색(서울)과 노란색 선(수원)은 측정한 시기의 단지별 일평균 외기온 분포를 나타낸다. 측정한 시기의 단지별 일평균 외기온 분포가 10년치 일평균 최소 및 최대값 외기온 분포 내에 대부분 속해있는 것을 보면 측정기간의 일평균 외기온은 한국의 외기온을 대표할 수 있다고 판단된다. Fig. 3는 해당 지역의 10년치 풍향분포의 퍼센트와 측정시기의 풍향분포를 비교한 그림이다. 풍향은 계절별로 상이하므로, 대표적으로 겨울철만 뽑아왔다. 빨간색 점선은 해당 측정기간의 풍향분포를 나타내며, 검은색 선은 10년치 데이터의 평균을 나타낸다. 분석한 결과, 풍향분포 추이 역시 10년치 평균데이터와 측정시기의 데이터가 거의 일치하므로 해당 측정기간의 풍향 분포는 한국의 기후를 대표할 수 있다고 판단된다.
2.3 트레이서 가스법을 이용한 자연환기량 추정방법
앞서 서론에서 서술한 것과 같이 창문개방행위만으로는 정확히 얼마나 공기가 유입되는지 파악하지 못하며, 이는 정확한 실내 부하를 계산할 수 없다는 것을 의미한다. 따라서 본 연구에서는 자연환기량을 질량보존방정식에 의거한 이산화탄소 감쇠법을 이용하여 도출하였으며, 이와 같은 매커니즘을 식(1)과 (2)에 나타냈다. 실외 이산화탄소 Co는 측정기간의 연중농도 평균인 412 ppm을 일괄 적용하였고, Cs는 창문개방시점의 실내 CO2 농도를 의미한다. 실내발생량을 재실자의 스케쥴을 정확히 파악하기 어렵기 때문에 발생량인 M값은 없는 것으로 가정하였다.
3. 창문개방을 통한 연간 자연환기량 분포
전체 측정기간의 자연환기량과 월별 자연환기 횟수 분석을 Fig. 4과 Fig. 5에 나타냈다. Fig. 4은 전체 측정기간의 자연환기량을 일별로 나타내었다. 분홍색의 범위는 25 ~ 75% tile의 범위를 나타내며, 파란색 선은 각 일별 자연환기량의 평균을 나타낸다. 편차가 있긴 하지만, 난방기와 냉방기의 자연환기량을 분석하였을 때, 어느 정도 일정한 값을 나타내는 것을 알 수 있었다. 우리나라의 풍향은 계절풍의 효과로 인해 뚜렷한 방향성을 가지며, 거주자가 창문을 개방할 때, 일정한 수치의 자연환기량이 실내에 들어오기 때문이라고 판단된다. Fig. 5는 외기온도에 따른 1일 자연환기 횟수를 나타내었다. 하얀색 원은 모든 세대의 평균이며, 에러바는 각각의 세대별 편차이다. 이를 통해, 거주자들의 1일 자연환기 횟수는 난방기인 17℃이하 에서는 세대별 편차가 거의 없었으며, 환기행동이 굉장히 미비한 것으로 나타났다. ASHRAE 기준과 국토교통부의 기준과 비교하였을 때, 난방기의 환기량은 기준에 상당히 미치지 못하였고 이는 겨울철의 차가운 외기 때문에 환기행동이 상당히 미비한 것으로 판단된다. 반면에 중간기와 냉방기의 세대별 자연환기 횟수를 보았을 때, 17℃ 이상부터 급격히 환기횟수가 증가하는 것으로 나타났고, 편차가 크게 차이 나는 것을 알 수 있었다. 이는 거주자들의 온열감의 수용성이 개인마다 큰 차이가 나기 때문이라고 판단된다.
4. 환경조건(건물의 향과 층수)에 따른 자연환기량 분포
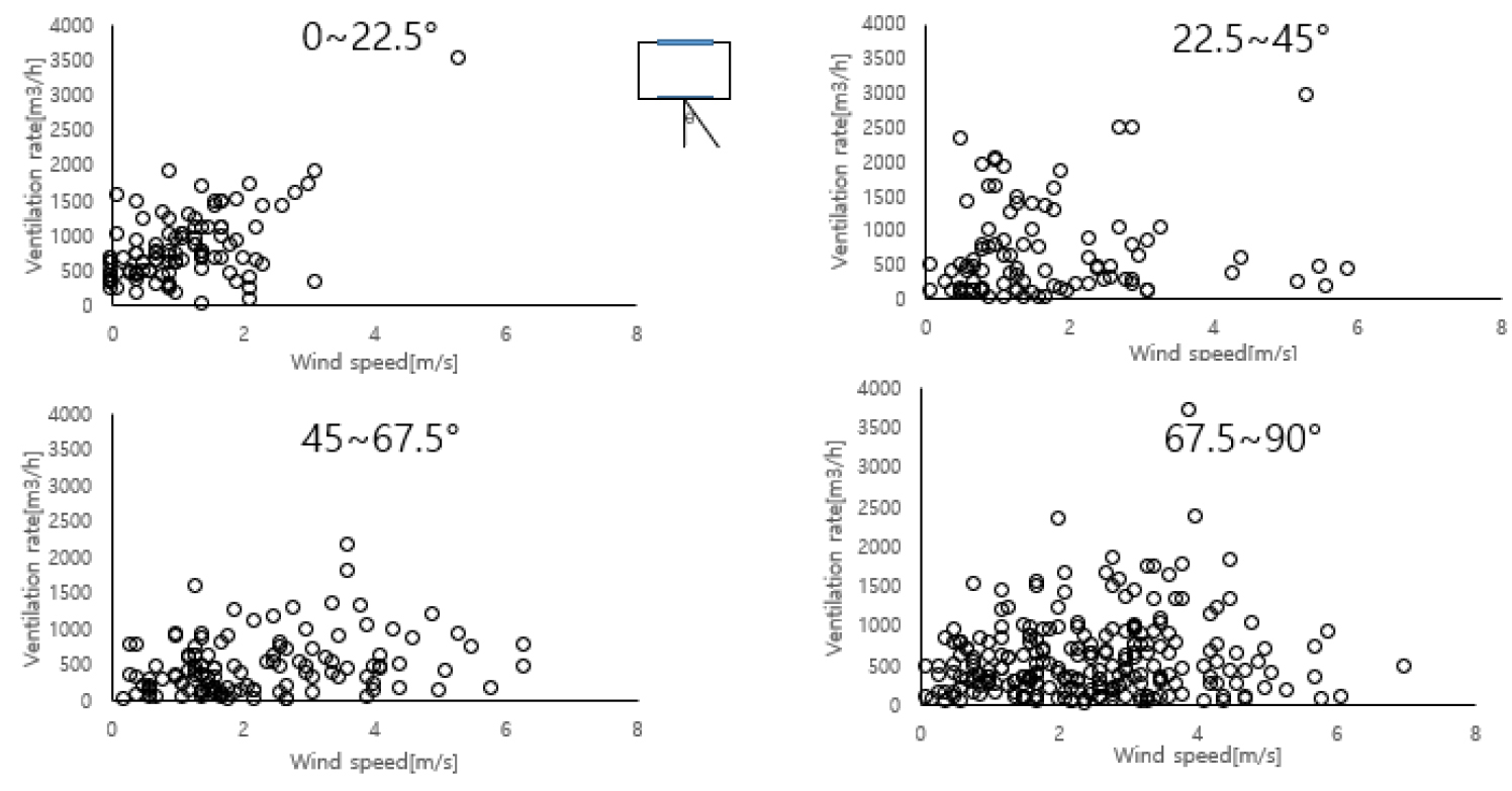
Fig. 6은 건물의 향을 고려한 풍향과 풍속을 고려한 자연환기량을 나타낸다. 시시각각의 풍향과 풍속을 거실창과 거실창의 맞은편 창을 기준으로 각도를 변환하여 나타내었으며, 총 4분위 0 ~ 22.5, 22.5 ~ 45, 45 ~ 67.5, 67.5 ~ 90o로 나타내었다. 풍향이 맞통풍에 가까우면 가까울수록 풍향-풍속과 자연환기량의 연관성은 가까운 것으로 나타냈고, 맞통풍에 멀어질수록 연관성이 멀어지는 것을 알 수 있었다. 이는 건물의 향이 자연환기량에 큰 영향을 미친다는 것을 알 수 있었다.
Fig. 7에서는 층수에 따른 자연환기량 분석 결과를 나타낸다. 저층은 1층에서 5층, 중층은 6층에서 10층, 고층은 11층 이상을 나타내며 각각 검은색, 파란색, 빨간색 선으로 나타내며 *는 t-test 결과(p ≤ 0.05)를 나타낸다. 이는 두 값이 유의미한 차이를 나타내며 상관관계가 없다는 것을 나타낸다. 분석한 결과, 9월을 제외하고 12월 ~ 8월까지는 고층과 저층사이에 유의미한 차이를 나타냈다. 이를 통해 층수 역시 자연환기량에 영향을 미치는 것을 알 수 있었다.
5. 결 론
본 연구에서는 국내 공동주택 4개 단지 30세대 대상으로 창문개방행태에 따른 자연환기량을 분석하였고 아래와 같은 결론을 도출하였다.
(1) 측정기간의 실외 및 실내환경조건은 10년치 기상데이터와 비교하였을 때, 국내의 대표적 기후를 나타낸다고 볼 수 있다.
(2) 거주자의 창문개방에 따른 자연환기량을 분석하였을 때, 국내의 뚜렷한 계절풍의 영향으로 냉방기와 난방기에는 어느 정도 일정한 자연환기량 패턴을 갖는 것으로 나타났다. 하지만 이러한 자연환기량은 건물의 배치, 건물의 층수 및 바람의 풍속에 영향을 받는 것을 알 수 있었다.
(3) 외기온도에 따른 ACH/day를 분석하였을 때, 재실자들은 난방기에는 ASHRAE에서 제시하고 있는 필요환기량에 크게 미치지 못하였으며, 이는 겨울철 기계환기의 필요성을 나타낸다.
(4) 추후 연구에서는 이러한 분석된 자연환기량을 환기량 프로그램과 비교하고, 창문개방시 발생한 자연환기량을 창문개방 알고리즘과 통합하여 에너지 시뮬레이션 프로그램에 탑재한다면, 정확한 에너지 소비량 예측이 가능할 것으로 판단된다.









