1. 서 론
2. 수치해석 방법
2.1 CFD 방법론
2.2 듀얼로터 풍력터빈 모델링
2.3 공학 후류모델
3. 결과 및 고찰
3.1 듀얼로터 후류 특성
3.2 공학 후류모델 적용성 평가
4. 결 론
기호 및 약어 설명
LES : Large Eddy Simulation
SCADA : Supervisory Control And Data Acquisition
CFD : Computational Fluid Dynamics
TI : Turbulence Intensity
: Power Coefficient
: Thrust Coefficient
: Lift Coefficient
: Drag Coefficient
: Rated Rotor Rotational Speed
: Rated Wind Speed
: Rotor Rotational Speed
: Optimal Tip Speed Ratio
: Fine Pitch Angle
: Rotor Radius
: Azimuth Angle
1. 서 론
최근 10년간 풍력에너지는 연평균 7% 성장하여 2024년 전 세계 누적 용량이 1.14 TW에 도달하였으나, 전기차 보급 확대에 따른 수백 TWh의 추가 전력 수요와 AI 기술 발전으로 인한 데이터센터 전력 소비 급증(2024년 기준 415 TWh)으로 더욱 효율적인 발전 시스템이 요구된다1,2).
듀얼로터 풍력터빈은 이러한 요구에 대응하는 혁신적 개념으로, 하나의 구조물에 두 개의 로터를 탑재하여 동일 설치 면적 대비 설비 용량을 증대할 수 있다. 이러한 시스템은 특히 해상 구조물이나 부유식 플랫폼과 같이 재생에너지 설치가 필요하지만 공간이 제한적인 환경에서 효과적으로 적용될 수 있다. 중국 Mingyang사가 개발한 OceanX는 대표적인 사례로, V자형 부유식 플랫폼에 각 8.3 MW급 터빈 2기를 탑재하여 총 16.6 MW의 용량을 구현하였다3). 본 연구에서는 IEA 10 MW급 풍력터빈을 기준으로 듀얼로터 시스템을 구성하여 후류 특성을 분석하였다.
풍력터빈은 바람의 운동에너지를 이용하여 전력을 생산하므로, 터빈을 통과한 바람의 풍속이 감소하는 후류 현상이 발생한다. 이러한 현상은 인근에 설치된 풍력터빈의 출력에 영향을 주므로, 풍력터빈 간 후류 간섭을 사전에 분석하는 것이 필수적이다. 하지만 기존의 후류 분석 방법은 모두 단일 로터 시스템을 대상으로 개발되었다. 따라서 듀얼로터 시스템을 실제 풍력단지에 적용하기 위해서는 기존 후류 분석 방법의 타당성을 검토하거나, 듀얼로터 전용 공학 후류모델을 개발할 필요가 있다. 공학 후류모델은 CFD 기반 해석에 비해 신뢰도는 낮지만, 풍력단지 차원에서의 연간발전량 예측 및 단지제어 알고리즘 개발에 직접 활용할 수 있는 비용 효과적인 모델이다. 실제로 NREL의 FLORIS와 같이 풍력단지 제어 알고리즘 개발에 널리 사용되는 프로그램들은 공학 후류모델을 기반으로 하며, LES 시뮬레이션 및 실제 SCADA 계측데이터와의 비교를 통해 그 신뢰성이 검증되었다4,5,6,7,8). 따라서 듀얼로터 시스템의 후류 특성을 공학 후류모델에 반영하기 위해서는 고충실도 CFD 해석을 통해 후류 특성을 정확히 파악하고, 이를 기반으로 공학 모델의 매개변수를 조정하는 과정이 필수적이다.
하지만 기존 공학 후류모델은 단일 로터를 전제로 개발되었기 때문에 듀얼로터 시스템에 그대로 적용하는 것은 적합하지 않다. Bian et al. (2024)9)는 LES 시뮬레이션을 통해 4개의 로터가 설치된 멀티로터 터빈 후류가 일반적인 단일로터 풍력터빈 후류보다 풍속 저감현상이 증가하는 반면, 일부 환경에서는 후류 회복속도가 일반적인 단일로터 풍력터빈 후류보다 높다는 점을 확인했다. Xiong et al. (2023)10)은 소규모 풍동시험을 통해 멀티로터 풍력터빈에서 발생한 후류가 인근 후류와 완전히 병합된 후에는 단일 로터 후류보다 회복속도가 느리고 난류 운동에너지가 낮다는 점을 확인했다. 기존까지 수행된 연구들은 기존 단일 로터용 모델을 듀얼로터에 적용할 경우 예측 정확도가 저하될 수 있다는 점을 보여준다. 하지만, 기존의 연구는 모두 4개의 로터가 설치된 시스템을 대상으로 수행된 연구인만큼, 본 연구에서 고려하고자 하는 듀얼로터 시스템에 대한 분석은 충분히 진행되지 않은 상태이다.
따라서 본 연구는 듀얼로터 풍력터빈의 후류 특성을 정량적으로 분석하고, 단일 로터 및 기존 공학 모델과의 차이를 분석하기 위해 FEniCS 코드 기반의 CFD 시뮬레이션 프로그램을 활용한 Actuator Line Method (ALM) 시뮬레이션을 통해 두 가지 유입풍속(8 m/s, 12 m/s)과 두 수준의 난류강도(TI = 10.22%, 14.6%) 조건에서 추력계수 변화가 듀얼로터 후류에 미치는 영향을 분석하였다.
2. 수치해석 방법
2.1 CFD 방법론
(1) 시뮬레이션 설정
본 연구에서는 FEniCS 코드 기반의 CFD 프로그램인 NREL WindSE를 사용하였다. WindSE는 풍력단지 내 대기 유동 해석 및 터빈 배치·운영 최적화를 위해 개발된 도구로, 유한요소법을 기반으로 유동 방정식을 해석한다. WindSE는 Actuator Disk Method (ADM)뿐만 아니라 Actuator Line Method (ALM)를 지원하여 각 블레이드를 독립적으로 모델링할 수 있으며, 로터 회전속도, 피치각, 블레이드 공력계수 분포 등의 변화가 후류 유동장에 미치는 영향을 시뮬레이션 할 수 있다.
WindSE에 탑재된 FEniCS 코드는 난류 모델로 Prandtl의 혼합거리 모델을 사용한다. 혼합거리 모델은 k-ω 또는 k-ε와 같은 2-방정식 모델에 비해 난류 특성 예측 정확도가 제한적이지만, 추가적인 수송 방정식 해석이 불필요하므로 메모리 사용량과 계산시간을 크게 절감할 수 있다. 본 연구는 듀얼로터 풍력터빈의 다양한 운전 조건에 따른 후류 특성의 상대적 경향을 비교 분석하는 것을 목적으로 하므로, WindSE의 계산 효율성이 적합하다고 판단하였다. 다만, 혼합거리 모델의 해석 한계를 고려하여, 본 연구 결과는 절대적인 후류 예측보다는 상대적 경향 파악에 중점을 두었다.
해석 영역은 주 풍향(), 횡방향(), 연직방향()에 대해 각각 1600 m × 2400 m × 1000 m로 설정하였으며, 이는 로터 직경(D = 198 m) 대비 약 8.1 D × 12.1 D × 5.1 D에 해당한다. 본 연구의 관심 영역은 터빈 후방 5 D 이내의 근접 후류 및 중간 후류 영역이므로, 설정된 영역이 충분하다고 판단하였다. 격자는 WindSE의 Refinement 기능을 활용하여 로터 주변과 후류 영역에 집중 배치하였으며, 생성된 격자 수는 총 26,182,294개이다. 기본 격자는 40 × 60 × 40 노드로 설정하였으며, 각 로터 중심(y = –101.5 m, +101.5 m)을 기준으로 반경 120 m, 길이 1300 m 영역에 대해 stream 타입 세분화를 적용하였다. 연직방향으로는 지상 119 m 이하 영역에 전체 격자의 83.3%를 집중 배치하였다.
경계조건은 입구(서쪽)에 TurbSim으로 생성된 난류 풍속장, 출구(동쪽)에 무응력(no-stress) 조건, 상부 및 측면(북쪽, 남쪽)에 미끄럼 조건(free-slip), 하부에 점착 조건(no-slip)을 적용하였다. ALM 구현을 위해 Gaussian 커널의 Gauss factor는 0.8, Chord factor는 1.0으로 설정하였다. 비정상 해석은 총 600초 동안 수행하였으며, 결과는 100초 간격으로 저장하였다. 유체의 동점성계수는 1.5 × 10-5 m2/s를 적용하였다(Fig. 1).
(2) 난류바람 생성
시뮬레이션에 사용된 난류 바람은 NREL TurbSim을 이용하여 생성하였다. TurbSim은 시간-공간적으로 상관된 난류 풍속장을 생성하는 확률론적 시뮬레이터로, Taylor의 frozen turbulence 가설에 따라 시계열 데이터를 공간장으로 변환하여 CFD 입구 경계조건으로 적용할 수 있다.
본 연구에서는 IEC 61400-1 풍력터빈 설계 표준에서 널리 사용되는 Kaimal 스펙트럼 모델을 채택하였다. 난류 바람장의 격자 해상도는 CFD 해석 영역의 입구 경계(2400 m × 1000 m)와 일치하도록 설정하였다.
2.2 듀얼로터 풍력터빈 모델링
본 연구에서는 IEA 10 MW 풍력터빈의 공력 데이터를 기반으로 듀얼로터 풍력터빈 시스템을 모델링하였다. ALM 시뮬레이션에 필요한 블레이드 반경 방향 공력계수 분포—양력계수() 및 항력계수()—는 NREL Technical Report와 그 외 공개 자료로부터 취득하였다11). 시뮬레이션에 사용된 IEA 10 MW 풍력터빈의 주요 제원은 Table 1에 제시하였다.
Table 1
Key parameters of IEA 10 MW wind turbine
| Item | Value | Units |
| Cut-in / Rated / Cut-out wind speed | 4 / 11 / 25 | m/s |
| Rotor diameter | 198 | m |
| Hub Height | 119 | m |
WindSE는 풍력터빈 제어기와의 연동을 지원하지 않으므로, 본 연구에서는 각 풍속 조건에 대응하는 최적 블레이드 피치각()과 로터 회전속도()를 사전에 결정하여 입력하였다. 출력계수() 곡선으로부터 최대 출력을 달성하는 우수 피치각()과 최적 선단속도비()를 도출하였으며, 각 풍속 조건에 대한 추력계수()를 함께 산출하였다.
정격풍속 이하 영역에서는 최대 출력 추종 운전 전략을 적용하였으며, 정격풍속 이상 영역에서는 로터 회전속도를 정격 회전속도()로 유지하고 블레이드 피치각을 증가시켜 정격 출력을 유지하도록 하였다. 풍속별 운전 조건 도출 시 고려한 제약 조건은 식(1)과 같다.
듀얼로터 시스템은 두 개의 풍력터빈을 Fig. 2와 같이 배치하여 구현하였다. 풍력터빈 로터 간 거리는 로터 직경의 약 2.5%에 해당하는 5 m로 설정하였다. 이는 실제 듀얼로터 시스템의 구조적 제약 및 로터 간 간섭 효과를 고려하여 선정한 값이다. 듀얼로터 시스템을 구성하는 풍력터빈은 모두 시계방향으로 회전하는 것으로 가정했다. Fig. 3은 풍속별 로터 회전속도와 블레이드 피치각을 보여주며, Table 2는 시뮬레이션에 적용된 주요 운전 조건을 정리한 것이다.
Table 2
Operating conditions for CFD simulation
| Input wind speed [m/s] | Rotor speed [rpm] | Blade pitch angle [deg] |
| 8 | 6.42 | –1.84 |
| 12 | 8.83 | 6.98 |
2.3 공학 후류모델
기존 공학 후류모델의 듀얼로터 시스템 적용성을 평가하기 위해 Bastankhah 모델과 Jensen Gaussian 모델을 선정하였다. Bastankhah 모델은 에너지 보존법칙에 기초하되 CFD 해석 결과를 반영하여 후류 예측 신뢰도를 향상시킨 모델이며, Jensen Gaussian 모델은 고전 Jensen 모델의 비현실적인 후류 형상을 개선하고 대기 난류강도를 고려할 수 있는 모델이다.
Bastankhah 모델의 지배방정식은 식(2), Jensen Gaussian 모델의 지배방정식은 식(3)과 같다12,13). 계산에 필요한 파라미터 세부 정보는 참고문헌에서 확인할 수 있다.
후류 중첩 현상은 풍력단지 연간발전량 예측용 상용프로그램에서 널리 사용되는 Quadratic sum 모델을 적용하였다(Table 3). 공학모델의 입력 조건은 CFD 시뮬레이션과 동일하게 설정하였으며, 추력계수는 정격풍속 이전 구간 0.6879, 정격풍속 이후 구간 0.3679를 적용하였다.
3. 결과 및 고찰
3.1 듀얼로터 후류 특성
본 절에서는 WindSE를 이용한 시뮬레이션 결과를 시간 평균하여 분석하였다. 난류 성분이 포함된 순간 데이터를 직접 비교하면 정량적 분석이 어렵기 때문에, 초기 300초의 과도상태를 제외한 이후 300초 시뮬레이션 결과를 평균하여 통계적으로 안정된 후류 특성을 도출하였다.
(1) 후류 강도 분석
듀얼로터 후류는 단일 로터 대비 더 큰 풍속 저감을 나타냈다. 정격풍속 이하 구간(8 m/s)에서는 듀얼로터가 단일 로터 대비 평균 14.5% (TI = 10.22%) 및 13.8% (TI = 14.6%) 더 큰 풍속 저감을 나타냈다(Table 4). 이러한 차이는 난류강도에 관계없이 일관되게 나타났으며, 두 로터의 복합 효과로 인해 후류 영역에서 운동량 결손이 누적되기 때문으로 판단된다.
Table 4
Wake deficit comparison w.r.t. CT (Below rated wind speed / Above rated wind speed)
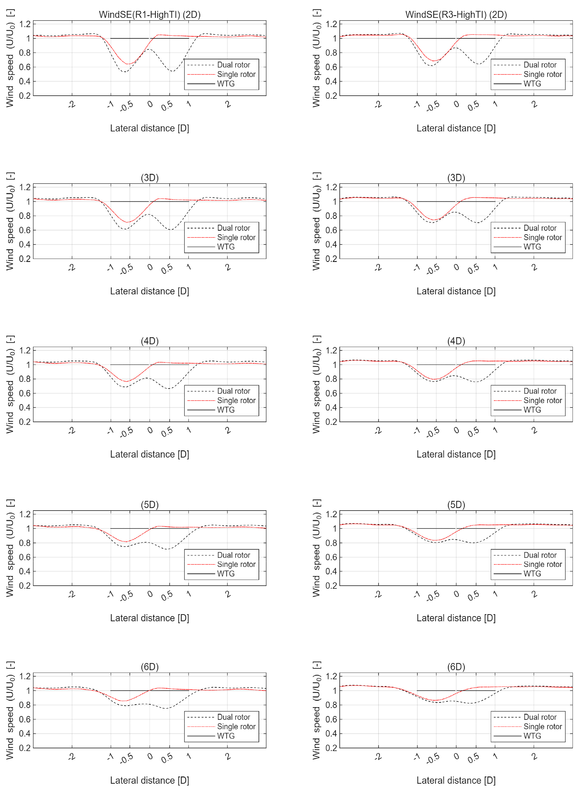
Fig. 4, 5는 추력계수 변화에 따른 후류 형상을 단일 로터와 비교한 결과를 보여준다. 그래프의 축은 반경 방향 거리를 로터 직경으로 정규화하여 표현하였으며, –0.5 D와 0.5 D 지점은 각 로터의 중심 위치를 나타낸다. 후류 강도는 후류 영역에서 풍속이 가장 낮은 지점의 값으로 정의하였다.
정격풍속 이상 구간(12 m/s)에서는 듀얼로터와 단일 로터 간 풍속 저감 차이가 평균 5.8%로 감소하였다(Table 4). 이는 추력계수가 0.3679로 감소함에 따라 로터가 유동장에서 추출하는 운동량이 감소하였기 때문이다. 추력계수가 낮을 경우 각 로터에서 발생하는 후류 강도가 약하므로, 두 로터의 복합 효과도 상대적으로 감소하는 것을 확인할 수 있다.
(2) 와류 상호작용 및 후류 중심선 이탈
동일한 제원을 갖는 듀얼로터 시스템임에도 불구하고 각 로터에서 발생한 후류의 강도와 형상이 비대칭적으로 나타났다(Figs. 4, 5). 이러한 현상은 후류 영역에서 발생하는 와류의 상호작용으로 설명할 수 있다.
Fig. 6은 듀얼로터와 단일 로터 후류에 대한 y-z 평면에서의 풍속 벡터장을 보여준다. 후류 영역에서 발생한 회전 유동(와류)은 Rankine vortex 모델로 묘사되며, Englberger et al.(2020)은 주변 유동을 풍속, 윈드시어, 로터 회전속도로 표현하였다(식(4))14).
수식에서 는 로터의 방위각을 의미한다.
시뮬레이션 결과, 로터의 시계방향 회전으로 인해 발생한 와류는 인근 로터 후류의 횡방향 편향을 유발한다. y = –101.5 m에 위치한 로터의 와류는 y = +101.5 m 로터의 후류를 +y 방향으로, y = +101.5 m 로터의 와류는 y = –101.5 m 로터의 후류를 –y 방향으로 편향시킨다. 즉, 각 로터의 후류는 로터 중심에서 멀어지는 외측 방향으로 이동하며, 이는 운동량 보존 원리에 따른 현상이다. 결과적으로 후류가 더 큰 자유류(free stream) 영역과 접촉하게 된다. 이러한 후류 중심선 이탈 현상은 듀얼로터 시스템의 중요한 특징으로, 단일 로터에서는 관찰되지 않는다.
후류 중심선이 로터 위치에서 이탈함에 따라 후류 회복 속도가 증가하는 것으로 확인되었다. 이는 자유류와의 접촉 면적 증가가 난류 혼합을 촉진하여 운동량 전달을 가속화하기 때문으로 판단된다. 그러나 이러한 메커니즘에 대한 정량적 분석은 본 연구에서 사용한 혼합거리 난류 모델의 한계로 인해 수행하지 못하였다.
(3) 후류 회복률 비교
앞선 분석에서 듀얼로터 후류가 단일 로터보다 큰 풍속 저감을 보임을 확인하였다. 그러나 후류 중심선 이탈 현상이 관찰되었으므로, 이것이 후류 회복에 미치는 영향을 정량화하기 위해 하류방향 거리 증가에 따른 후류 회복률을 분석하였다.
Fig. 7은 풍력터빈의 작동 구간과 대기 난류강도에 따른 후류 영역 내 풍속 최소값의 변화를 보여준다. 그림에서 D는 Dual rotor, S는 Single Rotor, R1은 정격풍속 이전 구간(Region 1), R3는 정격풍속 이후 구간(Region 3)을 나타낸다. 회복률은 해석에서 고려한 하류방향 거리 최소값(1 D)과 최대값(5 D) 지점에서의 풍속을 기울기로 환산하여 평가하였다(Table 5).
Table 5
Wind turbine wake recovery rate by external condition
| R1, Low TI | R3, Low TI | R1, High TI | R3, High TI | |
| Single rotor (A) | 0.1052 | 0.0842 | 0.1073 | 0.0901 |
| Dual rotor (B) | 0.1054 | 0.1037 | 0.1102 | 0.1035 |
| Increase (B–A) / A × 100 [%] | 0.3 | 23.1 | 2.7 | 14.8 |
분석 결과, 듀얼로터 후류강도는 초기 풍속 저감량이 크지만 회복률은 단일 로터보다 높게 나타났다. 예를 들어, 낮은 난류강도(10.22%)의 정격풍속 이후 구간(12 m/s)에서 듀얼로터의 회복 기울기는 단일 로터보다 약 23.1% 높았다. 이는 인접 로터에서 발생한 와류가 난류 에너지를 증폭시켜 후류를 상대적으로 빠르게 회복시키기 때문으로 판단된다.
3.2 공학 후류모델 적용성 평가
(1) 후류 형상 예측
Fig. 8은 CFD 시뮬레이션 결과와 공학 후류모델(Bastankhah, Jensen Gaussian) 예측 결과를 비교한 것이다. 좌측은 정격풍속 이전, 우측은 정격풍속 이후를 나타낸다. 난류강도는 10.22%로 동일하다.
공학 후류모델은 전 구간에서 가우시안 형태의 풍속 저감 양상을 예측하였으며, 하류방향 거리 증가에 따른 저감량 감소 경향도 CFD 결과와 유사하게 나타났다. 이는 두 모델이 에너지 보존법칙에 기초하되 CFD 및 실험 데이터로 보정되었기 때문이다. 그러나 와류 상호작용에 의한 후류 중심선 이탈 현상은 예측하지 못하였다. 이는 기존 공학모델이 와류 역학을 명시적으로 고려하지 않기 때문이다.
(2) 예측 오차 분석
Table 6과 Table 7은 정격풍속 전후에 대한 후류 강도 비교 결과를 난류강도별로 정리한 것이다. 공학모델의 예측 오차는 다음과 같은 특징을 보였다.
Table 6
Wake deficit comparison w.r.t. CT (TI = 10.22%, Low TI)
Table 7
Wake deficit comparison w.r.t. CT (TI = 14.6%, High TI)
첫째, 난류강도가 낮을수록 오차가 감소하였다. 낮은 난류강도 조건(10.22%)에서 평균 오차는 10.4%였으나, 높은 난류강도 조건(14.6%)에서는 12.9%로 증가하였다. 이는 난류 혼합이 활발할수록 후류 구조가 복잡해지며, 단순화된 공학모델의 한계가 두드러지기 때문이다.
둘째, 정격풍속 이전 구간에서 오차가 약 1.6배 이상 증가하였다. 이는 높은 추력계수 조건에서 와류 상호작용이 강화되어, 이를 고려하지 않는 공학모델의 예측 한계가 명확해지기 때문으로 판단된다.
셋째, Bastankhah 모델과 Jensen Gaussian 모델 간 예측 차이는 크지 않았다. 두 모델 모두 듀얼로터의 복합 후류 특성을 완전히 포착하지 못하였으며, 특히 로터 간 와류 상호작용과 그로 인한 비대칭적 후류 형상을 재현하지 못하였다.
4. 결 론
본 연구에서는 듀얼로터 풍력터빈의 후류 특성을 CFD 해석을 통해 분석하고, 단일 로터 후류 및 기존 공학 후류모델과 비교하였다. FEniCS 코드를 기반으로 개발된 NREL WindSE를 이용한 ALM 시뮬레이션을 통해 다음과 같은 결론을 도출하였다.
첫째, 듀얼로터 시스템은 단일 로터 대비 더 큰 후류 강도를 나타냈다. 정격풍속 이전 구간에서는 평균 14.5% (TI = 10.22%) 및 13.8% (TI = 14.6%)의 추가적인 풍속 저감이 관찰되었다. 정격풍속 이후 구간에서는 이러한 차이가 평균 5.8% 수준으로 감소하였으며, 이는 추력계수 감소에 따른 효과로 해석된다.
둘째, 듀얼로터 시스템에서는 로터 간 와류 상호작용으로 인해 후류 중심선이 로터 위치에서 이탈하는 현상이 관찰되었다. 이러한 와류 상호작용은 자유류와의 혼합을 촉진하며, 결과적으로 단일 로터보다 빠른 후류 회복을 유도하는 것으로 나타났다. 본 연구에서 듀얼로터의 후류 회복률은 단일 로터 대비 최대 23.1% 빠른 것으로 확인되었다. 이는 풍력단지 배치 최적화 시 듀얼로터 시스템의 경우 터빈 간 이격거리를 단일 로터보다 축소할 수 있는 가능성을 시사하며, 이를 통해 단지 면적 감소 및 전력 인프라 비용 절감이 기대된다. 다만 최적 이격거리 결정을 위해서는 후류 간섭에 따른 발전량 손실과 설치 비용 절감 효과를 종합적으로 고려한 경제성 분석이 필요하다.
셋째, 기존 공학 후류모델(Bastankhah 모델, Jensen Gaussian 모델)은 전체적인 후류 형상 예측에서는 CFD 결과와 유사한 가우시안(Gaussian) 분포를 보였으나, 와류 상호작용에 의한 후류 중심선 이탈 현상은 예측하지 못하였다. 공학모델의 예측 오차는 난류강도가 낮을수록, 정격풍속 이후 구간에서 작게 나타났다. 정격풍속 이전 구간에서는 오차가 약 1.6배 이상 증가하였으며, 이는 높은 추력계수 조건에서 와류 상호작용이 강화되기 때문으로 판단된다.
본 연구의 한계점은 다음과 같다. WindSE에 기본 적용된 혼합거리 난류 모델은 2-방정식 모델에 비해 난류 특성 예측 정확도가 제한적이다. 따라서 본 연구 결과는 절대적인 후류 예측보다는 상대적 경향 파악에 중점을 두어야 한다. 또한 제한된 해석 영역으로 인해 원거리 후류 특성은 충분히 분석되지 못하였다.
본 연구 결과는 듀얼로터 시스템의 실제 프로젝트 적용 시 다음과 같은 공학적 고려사항을 제시한다. 발전량 관점에서 듀얼로터는 동일 공간에 약 두 배의 설비용량을 확보할 수 있으나, 본 연구에서 확인된 후류 강도 증가(평균 14.6%)는 하류 터빈의 발전량 감소를 초래할 수 있다. 따라서 풍력단지 전체의 연간발전량 최적화를 위해서는 터빈 배치와 운영 전략에 대한 종합적 분석이 필요하다. 또한 추력 관점에서 듀얼로터는 단일 로터 대비 약 2배의 추력이 지지구조물에 작용하므로, 타워 및 부유식 플랫폼 설계 시 구조 강도 증대가 요구된다. 이는 초기 설치비용 증가 요인이 될 수 있으나, 앞서 언급한 단지 면적 축소 및 빠른 후류 회복에 따른 비용 절감 효과와의 균형점을 찾는 것이 중요하다.
향후 연구에서는 첫째, k-ω SST 또는 LES 기반의 고정밀 난류 모델을 적용한 검증 시뮬레이션이 필요하다. 둘째, 다양한 로터 간격, 회전 방향 조합, 상대적 크기 등에 대한 매개변수 연구가 요구된다. 셋째, 기존 공학 후류모델에 듀얼로터 특성을 반영한 보정 계수 개발이 필요하다. 특히 와류 상호작용을 고려한 후류 중심선 이탈 보정, 유효 추력계수 개념 도입, 듀얼로터 특화 난류 모델 개발 등이 필요하다. 또한, 듀얼로터 풍력단지의 실제 프로젝트 적용 시, 특히 정격풍속 이하의 고추력계수 구간이나 고난류강도 환경에서는 기존 공학모델의 예측 불확실성이 크므로, CFD 해석을 병행하여 보다 정확한 후류 예측을 수행할 필요가 있다.
본 연구는 듀얼로터 풍력터빈 후류의 기본 특성을 정량적으로 제시함으로써, 향후 듀얼로터 시스템의 풍력단지 적용 및 전용 후류모델 개발을 위한 기초 자료를 제공한다는 점에서 의의가 있다.










