1. 서 론
화석 연료의 사용이 야기한 문제를 해결하기 위해 풍력, 태양광 발전과 같은 신재생에너지의 보급이 활발해지고 있다. 이와 더불어 제주특별자치도는 ‘Carbon Free Island Jeju by 2030’정책을 2012년 발표하여 신재생에너지 보급에 박차를 가하고 있으며, 2030년까지 해상과 육상을 포함하여 총 2.35 GW의 풍력발전단지 구축을 목표하고 있다1).
반면에 풍력발전의 간헐적 출력 특성은 제주 계통과 같이 규모가 작은 계통에 악영향을 끼칠 우려가 있으며,2) 이에 관한 사항은 “제주특별자치도 풍력발전사업 허가 및 지구 지정 등에 관한 조례”에서 전력계통 안정 및 발전 출력 향상을 위해 ESS 설치를 요구할 수 있
도록 기술 되어 있다3). 또한 제주특별자치도는 3,000 kW 행원 연안 풍력발전기에 리튬이온 배터리 500 kWh, 전력변환장치(PCS) 1,000 kW로 구성된 ESS를 연계하는 “풍력발전기 출력안정용 에너지저장장치 시범구축사업”을 2015년부터 진행하였다4).
풍력발전 출력 안정화를 위한 ESS 연계 시 ESS의 용량 산정은 출력 안정화 효과뿐만 아니라 경제성에 영향을 미치기 때문에 중요한 요소로 작용할 수 있다. 따라서 본 논문에서는 출력 안정화에 초점을 맞추어 풍력발전 출력 안정화에 필요한 ESS 용량을 산정하였다. 분석에 사용된 데이터는 실제 행원 연안 풍력에 연계된 ESS와 풍력발전기의 1초 주기 측정데이터를 사용하였으며, 잔존용량(SOC, State of Charge)은 배터리 관리 시스템(BMS, Battery Management System)에서 계산된 값을 이용하였다.
정확한 용량 산정을 위해서 실제 출력 기반의 컴퓨터 해석 모델을 Matlab 프로그램을 이용하여 작성하였으며, 실제 데이터와 컴퓨터 해석 결과의 비교를 통해 분석 결과의 신뢰성을 검증하였다.
2. 실증데이터 분석
Fig. 1은 실증 데이터의 계측 지점을 나타낸다. 풍력발전 출력의 경우 풍력발전기의 변압기 2차 측에서 측정하였으며, ESS 출력 역시 변압기 2차 측에서 측정하였다. 합성 출력의 경우 ESS와 풍력발전기가 공유하는 계통 접속점에서 계측하였다. 분당 변동률 계산의 경우 1분간 최댓값과 최솟값을 이용하여 식(1)과 같이 계산하였으며, 모든 측정 시점에서 적용 될 수 있도록 1초 단위로 이동하여 계산하였다4,5,6,7).
(1)
(단 t는 1초 주기)
여기서,
: 풍력발전 출력 분당 변동률 [%]
: t-59초부터 t초까지의 풍력발전 출력 최댓값 [kW]
: t-59초부터 t초까지의 풍력발전 출력 최솟값 [kW]
: 풍력발전단지 용량 [kW]
2.1 ESS 운전 조건
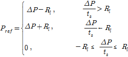
행원 연안 풍력 연계 ESS 시범 구축 사업에서 ESS의 제어를 식(2)-(5)과 같은 램프 비율 제어를 기반으로 동작한다8,9,10,11). 이와 더불어 사전에 설정된 SOC를 추종하는 포스코 ICT의 특허 알고리즘을 수행하도록 설정되었다12). 램프 비율 제어의 경우 제한된 출력 변화량을 초과하였을 경우에만 동작하며, 출력 제한 범위 안에서는 동작하지 않는 특징이 있다.
(2)
(3)
(4)
(5)
여기서,
: 샘플링 시간 동안 출력변화량 [kW]
: 샘플링 시간
: 풍력발전 출력 기울기 제한 값 [kW]
: 출력변동 제한률 [%]
: ESS 출력 지령 값 [kW]
:
초에서의 풍력발전과 ESS의 합성출력
Table 1은 ESS의 제어 알고리즘 수행을 위한 운전 조건을 명시하였다. 행원 연안 풍력의 경우 분당 변동률을 10%로 제어하기 위해 풍력 출력 유효전력의 변화량을 초당 ±5 kW로 제한하였다. SOC의 목표값은 90%로 설정하여 90%보다 작으면 ESS로 충전되는 출력을 2배 크게 하였으며, 90%보다 클 경우 ESS가 방전하는 출력을 2배로 하여 풍력발전기의 출력안정화에 기여함과 동시에 설정된 SOC를 추종하도록 하였다.
2.2 실증 데이터 분석
본 논문에서는 실증 데이터 중 풍력발전 출력의 분포가 상승, 하강 그리고 정격 출력 등 다양한 분포를 하고 있는 2017년 1월 8일을 기준으로 분석하였다. Fig. 2는 풍력발전출력과 ESS 합성 출력을 각각 나타내며, 풍력발전 출력이 급변할 때 ESS의 출력을 통해 합성 출력이 완화된 것을 확인 할 수 있다.
Fig. 3은 2017년 1월 8일 풍력발전 출력과 ESS 합성 출력을 식(1)에 대입하여 계산한 분당 변동률의 결과이다. 풍력발전 분당 변동률의 경우 정격 출력 구간에서는 상당히 작은 분포를 보이고 있으나, 간혹 큰 변동이 발생하는 것을 확인할 수 있으며, 풍력출력이 변동되는 구간에서는 10% 이상의 분당 변동률의 빈도수가 잦은 것을 확인 할 수있다. Fig. 4는 ESS 출력을 나타낸다. 이때 ESS의 PCS 용량인 1,000 kW까지 출력이 나타나는 것을 확인 할 수 있으며, 이는 풍력발전출력 안정화를 위해서 1,000 kW 이상의 ESS 용량이 요구됨을 나타낸다. Figs. 5와 6은 Fig. 3의 분당 변동률 계산 결과에 대한 ESS 설치 전과 후의 분포도를 각각 나타낸다. 이때 0을 기준으로 우측은 풍력발전기의 출력이 상승하여 발생되는 분당변동률을 의미하며, 좌측은 출력이 감소하여 발생되는 분당변동률을 의미한다. Fig. 5와 6을 비교하였을 때 분당 변동률의 분포가 ESS 설치 후 0을 기준으로 밀집되는 것을 확인 할 수 있다. Table 2는 2017년 1월 8일 최대 분당 변동률과 10%를 초과하는 분당 변동률의 빈도수를 나타내었다. 이때 ESS를 설치하였음에도 불구하고 10%를 초과하는 분당 변동률이 발생한 원인으로는 ESS의 용량 제한과 시스템 딜레이 등으로 사료된다.
3. 컴퓨터 해석 모델링
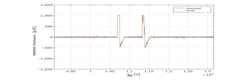
2017년 1월 8일 기준 풍력발전 출력 안정화에 필요한 ESS의 용량을 산정하기 위해 실제 데이터와 2.1절에서 언급한 조건으로 Matlab 프로그램을 이용하여 컴퓨터 해석하였다. Fig. 7은 ESS 출력에 대해 컴퓨터 해석 결과와 실증데이터를 비교한 파형으로 Fig. 8의 확대 파형과 같이 순간적인 출력 변화에도 컴퓨터 해석 결과와 실증 데이터가 유사한 것을 확인할 수 있다. Fig. 9는컴퓨터 해석 결과와 실증 데이터의 SOC를 나타낸다. 컴퓨터 해석 시에 ESS의 자가 방전과 출력 특성을 고려하였으므로 실증 데이터와 컴퓨터 해석이 상당히 유사한 것을 확인할 수 있다. Fig. 10은 풍력발전과 ESS의 합성 출력에 대한 컴퓨터 해석 결과와 실증 데이터의 비교 파형을 나타낸다. Fig. 10을 기준으로 컴퓨터 해석 결과와 실증데이터의 최대 오차는 14.92%, 평균 오차는 1.19%로 계산되었다.
4. 컴퓨터 해석 결과
3장의 컴퓨터 해석 모델을 기반으로 ESS의 필요 용량을 분석하기 위해 기존 컴퓨터 해석 모델과는 달리 PCS용량에 제한을 두지 않고 컴퓨터 해석하여 ESS 최대 출력의 절댓값을 계산하여 출력 안정화 제어에 필요한 PCS 용량을 확인하였다. 배터리 용량의 경우 계산을 용이하게 하기 위해 기존 500 kWh의 배터리 대신 1,000 kWh 배터리로 대체하였으며, 이때 초기 SOC와 SOC 목표값을 0.5로 설정하여 해석 후 SOC의 최댓값과 최솟값의 범위를 계산하여 용량을 산정하였다.
Fig. 11은 컴퓨터 해석 결과의 ESS 출력을 나타낸 것으로 약 03시 경 최대 1,769 kW를 기록 하였다. 이때 Fig. 12의 SOC는 약 36%부터 58%까지 변동하여 이를 용량으로 환산하면 226 kWh의 배터리 용량이 요구되는 것을 확인할 수 있다. Fig. 13은 컴퓨터 해석 결과의 분당 변동률을 나타낸다. 이때 ESS가 용량에 제한 없이 제어를 수행하였으므로 모든 분당 변동률이 10%이내로 개선된 것을 확인할 수 있다.
5. 결 론
본 논문에서는 “풍력발전기 출력안정용 에너지저장장치 시범구축사업”의 실증 결과를 기반으로 풍력발전기 출력 안정화에 필요한 ESS 용량을 산정하였다. 실측데이터를 기반으로 컴퓨터 해석을 수행하였으며, 이를 통해 계산된 2018년 1월 8일 기준 풍력발전기의 출력 안정화에 필요한 ESS의 PCS 용량은 1,769 kW, 배터리 용량은 226 kWh가 각각 필요할 것으로 사료된다. 본 논문의 용량 산정 결과, 단일 풍력발전기의 출력 안정화를 위해서는 풍력발전기 용량의 50% 이상의 PCS 용량이 필요할 것으로 판단된다. 배터리의 경우 충전과 방전을 반복하므로 큰 용량이 요구되진 않으나, 리튬이온 배터리의 정격 방전률을 고려할 때 PCS 용량에 비례하여 용량이 증가할 것으로 사료된다.

















