1. 서 론
2. 사우디아라비아 태양광 발전 시스템
2.1 사우디아라비아 태양광 발전 시스템 현황
2.2 모니터링 데이터 분석 절차
3. 사우디아라비아 태양광 발전 시스템
3.1 발전성능
3.2 모듈의 열화율
3.3 발전량 예측
4. 결 론
기호설명
PR : 발전성능(%)
G : 경사면 일사량(kW/m2)
Tm : 모듈온도(℃)
Ta : 외부온도(℃)
RD : 열화율(%)
1. 서 론
2015년 전세계 태양광 발전 시스템은 48.1 GW 설치되었고, 227 GW 누적설치로 예상된다. 국내현황은 2015년 1 GW 설치하여 세계 7위이고, 누적설치는 3.43 GW로 세계 11위에 해당된다1). 최근 5년간 중국과 일본의 설치량 급증에 의해서 세계 태양광 발전 시스템의 보급 및 확
산이 진행되었다. 그러나 설치 후 운영 및 발전성능 현황에 대한 관심은 부족한 실정이다. 보급 및 확산과 더불어 발전 성능과 운영, 유지보수 관련 분야에 대한 관심이 필요한 시기이다.
2015년 11월 사우디아라비아 제다 지역에 58 kW급 태양광 발전 시스템을 설치하였다(위도 21.56 N, 경도 39.17 E, 방위각 162도, 경사각 15도). 2010년 이후로 설치된 태양광 시스템에서는 일반적으로 80% 이상의 발전 성능을 보인다2). 발전성능을 저해하는 요인으로 높은 온도, 소일링 현상, 일시적인 음영 등 다양하다. 사우디아라비아 지역의 경우 2개월에 약 14% 이상 소일링에 의한 출력 손실이 발생하였다3). 이러한 소일링 손실을 분석하기 위해서 2015년은 자연적인 강우에 의한 청소를 제외하고는 발전시스템의 유지보수를 시행하지 않고, 2016년 이후로 2주마다 물청소를 시행하였다.
태양광 발전 시스템의 안정적인 발전 및 성능평가를 위해 다양한 연구자들이 발전성능 지표를 이용한다. 또한 추가적인 시스템의 성능을 평가하기 위한 발전량 예측의 연구를 진행 중이다4,5,6,7,8). 발전량 예측의 연구는 안정적인 전력 수급을 위해 예보(forecasting)의 개념으로 24시간 전의 기상 데이터를 이용하여 미래의 발전량을 예상하는 연구가 활발하고, 그 기법으로 빅데이터 처리 기법이 사용되기도 한다9,10,11,12,13,14,15, 16).
본 논문에서는 1년간의 시스템 발전 성능(Performance ratio:PR) 및 개별 모듈의 연간 열화율(Degradation rate)을 분석하고, 6가지 빅데이터 모델을 이용한 시스템의 발전량 예측을 시행하여 실측과 예측 결과를 비교 분석하였다. 또한 사우디아라비아 지역의 소일링에 대한 손실을 강우에 의한 자연적인 청소 전후의 출력 지표를 이용하여 비교하였다.
2. 사우디아라비아 태양광 발전 시스템
2.1 사우디아라비아 태양광 발전 시스템 현황
태양광 발전 시스템은 사우디아라비아 제다 지역의 주차장 타입으로 2015년 11월에 설치되었다. 총 3가지 타입의 모듈 223개로 각 타입별 3개의 시스템과 28개의 개별 모듈은 마이크로인버터로 연결되어 있다. 모듈 구성은 Table 1과 같다. 2015년 6월1일부터 2016년 5월 31일까지 1년간의 모니터링 데이터를 기반으로 분석을 시행하였다. 모니터링 데이터는 1분 단위로 모듈의 온도, 경사일사량, AC 및 DC 출력이 계측되었다.
2.2 모니터링 데이터 분석 절차
발전성능(Performance Ratio: PR)의 평가는 다음의 식을 이용하였다. 3개의 시스템의 경우 AC 전력량을 이용하였고, 마이크로인버터를 장착한 모듈의 경우 DC 전력량으로 발전성능을 평가하였다. 모듈의 열화율은 모듈의 표준상태 초기 출력값과 14개월간 설치된 5개의 개별 모듈을 수거하여 표준 조건에서 측정된 출력값을 비교하였다. 개별 모듈의 모니터링 데이터 결과를 이용한 회귀분석을 통해서 경사일사량과 모듈온도에 의한 발전량 예측식을 구하고, 1년 전후의 맑은 날 3일의 관찰 기간을 설정하고, 평균 일사량과 모듈온도를 대입하여 모듈의 열화율을 계산하였다.
발전량 예측 분석은 빅데이터를 이용한 6가지 모델의 비교하였다. 데이터 전처리는 1분 단위 데이터 중 200 W/m2 미만의 일사량인 경우는 제외하고, 실시간 PR값이 70%-120% 이내의 데이터를 이용하였다.
3. 사우디아라비아 태양광 발전 시스템
3.1 발전성능
발전성능은 태양광 발전 시스템 #1, #2, #3의 1분 단위로 모니터링 된 AC 발전전력량과 경사일사량, 시스템 설계용량을 이용하여 다음의 식으로 계산하였다. 설계용량은 시스템 #1 20.67 kW, 시스템 #2 16.575 kW, 시스템 #3 13.26 kW로 각각 A,B,C 타입 모듈을 이용해서 어레이를 구성하였다.

발전성능 수치는 개별 시스템의 일 발전성능의 평균값으로 연간 발전성능을 계산하였다. 연간 발전성능 지표는 2015년 6월1일부터 2016년 5월 31일까지의 1년 중 사우디 현지 단전 및 공사일을 제외한 266일의 결과이다. 2015년은 발전 시스템의 청소를 시행하지 않고, 2016년에는 2주마다 물청소를 시행하였다. 1년간 월단위 발전성능 결과는 Fig. 1과 같다.
1년간의 평균 발전성능은 시스템 단위로 각각 85.5%, 86.5%, 84.2%이다. 2015년은 청소를 시행하지 않고, 자연적인 강우에 의한 청소 효과가 8월 26일과 11월 17일에 발생하였다. 소일링에 의한 출력과 일사량의 손실이 그 기간 전후로 확인할 수 있다. 발전성능 데이터에 소일링에 의한 손실이 반영이 되어 있다. 사우디아라비아 지역은 1년간 수차례 강우에 의한 자연적인 청소가 되고, 2015년 8월 26일과 11월 17일에 강우로 인하여 PR이 회복되는 것을 알 수 있다. 소일링에 의한 모듈의 출력과 일사량의 출력 하락폭을 계산을 위해 1일 발전성능, 경사일사량 그리고 경사일사량과 시스템의 비로 환산한 AC 출력 추이를 비교하였다. Fig. 2의 경우 일사량 감소폭보다도 환산AC 발전량의 감소폭이 크기 때문에 발전성능의 저하가 점진적으로 발생하였다. 그 이유로는 반구형태의 일사량계에 쌓이는 먼지보다도 평면구조의 모듈에 먼지의 양이 많으므로, 일사량과 출력량의 계측 오차가 발생한다. 또한 높은 일교차에 의한 일사량계 내의 수분 생성으로 교정된 일사량계와 비교하였을 때 현지 모니터링되는 일사량계의 측정 일사량은 약 5.7% 낮게 관측되었다. 이로 인하여 전반적으로 발전성능의 값이 높게 분석되었다.
Table 2는 8월 26일 강우 이벤트 전후 3일간의 평균 데이터로, 비온 후 3일의 데이터를 실제 시스템의 청소 후로 가정한다면, 일사량은 73.1%만 측정되고, 발전량은 47.2%만 측정되었다. 온도에 의한 PR의 손실은 1.3도 차이고, 일사량과 발전량의 계측 차이로 인한 손실이 대부분 반영되었다. 정확한 발전성능 분석을 위해 모듈 및 일사량계의 주기적인 청소가 필요하다.
3.2 모듈의 열화율
모듈의 열화율은 표준상태에서 초기 측정된 출력값과 사우디아라비아 테스트베드에서 설치 후 14개월간 발전하고 수거된 모듈의 표준상태 출력값을 비교하여 다음의 식으로 계산하였다.

Table 3은 C타입 5개 모듈의 측정값으로 평균 연간 열화율은 0.26%이고, 일반적인 모듈의 25년 동안 20% 열화로 가정한 경우의 환산된 연간 열화율 0.8%에 비교하여 우수한 것으로 평가된다.
모듈의 연간열화율 측정을 위해 대표 모듈을 수거하여 표준상태에서 측정하는 번거로움을 제거하기 위해, 실측 마이크로인버터의 모니터링 데이터를 활용해서 연간열화율을 계산할 수 있는 방법을 고안하였다. 개별 모듈에서 측정된 DC 출력과 경사일사량과 모듈온도를 이용하여 회귀 분석을 시행하였다. 회귀 분석 방법은 소일링에 의한 효과를 제거하기 위해 청소 후 맑은 날 3일을 1년 간격으로 선정하고, 1분 단위의 DC 출력과 일사량 및 모듈온도를 이용하였으며 일사량을 700~800 W/m2의 데이터만 활용하여 다음의 식을 구하였다. 그리고 기간 동안의 평균 일사량 750 W/m2과 평균 모듈온도 46.0℃를 대푯값으로 대입하여 회귀식에서 예측하는 DC 출력을 구한 후 모듈의 열화율을 계산하였다. Table 4는 회귀분석 결과로 결정계수 R2의 값이 각각 0.93과 0.80이고, 2015년 196 W, 2016년 195.6 W로 예상되었으며 연간 열화율은 0.22%로 예상된다. Table 3의 표준상태 출력 측정 결과로 계산된 열화율 0.26%인 것과 비교하면 회귀 분석을 이용하여 구한 열화율 값과 유사한 결과를 보인다.
3.3 발전량 예측
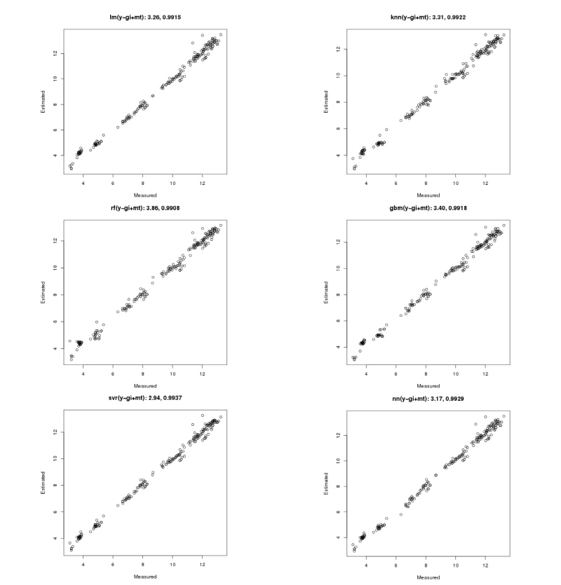
발전량 예측을 위해 다음의 6가지 빅데이터 모델 분석 기법을 사용하였다17).
-Linear regression model (lm) : 독립변수와 종속변수에 영향을 미치는지 알아보고자 할 때 실시하는 분석으로 모든 점으로부터 가장 적합한 선형 모델
-Random forest (rf) : 랜덤 포레스트는 다수의 결정 트리들을 무작위로 학습하는 방법이다. 동일한 하나의 데이터 집합에서 임의의 복원 샘플링을 통해 다수의 트레이닝 데이터를 만들어 반복된 학습을 통해 여러 개의 트리를 만들고 이를 결합해 최적적으로 목표변수를 예측
-Support vector regression (svr) : 선형 회귀분석과 달리 제일 큰 오차를 작게 하는 방법
-K-nearest neighbors (knn) : 데이터의 패턴을 인식하는 방법으로 같은 공간 내 k개의 가장 가까운 데이터들끼리 데이터를 훈련하여 주변에 있는 데이터에 가중치
-Gradient boosting machine (gbm) : 복원 샘플링을 통해 다수의 모델을 만들어 배깅한 후 평균 값을 사용하여 목표변수 예측
-Neural network (nn) : 시냅스의 결합으로 네트워크를 형성한 인공 뉴런(노드)이 학습을 통해 시냅스의 결합 세기를 변화시켜, 문제 해결 능력을 가지는 모델
발전성능 수치가 높은 시스템 #2의 1분단위 DC 발전량과 모듈 온도, 경사일사량의 데이터를 이용하였고, 먼지에 의한 예측 오차를 줄이기 위해서 청소를 시행한 2016년 1월부터 4월까지 데이터를 training 후 2016년 5월의 발전량을 예측하고, 실제 측정된 출력과 비교하였다. 모니터링 데이터의 전처리는 일사량 200 W/m2이고, 순간 PR이 70~120% 이내 1분 데이터를 추출하였다. 발전량 예측 오차율은 RMSE로 분석하였다.

시스템 #2의 DC 발전량 예측 분석 결과는 Fig. 3과 같다. 발전량 예측 분석 결과 오차율은 svr 모델이 2.94%로 가장 낮고, 그 외 모델들도 3.17~3.86%의 오차율로 발전량 예측이 분석되었다. 2016년 사우디아라비아의 기상 환경이 큰 변화가 없고, 주기적인 청소로 인하여 추출 된 데이터들의 변수인 일사량, 모듈온도와 출력간의 변동이 크지 않기 때문에 오차율이 낮게 분석되었다. 빅데이터 분석 기법의 장점은 초기 모듈의 특성값과 상관없이 실제 모니터링된 데이터를 기반으로 예측이 되어 외부환경 데이터에 적합한 분석이 가능하다. 또한 여러 가지 전처리 기법을 이용한다면, 발전량 예측 오차율을 줄일 수 있다. 다만, 일사량, 모듈온도, 출력 등 다양한 모니터링 데이터의 계측의 정확도가 중요하다.
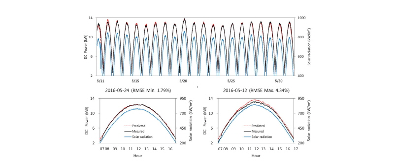
시스템2의 설계용량은 16.575 kW로 5월의 발전량 예측일은 5월 12일부터 31일까지 20일이다. 평균적인 1일 경사일사량은 5.64 Wh/m2, 평균 모듈 온도는 47.00도, 시스템의 1일 평균 출력은 89.83 kWh, 예측 출력은 90.35 kWh로 약 0.60% 정도 예측 출력이 높게 예상되었다(Table 5).
Fig. 4는 일별 측정 및 예측 출력을 비교한 결과로 5월 24일의 경우 RMSE는 1.79%로 최저값이고, 5월 12일의 경우 4.34%로 최대 오차율을 보였다. 일별 데이터에서도 하루 동안의 일사량은 안정적으로 측정된 것을 확인할 수 있다.
4. 결 론
사우디아라비아의 사막형 기후에 적합한 3가지 타입의 모듈을 제작하였고, 1년간의 현지 테스트베드 모니터링 데이터를 이용하여 발전성능, 모듈의 열화율, 발전량 예측 분석을 시행하였다. 발전성능은 3개의 시스템 평균 약 85% 달성하였고, 주기적인 청소에 의한 발전성능은 90%에 도달이 가능하나, 심각한 소일링 손실에 의해 청소를 시행하지 않은 기간의 발전성능은 60%까지도 저하가 되었다. 모듈의 연간 평균 열화율은 0.22%로 매우 우수한 결과를 보이고, 청소 시행 후 1년간의 맑은 날 3일의 대푯값을 이용한 회귀분석 결과에서도 약 0.26%의 열화율을 예상할 수 있다. 빅데이터를 이용한 발전량 예측은 svr 모델의 경우 2.94%의 오차율을 보였다. 1년간의 사우디 테스트베드 운영결과로 높은 일사량과 안정적인 날씨에 의해 발전량을 극대화가 가능하나, 심각한 소일링 손실이 발생할 수 있으므로, 효과적인 청소 방법에 대한 해결책을 마련해야 한다.











