1. 서 론
2. 태양광발전시스템 모듈온도 예측 및 예측모델의 정확도 분석 개요
2.1 태양광발전시스템 모듈온도 예측모델
2.2 분석 대상 태양광발전시스템 및 데이터
3. 모듈온도의 예측 결과 및 정확도 분석
3.1 모듈온도 예측모델의 정확도 비교 분석
3.2 기상조건에 따른 모듈온도 예측모델의 정확도 비교
(1) 일사량에 따른 모듈온도 예측의 정확도
(2) 외기온도에 따른 모듈온도 예측의 정확도
(3) 풍속에 따른 모듈온도 예측의 정확도
4. 결 론
기호설명
G : 일사량 (W/m2)
T : 온도 (℃)
V : 풍속 (m/s)
그리스 문자
α: 밀도 [kg/m3]
η : 효율 [%]
τ : 투과율 [%]
하첨자
a : Ambient air temperature
c : Cell
m : Module
NOCT : Nominal operation cell temperature
1. 서 론
최근 화석에너지 사용으로 인한 기후변화, 환경오염 등의 환경문제와 더불어 에너지 고갈 및 에너지 수급 불균형과 같은 에너지 문제가 심각해짐에 따라 신재생에너지시스템의 보급이 증가하고 있다. 그중 태양광발전시스템은 설치의 편의성과 타 시스템에 비해 비교적 자유로운 설치 환경 조건으로 인해 다양한 신재생에너지시스템 중 가장 많은 공급 비중을 차지하고 있다1).
태양의 빛에너지를 전기에너지로 변환하여 공급하는 태양광발전시스템의 성능은 일사량, 외기온도, 모듈온도, 풍속 등과 같은 기상 및 환경 조건의 변화에 영향을 받는 것으로 보고되고 있다. 특히, 태양광발전시스템의 모듈온도가 10℃ 상승할 때마다 시스템 성능이 약 4% 정도 감소하는 것으로 나타나, 모듈온도 상승이 시스템 성능에 많은 영향을 미치는 것으로 확인되었다2). 모듈온도 상승에 의한 시스템 성능의 저하는 태양광발전시스템의 용량 및 발전량 산정 과정뿐만 아니라 시스템의 정확한 성능평가를 위해 고려되어야 하며, 이에 다수의 연구자들이 기상환경을 기반으로 태양광발전시스템의 모듈온도를 예측할 수 있는 수식모델을 제안하였다. 대표적으로, Rauschenbach는 외기온도, 일사량, 효율, 반사율 및 흡수율 등의 변수들을 고려하여 모듈온도에 대한 예측모델을 제시하였으며3), King et al는 태양광발전시스템의 실증 데이터를 기반으로 외기온도, 일사량, 풍속 등의 변수들을 반영하여 모듈온도 예측모델을 제시하였다4). Duffie and Beckman 또한 외기온도, 일사량, 풍속, 온도, 효율 등의 변수들을 바탕으로 태양광발전시스템의 모듈온도에 관한 예측모델을 제안하였다5). 그러나 전술한 선행연구에서의 태양광발전시스템 모듈온도 예측모델들은 해당 연구대상 지역의 기상 조건을 기반으로 제안되었다. 이에 국내의 상이한 기상 조건에서 상기 예측모델을 이용한 모듈온도 예측의 정확성 및 타당성을 평가하는 연구가 필요하다.
이에 본 연구에서는 국내 인천지역에 설치, 운영 중인 6kW 태양광발전시스템을 대상으로, 관련 연구 분야에서 대표적으로 널리 이용되고 있는 6가지 예측모델을 이용하여 하절기 태양광발전시스템 모듈온도를 예측하고 실제 측정된 모듈온도와 비교하여, 예측모델의 정확성을 평가하였다. 또한 일사량 및 외기온도, 풍속 등 기상조건의 변화에 따른 6개 모듈온도 예측모델별 정확도를 비교 분석하였다.
2. 태양광발전시스템 모듈온도 예측 및 예측모델의 정확도 분석 개요
2.1 태양광발전시스템 모듈온도 예측모델
태양광발전시스템은 일사량, 외기온도, 풍속 등의 기상 조건에 의해 영향을 받는 시스템이며, 특히 상기 기상 조건에 따른 태양광발전시스템 모듈온도의 변화가 시스템의 성능에 많은 영향을 미치는 것으로 보고되고 있다. Radziemska의 연구에서는 태양광발전시스템의 모듈온도가 1℃ 상승할 때마다 전력 생산량은 약 0.65% 감소하며, 모듈의 변환 효율은 약 0.08% 감소하는 것으로 확인되었다6). 또한 Dubey et al.의 연구에서는 냉각 효과가 없는 태양광발전시스템의 모듈효율이 약 9.75%로 나타났으며 냉각효과가 있는 모듈의 효율은 약 10.41%인 것으로 나타나, 태양광발전시스템의 모듈온도에 따라 발전 효율이 차이나는 것으로 나타났다7). 이러한 모듈온도의 영향을 파악하기 위하여 Rauschenbach와 King et al., Duffie and Beckman 등은 태양광발전시스템 모듈온도에 관한 예측모델을 제시하였다.
Rauschenbach와 Duffie and Beckman은 태양광발전시스템 모듈의 열적 물리특성 및 재료 특성에 관한 계수를 일사량, 외기온도, 풍속 등의 환경 변수와 함께 반영하여 예측 수식을 제안하였다. 또한, King et al.은 Sandia 지역에서 태양광발전시스템의 실증 실험을 통하여 일사량, 외기온도, 풍속 등이 모듈온도에 미치는 영향을 정량적으로 분석하였으며 이를 토대로 태양광발전시스템의 모듈온도 예측모델을 도출하였다. 연구자들이 제시한 예측 수식 모델은 변수의 종류가 조금씩 다르며, 변수의 계수도 차이를 보이기 때문에, 똑같은 변수 데이터를 활용하여 예측하더라도 예측 결과에 대한 정확도가 다를 수 있다. 따라서 본 연구에서는 Rauschenbach와 King et al., Duffie and Beckman 등이 제시한 일사량, 외기온도, 풍속 등의 기상 변수가 고려된 예측모델 6개에 대해, 우리나라 인천지역에서 측정한 태양광발전시스템 실증 실험 데이터를 활용하여 모듈온도 예측 정확도를 분석하였다. 정확도 분석에 사용된 태양광발전시스템의 모듈온도에 관한 예측모델은 식(1)∼(6)과 같다.
Model 1은 Duffie JA, Beckman WA(2006)에서 제안하였다5).
(1)
Model 2는 Duffie and Bechman (2006)의 연구에서 제안 하였다5).
(2)
Model 3은 Rauschenbach (1980)의 연구에서 제안하였다3).
(3)
Model 4는 King(1996)의 연구에서 제안하였다8).
(4)
Model 5는 King et al. (1998)의 연구에서 제안하였다4).
(5)
Model 6은 King et al. (2004)의 연구에서 제안하였다9).
(6)
2.2 분석 대상 태양광발전시스템 및 데이터
분석 대상 태양광발전시스템은 인천광역시 연수구 I대학교에 위치한 소규모 건축물 옥상에 위치하고 있으며, 3 kW씩 2회로로 구성된 6 kW급 계통연계형 시스템으로 Fig. 1과 같이 설치되었다. 본 연구에서는 3 kW인 1회로에 대해서 태양광발전시스템의 모듈온도에 대한 예측 및 정확도 분석을 실시하였으며, 구체적인 시스템 제원은 Table 1과 같다. 한편, 태양광발전시스템의 전압, 전류, 발전량, 효율 등의 전력 상태 정보는 모니터링 시스템을 통하여 1분 간격으로 측정 및 수집되었으며, 같은 기간 동안 일사량, 외기온도, 풍속 등의 기상정보를 기상스테이션(Vantage pro-2)을 통해 1분 간격으로 측정 및 수집하였다. 아울러 본 연구에서는 전력상태 정보 및 기상 데이터의 이상값 처리를 위하여 1분 간격의 데이터를 10분 간격으로 변환한 후 분석을 실시하였다. 수집된 데이터 중 약 9일간의 결측 데이터를 제외한 2013년 7∼8월의 8,105개 전력 상태 및 기상데이터를 활용하여 하절기 모듈온도를 예측하였다.
3. 모듈온도의 예측 결과 및 정확도 분석
3.1 모듈온도 예측모델의 정확도 비교 분석
실험 대상 지역의 기상 데이터를 활용하여 태양광발전시스템의 모듈온도를 예측하고 예측된 결과를 바탕으로 예측모델의 정확도를 평가하기 위해, 예측된 모듈온도와 실제 측정된 모듈온도를 비교 및 분석하였다. 태양광발전시스템 모듈온도의 측정은 모듈 후면에 열전대를 설치하고 데이터로거를 통해 1분 간격으로, 기상 및 전력 데이터와 같은 기간(2013년 7∼8월) 동안 실시하였다. 또한, 모듈온도 예측의 정확도는 예측 값과 실제 값의 차이를 확인하여 예측 값에 대한 검증을 할 때 많이 사용되는 평균제곱근오차(Root Mean Square Error; RMSE), 평균절대편차(Mean Absolute Deviation; MAD), 평균절대백분비오차(Mean Absolute Percentage Error; MAPE)를 이용하여 분석하였다. 여기서, RMSE와 MAD는 두 자료의 절대적인 차이, 오차의 양을 나타낼 때 사용하는 측도이고 MAPE는 두 자료에 대한 오차를 백분율로 나타낸 측도이다. RMSE, MAD, MAPE에 대한 수식은 다음의 (7)∼(9)과 같다.
(7)
(8)
(9)
여기서
는 실제 측정된 값을 나타내며,
는 예측된 값을 나타낸다.
Table 2는 하절기 약 2개월의 기상데이터를 기반으로 태양광발전시스템 모듈온도를 예측하고 예측모델에 따른 정확도 분석결과를 정리하여 나타낸 것이다. 먼저, 6개 예측모델의 태양광발전시스템 모듈온도의 평균 예측 오차를 살펴보면, RMSE 3.24℃, MAD 1.99℃, MAPE 5.48%로 분석되어 선행연구의 6개 예측모델이 전반적으로 국내 인천지역 하절기 모듈온도를 비교적 우수하게 예측하는 것을 확인할 수 있다.
예측모델별 모듈온도 예측의 정확도를 살펴보면, Model 4가 가장 높은 예측 정확도를 나타내었으며, 다음으로 Model 3, Model 6, Model 5, Model 2, Model 1 순으로 우수한 예측결과를 보였다. 또한 예측 정확도가 가장 높은 Model 4의 RMSE, MAD, MAPE는 각각 2.29℃, 1.51℃, 4.46%를 나타낸 반면 예측 정확도가 가장 낮은 Model 1의 RMSE, MAD, MAPE는 각각 4.15℃, 2.46℃, 6.49%로 나타나, 예측모델별 모듈온도 예측 정확도가 상이한 것으로 분석되었다.
아울러 본 연구에서는 예측 오차율의 분포를 모듈온도 예측모델별로 검토하기 위해 오차율을 5% 구간씩 나누어 해당하는 오차율의 데이터 빈도와 비율을 분석하였다. 모듈온도 예측에 대한 오차율은 식(10)을 이용하여 분석하였다.
(10)
여기서
는 실제 측정된 값을 나타내며,
는 예측된 값을 나타낸다.
Fig. 2는 예측모델별 모듈온도의 예측 오차율 분포를 나타낸다. 6개 예측모델의 평균 오차율 분포를 살펴보면, 전체 데이터 중 평균 약 82%의 데이터가 오차율 10% 미만으로 예측되어 6개 예측모델 모두 예측 정확도가 비교적 높은 것으로 판단된다. 예측모델별로 오차율 분포를 살펴보면, Model 4의 경우 하절기 전체 데이터 중 약 89.5%의 데이터가 오차율 10% 미만으로 예측되었으며 오차율이 25%이상으로 예측된 데이터는 전체 데이터의 약 0.09% 비율을 차지하여 6개 예측모델 중 가장 높은 정확도를 보이는 것으로 분석되었다. 반면, Model 1의 경우, 오차율이 10% 미만으로 예측된 데이터는 전체 데이터의 약 75.9%이고 오차율이 25% 이상으로 예측된 데이터는 약 1.31%로 가장 낮은 정확도를 나타내었다. 따라서 5% 단위의 오차율 분포로 예측모델의 정확도를 분석한 결과, 예측모델별 모듈온도 예측의 정확성이 상이한 것으로 확인되었다.
3.2 기상조건에 따른 모듈온도 예측모델의 정확도 비교
태양발전시스템의 모듈온도는 일사량, 외기온도, 풍속 등 기상변수를 기반으로 예측되며, 이에, 이러한 기상조건의 변화에 따라 모듈온도 예측의 정확도가 달라질 것으로 사료된다. 따라서 본 연구에서는 상이한 기상조건(맑음, 흐림, 우천)을 보인 연속된 3일을 대표 구간으로 설정하고 기상조건에 따른 예측모델별 모듈온도 예측결과를 분석하였으며 그 결과는 Fig. 3과 같다.
맑음, 흐림, 우천에 해당하는 기상조건은 기상청에서 제공하는 인천지역의 날씨정보인 일조시간, 일평균 운량 등에 따라 선정하였으며 대표일인 2013년 8월 21일, 22일, 23일의 일평균 운량은 각각 2.4, 5.1, 8.5로 나타났고, 일조시간은 각각 12.2, 9.6, 1.3 시간으로 나타나 각각 맑음, 흐림, 우천의 날씨 상태를 보였다.
Fig. 3에서 확인할 수 있듯이, 모듈온도 예측에 대한 6개 예측모델의 평균 오차율은 맑은 날에 약 8.46%, 흐린 날에 약 6.47%, 우천 일에 약 5.19%로 나타나 기상조건 변화에 따른 모듈온도 예측의 정확도가 달라짐을 확인할 수 있다. 이에 따라, 대표적 기상요소인 일사량, 외기온도, 풍속의 변화에 따른 모듈온도 예측모델의 예측 정확도를 추가 분석하였다.
(1) 일사량에 따른 모듈온도 예측의 정확도
일사량 변화에 따른 태양광발전시스템 모듈온도의 예측 정확도를 확인하기 위해 일사량을 200 W/㎡씩 5개의 구간으로 나누었으며, 일사량이 0 W/㎡인 야간 데이터는 독립적인 구간으로 구분하여 RMSE, MAD 분석을 실시하였다. 분석 결과를 나타낸 Fig. 4에서 확인할 수 있듯이, 6개 모듈온도 예측모델 모두 야간을 제외하고 일사량이 증가함에 따라 RMSE와 MAD가 증가하여 일사량 변화에 따라 모듈온도 예측의 정확도가 낮아지는 것으로 나타났다. 이에, 일사량이 낮은 0∼200 W/㎡ 구간과 높은 800∼1,000 W/㎡ 구간에서의 RMSE와 MAD 차이를 통해 일사량의 변화가 예측모델의 정확도에 미치는 영향을 검토하였다. 그 결과, 낮은 일사량 구간 대비 높은 일사량 구간의 RMSE와 MAD는 모델별로 Model 1는 RMSE 614.35%, MAD 345.38% 증가, Model 2는 RMSE 604.53%, MAD 342.30% 증가, Model 3는 RMSE 346.34%, MAD 236.75% 증가, Model 4는 RMSE 291.58%, MAD 209.69% 증가, Model 5는 RMSE 480.11%, MAD 300.98% 증가, Model 6은 RMSE 469.64%, MAD 298.25% 증가한 것으로 확인되었다.
아울러, 일사량 변화가 예측 정확도에 가장 적은 영향을 미치는 예측모델인 Model 4와 가장 큰 영향을 미치는 예측모델인 Model 1의 일사구간별 예측 정확도의 차이를 살펴보면, 0∼200 W/㎡의 낮은 일사량일 때 두 모델의 예측오차는 RMSE와 MAD가 각각 약 1.2배, 1.6배 차이에 불과했지만, 800∼1,000 W㎡의 높은 일사량에서 두 모델의 오차는 RMSE와 MAD가 각각 약 2.2배, 2.4배 차이로 확인되었다. 이에 전술한 분석을 통해서, 일사량이 증가함에 따라 각 예측모델의 예측 정확도가 감소할 뿐만 아니라 예측모델 간 정확도의 차이도 증가하는 것이 확인되었다.
일사량에 따른 모듈온도 예측 정확도의 변화를 상대적으로 비교하기 위해 식(10)을 활용하여 각 예측모델별로 오차율을 분석하였으며 Fig. 5와 같이 나타났다. RMSE와 MAD를 이용한 일사량 변화에 따른 모듈온도 예측 정확도 영향에 대한 상기 분석 결과와 마찬가지로, 일사량이 증가함에 따라 오차율이 커지는 것으로 확인되었다. 6개 예측모델의 평균 오차율을 살펴보면, 일사량이 낮은 0∼200 W/㎡일 때 오차율이 3.55%로 낮게 분석되었으며, 일사량이 증가함에 따라 각 구간별 오차율이 8.64%, 10.75%, 11.66%, 13.80%로 점차 증가하는 경향을 나타내었다.
6개 예측모델 중에서도 특히 Model 1의 예측 결과를 살펴보면, 일사량이 낮은 0∼200 W/㎡에서의 오차율은 3.88%로 낮게 분석되었지만 일사량이 높은 800∼1,000 W/㎡에서의 오차율이 19.20%로 약 5.0배 증가한 것으로 나타나 일사량에 따른 모듈온도 예측에 대한 오차율 증가폭이 가장 큰 것으로 확인되었다. 반면, Model 4는 일사량이 낮은 0∼200 W/㎡ 일 때 오차율은 3.19%이며 일사량이 높은 800∼1,000 W/㎡일 때 오차율이 8.13%로 나타나, 일사량이 커짐에 따라 오차율이 약 2.5배 증가하여 6개 예측모델 중 오차율 증가폭이 가장 작은 것으로 나타났다.
한편, 6개의 예측모델은 모두 외기온도와 일사량의 관계인
의 수식 형태로 구성되어 있기 때문에 일사량이 0 W/m2일 때에는 외기온도가 모듈온도로써 예측된다. 이에 따라 일사량이 0 W/m2인 야간일 때, 6개 예측모델의 오차율은 모두 24.65%로 동일하게 나타난다. 또한 Fig. 5에서 확인할 수 있듯이 일사량이 0 W/m2인 야간일 때의 오차율은 주간일 때의 오차율보다 큰 것으로 확인되었다. 이는 일사량이 0 W/m2일 때, 전술한 수식 형태에 의해 외기온도를 제외한 일사량, 풍속, 흡수율, 반사율 등의 변수 조건이 예측에 반영되지 못했기 때문으로 판단된다.
| ||
Fig. 5 The accuracy of prediction models according to the insolation variation (maximum, minimum, mean, 95% confidence, 75th percentile, 25th percentile) | ||
(2) 외기온도에 따른 모듈온도 예측의 정확도
일사량과 마찬가지로, 외기온도 변화에 따른 태양광발전시스템 모듈온도의 예측 정확도를 확인하기 위해 외기온도를 3℃ 차이의 5개 구간으로 구분하여 각 외기온도별 RMSE, MAD 분석을 실시하였다. Fig. 6은 분석결과를 나타낸 것으로, 외기온도가 높아짐에 따라 6개 예측모델의 모듈온도 예측에 대한 RMSE, MAD가 증가하여 정확도가 감소하는 경향을 나타내었다. 구체적으로 살펴보면, 외기온도가 낮은 19∼22℃ 구간에서 6개 예측모델의 평균 RMSE, MAD는 각각 1.58℃, 1.29℃인 반면 외기온도가 높은 31∼34℃일 때 RMSE와 MAD는 각각 6.36℃, 5.82℃로 산출되어 외기온도 증가에 따른 예측 정확도의 저하 현상이 확인되었다.
아울러 외기온도가 가장 낮은 구간에서 가장 높은 구간까지 약 12℃ 증가함에 따라 6개 예측모델의 예측 정확도 저하의 정도를 순서대로 살펴보면, Model 1의 RMSE와 MAD는 428.40%, 491.62% 증가, Model 2의 422.23%, 482.58% 증가, Model 5의 RMSE와 MAD는 299.13%, 349.73% 증가, Model 6의 RMSE와 MAD는 285.07%, 338.78% 증가, Model 3의 RMSE와 MAD는 202.49%, 234.65% 증가, Model 4의 RMSE와 MAD는169.99%, 194.31% 증가하여 정확도가 감소한 것으로 나타났다.
Fig. 7은 외기온도 구간에 따른 측정된 모듈온도와 6개 수치모델에 의한 예측된 모듈온도 사이의 오차율을 나타낸다. 먼저 6개 예측모델의 평균 오차율을 살펴보면, 외기온도가 낮은 19∼22℃일 때 예측 오차율은 약 5.99%로 나타났으며, 외기온도가 높아짐에 따라 오차율도 증가하는 경향을 보여 각 구간별로 각각 4.02%, 5.45%, 9.37%, 11.37%의 오차율을 나타내었다.
| ||
Fig. 7 The accuracy of prediction models according to out temperature (maximum, minimum, mean, 95% confidence, 75th percentile, 25th percentile) | ||
예측모델별로 살펴보면, 외기온도가 가장 낮은 구간에서 가장 높은 구간까지 약 12℃ 증가함에 따라 Model 1은 오차율이 약 6.13%에서 15.25%로 2.5배 증가하여 예측 정확도의 저하가 가장 크게 나타났다. 반면 Model 4는 오차율이 5.88%에서 7.26%로 약 1.23배 증가하여 외기온도 증가에 따른 정확도의 저하가 가장 낮은 것으로 분석되었다. 아울러, 모듈온도 예측 오차율이 가장 큰 Model 1과 가장 작은 Model 4의 오차율 차이는 외기온도가 낮은 19℃∼22℃인 구간에서 0.26%에 불과하지만 외기온도가 높은 31℃∼34℃인 구간에서는 약 7.99%로 크게 증가하는 것으로 나타났다. 이를 통해 외기온도 증가에 따른 예측모델의 예측 정확도와 예측모델 사이의 정확도 차이는 일사량의 증가에 의한 그 변화 양상과 유사하게 모두 증가하는 것으로 나타났다.
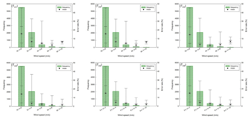
(3) 풍속에 따른 모듈온도 예측의 정확도
Fig. 8은 2 m/s씩 5개 구간으로 구분한 풍속구간별 모듈온도 예측모델의 정확도 분석 결과를 나타낸다. 6개 예측모델의 평균 RMSE와 MAD는 풍속이 낮은 0∼2 m/s 구간에서 각각 4.73℃, 3.84℃이며, 풍속이 높은 8∼10 m/s 구간에서 각각 1.30℃, 1.18℃인 것으로 나타나, 풍속이 증가함에 따라 모듈온도 예측의 정확도는 전반적으로 높아지는 경향을 보였다. 한편 풍속이 높은 8∼10 m/s 구간의 경우 일부 예측모델의 RMSE와 MAD가 증가하여 예측 오차가 다소 증가하는 것으로 나타났지만, 해당 풍속 구간의 데이터 표본이 전체 데이터의 약 0.17%로 작기 때문에 예측 오차의 분석은 다소 불명확한 것으로 판단된다.
풍속이 낮은 0∼2 m/s 구간에서 높은 8∼10 m/s 구간까지 풍속의 증가에 따른 모듈온도 예측 정확도의 변화를 RMSE와 MAD를 통해 살펴보면, 낮은 풍속구간 대비 높은 풍속구간의 RMSE와 MAD는 Model 1에서 64.08%, 56.00% 감소, Model 2에서 64.06%, 56.04% 감소, Model 3에서 55.48%, 47.60% 감소, Model 4에서 83.51%, 87.19% 감소, Model 5에서 84.41%, 84.58% 감소, Model 6에서 85.36%, 86.30% 감소하는 것으로 나타났다. 이러한 풍속 증가에 따른 모듈온도 예측 정확도의 증가는 일사량 및 외기온도 증가에 따른 예측 정확도의 감소와 다른 양상을 나타냄을 알 수 있다. 그리고 이를 통해 일사량 및 외기온도의 영향이 작고 풍속이 큰 기상환경 조건에서 모듈온도가 상대적으로 낮게 유지되며, 이때 선행연구 수치모델을 통한 모듈온도 예측의 정확도가 증가함을 확인할 수 있다.
Fig. 9는 식(10)을 이용한 풍속 구간별 모듈온도 측정값과 예측값의 오차율 및 해당 데이터의 분포를 나타낸다. 6개 예측모델의 풍속에 따른 평균 오차율은 0∼2 m/s일 때 약 15.06%로 비교적 크게 나타났지만 풍속이 증가함에 따라 2∼4 m/s에서 4.71%, 4∼6 m/s에서 3.49%, 6∼8 m/s에서 2.38%로 감소하여 예측 정확도가 증가하는 것으로 분석되었다. 다만 풍속이 가장 높은 8∼10 m/s 구간에서 6개 예측모델의 평균 오차율이 약 4.19%로 분석되어 6∼8 m/s 구간에서의 오차율보다 다소 증가하였다. 이는 앞서 언급한 바와 같이 해당 풍속 구간의 데이터 표본수가 부족하기 때문으로 판단됨에 따라 향후 장기간의 많은 데이터 표본을 이용하여 추가 분석을 수행해야 할 것으로 사료된다.
한편, Fig. 5와 Fig. 7에서 일사량 및 외기온도에 따른 예측모델 사이의 오차율 차이는 해당 기상조건이 증가함에 따라 점차 커지는 변화양상을 나타내었다. 그러나 Fig. 9에서 확인할 수 있듯이 풍속의 증가에 따른 예측모델 사이의 오차율 차이는 특정한 변화양상을 나타내지 않는 것으로 분석되었다. 아울러 일사량 및 외기온도에 따른 정확도 분석에서는 해당 기상조건이 증가함에 따라 6가지 예측모델에 대한 정확도 순위가 유지되었지만, 풍속의 증가에 따른 예측모델들의 정확도 순위는 구간별로 상이하며 예측모델들 사이의 정확도 차이도 일정한 변화양상을 나타내지 않는 것으로 분석되었다. 즉, 풍속이 상대적으로 낮은 0∼6 m/s 구간에서는 Model 3과 Model 4가 높은 정확도를 나타낸 반면, 풍속이 큰 6∼10 m/s 구간에서는 Model 4, Model 5, Model 6이 비교적 높은 정확도를 나타내어 풍속구간별로 정확도가 높은 예측모델이 다른 것으로 확인되었다.
특히, Model 3은 풍속이 낮은 0∼6 m/s일 때, 예측 오차율이 풍속구간별로 각각 14.75%, 3.24%, 2.55%로 나타나 다른 예측모델에 비해 비교적 정확도가 높은 것으로 확인되었다. 하지만 풍속이 높은 6∼10 m/s일 때, 풍속구간별로 오차율이 각각 3.19%, 6.80%로 확인되어, 6개 예측모델 중 정확도가 가장 낮은 것으로 나타나 Model 3의 정확도가 다른 예측모델에 비해 풍속에 따라 상이한 결과를 보였다. 이는 Model 3의 예측수식에서 풍속에 대한 변수 및 계수가 고려되지 않았기 때문으로 사료되며, 이에 따라 모듈온도 예측 시 모듈온도에 영향을 미치는 기상조건을 반영하면 보다 정확한 모듈온도 예측이 가능할 것으로 보인다.
4. 결 론
본 논문에서는 태양광발전시스템 모듈온도의 여러 예측모델에 대한 정확도를 평가하기 위해, 7∼8월 하절기 기상 데이터를 활용하여 모듈온도를 예측하였다. 또한, 모듈온도에 영향을 미치는 환경변수인 일사량, 외기온도, 풍속에 따른 예측모델의 정확도를 RMSE, MAD, MAPE 등을 통하여 확인하였으며 그 결과는 다음과 같다.
(1) 7∼8월 하절기에 대한 태양광발전시스템의 모듈온도 예측결과, 6개 예측모델의 평균 RMSE, MAD, MAPE는 각각 3.24℃, 1.99℃, 5.48%로 나타나 높은 정확도를 보였다. 특히, Model 4의 RMSE, MAD, MAPE는 각각 2.29℃, 1.51℃, 4.46%로 분석되었으며 6개 예측모델 중 정확도가 가장 높게 분석되어 분석 대상 지역의 기상 및 환경 현황에 적합한 예측모델이라 사료된다.
(2) 일사량에 따라 예측모델별로 모듈온도를 예측한 결과, 6개 모듈온도 예측모델의 평균 RMSE, MAD, MAPE는 일사량이 낮은 0∼200 W/m2 일 때 각각 1.46℃, 2.00℃, 3.55%로 비교적 낮게 나타났으나, 일사량이 높을 800∼1,000 Wm2일 때 각각 8.43℃, 7.95℃, 13.8%로 나타나 일사량이 증가할수록 예측모델의 정확도는 감소하는 것으로 나타났다. 한편, 일사가 없는 야간일 때에는 외기온도가 모듈온도로써 예측되어 6개 예측모델의 오차율은 모두 24.65%로 비교적 높게 나타났다.
(3) 외기온도에 따라 예측모델별로 모듈온도를 예측한 결과, 6개 모듈온도 예측모델의 평균 RMSE, MAD, MAPE는 19℃∼22℃인 조건에서 1.58℃, 1.29℃, 5.99%로 낮게 나타났지만 외기온도가 증가함에 따라 오차가 증가하여 31℃∼34℃일 각각 6.36℃, 5.82℃, 11.37%인 것으로 분석되어 외기온도가 증가함에 따라 예측모델의 정확도가 감소하는 것으로 확인되었다. 특히, Model 1은 외기온도가 증가함에 따라 정확도가 가장 크게 감소하여, 예측모델의 정확도가 외기온도에 의해 많은 영향을 받는 것으로 나타났다.
(4) 풍속에 따라 예측모델별로 모듈온도를 예측한 결과, 6개 모듈온도 예측모델의 평균 RMSE, MAD, MAPE는 풍속이 약한 0∼2 m/s일 때 각각 4.73℃, 3.84℃, 15.06%로 비교적 높게 나타났지만, 풍속이 증가함에 따라 오차율이 감소하여 6∼8 m/s일 때에는 각각 1.30℃, 1.18℃, 2.38%로 분석되었다. 예측모델 별로는, 풍속이 비교적 낮은 0∼6 m/s일 때에는 Model 3과 Model 4가 다른 예측모델에 비해 높은 정확도를 보였으며 풍속이 큰 6∼10 m/s일 때에는 Model 4, Model 5, Model 6이 높은 정확도를 보여 풍속 조건에 따라 예측모델의 정확도가 상이한 것으로 나타났다.
(5) 국내 인천지역에서 측정된 일사량, 외기온도, 풍속 데이터를 선행연구의 예측모델에 이용하여 모듈온도를 예측한 결과, Model 4의 정확도가 가장 높은 것으로 확인되었다. 특히 일사량, 외기온도, 풍속의 각 구간별로 다소간의 정확도 차이는 나타나지만 모든 구간에서 Model 4의 오차율이 10% 미만인 것으로 나타나 6가지 모듈온도 예측 모델 중 국내 기상환경에 가장 적합한 모델인 것으로 분석되었다.
향후 연구에서는 하절기 및 동절기를 포함한 장기간의 분석을 통해 보다 다양한 기상 및 환경 조건에서의 모듈온도 예측모델에 대한 예측 정확도 분석을 실시할 계획이다. 아울러 태양광발전시스템의 모듈온도 외에 발전 성능을 나타내는 효율과 발전량을 대상으로 기상 및 환경조건에 따른 예측과 예측에 대한 정확도 분석 연구를 수행할 예정이다.













