1. 서 론
2. 실험방법
2.1 고분자 태양전지에 사용된 물질
2.2 고분자 태양전지 소자 제작
2.3 고분자 태양전지 소자 및 박막 평가
3. 결과 및 고찰
3.1 고온 열처리 ZnO의 문제점 및 나노입자법 ZnO의 성능
3.2 저온 열처리 졸젤법 ZnO의 소자 적용
4. 결 론
1. 서 론
실리콘 기반의 태양전지는 높은 효율의 장점을 가지고 있으며1), 현재 상용화 되어 널리 사용되어 지고 있다. 그동안 실리콘 기반의 태양전지는 높은 생산비용이 단점으로 여겨졌으나, 최근에는 제조 단가가 많이 낮아지고 있고 이를 기반으로 가정용 태양광 패널의 보급이 확산되고 있다2). 하지만 실리콘 태양전지는 패널의 형태가 두껍고 딱딱하여 적용 분야가 한정적이고, 부피가 크기 때문에 설치 공간이 커야 한다는 단점을 가지고 있다. 이러한 단점을 해결하기 위해서는 실리콘 태양전지의 상용화와 함께 새로운 형태의 태양전지가 공존해야 할 것이며, 그 대안으로 유기물 기반의 태양전지가 떠오르고 있다. 유기물 태양전지의 장점은 저온에서 공정이 가능하고(150℃ 이하)3), 용액형태로써 스핀코팅, 잉크젯 프린팅4,5) 등 간단한 용액 공정에 적용할 수 있으며, 유연 또는 모직 등의 기판에도 형성할 수 있기 때문에 유연 태양전지, 섬유 부착형 태양전지 등 다양한 응용 분야로 적용할 수 있다6). 또한 투과성이 높은 재료들을 이용해 태양전지를 만들게 될 경우 건물의 창문에 태양전지 모듈을 설치해 BIPV (Building Integrated Photovoltaic System) 실현이 가능하다7). 이처럼 유기물 태양전지는 많은 장점을 가지고 있지만, 효율, 수명 등의 문제도 함께 가지고 있다. 많은 연구 그룹에서는, 유기물 태양전지의 효율을 향상시키기 위해서 새로운 유기물 합성 연구8,9,10), 구조 디자인 연구 등을 수행하고 있으며11), 시간이 지날수록 점점 향상되고 있고, 최근에는 17.5%의 효율이 보고되었다12). 본 연구에서는 유기물 태양전지의 효율을 향상시키기 위한 방법으로 역구조 유기물 태양전지의 전자추출층에 초점을 맞추었으며, 특히 범용적으로 쓰이는 다양한 산화아연(Zinc Oxide, ZnO)을 적용하여 소자 성능에 미치는 영향에 대해 연구하였다. ZnO의 장점은 3.4 eV의 매우 큰 밴드갭을 가지고 있어서 가시광선의 빛을 투과해 고 투명도를 확보할 수 있어 하부 전극을 지나 광 흡수층으로 가는 빛의 흡수를 최소화 할 수 있다13). 또한 열에 강해 변형이 적고 Al, Ga, In 같은 금속 물질을 도핑할 경우 전도성이 크게 향상되어 전자 추출의 특성을 더욱 향상시킬 수 있으며14), HOMO level도 약 7.8 eV 정도로 매우 깊어 역 바이어스 전압에서 정공의 이동을 막는 Barrier 역할로도 수행할 수 있기 때문에 누설 전류(leakage current)의 발생도 막을 수 있다15). ZnO를 합성하는 방법에는 졸젤(sol-gel)법, solvothermal process, impregnation 등 주로 습식 화학적 방법이 많이 이용된다16,17,18). 그 이유는 용액형 공정으로써 저렴한 가격으로 대량생산이 가능하기 때문이다. 하지만 격자 결함이나 결정구조 내에 불순물이 존재한다는 단점이 있으며, 이는 ZnO의 물리적, 광학적 성질을 변화시키는 요인이 될 수 있다19). 본 연구에서는 ZnO를 역구조 유기물 태양전지의 전자추출층으로 적용하여, ZnO에 따른 소자 성능의 상관관계를 연구하였으며, 적용한 ZnO박막은 나노입자(nanoparticle, NP)법과 졸젤법을 통해서 형성하였다. 현재까지의 연구에서 ZnO의 나노입자법과 졸젤법의 성능을 비교했을 때 나노입자법 ZnO를 사용한 태양전지가 더 높은 효율을 나타내고 있다20,21). 본 연구의 목적은 간단하게 합성할 수 있는 졸젤법 ZnO로 나노입자법보다 더 높은 효율을 내는 것이다. 따라서 ZnO 졸젤법 기반의 유기태양전지 성능과 ZnO 나노입자 기반의 유기 태양전지 성능을 비교 연구 하였다. ZnO 나노입자는 용액상에서 완성된 나노크기의 입자를 분산시켜 박막을 형성하는 방법으로22) Butanol과 IPA를 용매로 사용하여 용매의 차이에 대한 소자의 특성을 분석하였다. 졸젤법은 알콕시드 등을 가수분해하여 얻어지는 졸에서 젤을 거쳐 유리나 무기 산화물 분체를 제조하는 방법으로 ZnO를 스핀코팅 후 박막 상에서 산소와 결합해 형성하는 방법으로, 고온의 열처리 과정이(450℃ 이상) 동반되어야 한다23). 하지만 고온의 열처리는 하부 전극의 면 저항이 증가될 수 있어 효율 감소의 원인이 된다. 또한 ZnO내에서도 온도에 따른 다양한 변화가 관찰된다. 상온, 300℃, 400℃, 500℃의 열처리 온도에 따라서 밴드갭, 입자 크기, 저항, 격자의 매개변수 등이 달라진다24). 이와 같은 변수의 변화는 태양전지의 소자 특성 및 박막 형성과정에 있어서 큰 영향을 끼치게 하였다. Kim et al.25) 연구에서는 고온 열처리와 같은 조성의 ZnO를 저온에서 열처리를 할 경우에 Zn와 O가 1:1의 비율로 형성이 되기는 하지만 저온에서는 나노격자가 고온 열처리에 비해 균일하지 않고, 박막이 고르게 형성되지 못 하는 것을 알 수 있다. 졸젤법으로 저온 열처리를 위해서는 단순히 온도의 변화만 주는 것이 아니라 다른 방법이 필요하다. 따라서 본 연구에서는 기존의 고온 공정 졸젤법과 저온에서도 박막이 고르게 형성될 수 있도록 새로운 조성의 저온 공정 졸젤법을(150℃) 통해 ZnO 박막을 형성하였으며, 이에 따른 역구조 고분자 태양전지 소자의 특성을 분석하였다.
2. 실험방법
2.1 고분자 태양전지에 사용된 물질
역구조 유기 태양전지의 전극으로는 ITO (Indium Thin Oxide)와 은(silver, Ag)을 각각 음극전극(Cathode)과 양극전극(Anode)으로 사용하였다. 전자, 정공을 추출하는 층은 산화물 반도체를 사용하였으며, 전자추출층(Electron Extraction Layer, EEL)은 ZnO, 정공추출층(Hole Extraction Layer, HEL)은 몰리브덴옥사이드(MoO3)를 사용하였다. 고온 열처리(450℃) 졸젤을 위한 ZnO 선구체 용액은 Zinc acetate dehydrate 0.5487 g, 이것을 녹일 수 있는 용매로 투메톡시에탄올(2-Methoxyethanol) 10 ml, 그리고 촉매제인 에탄올아민(ethanolamine, EA) 0.15 ml을 50℃ 핫플레이트 위에서 충분히 섞으면서 만들었다. 저온 열처리(150℃) 졸젤을 위한 ZnO 선구체 용액은 Zinc acetate dehydrate 1.05 g, 용매는 투메톡시에탄올 10 ml, 그리고 촉매제인 에탄올아민 0.525 ml을 섞은 후, 열처리 없이 24시간 상온에 보관하였다. 그리고 ZnO 나노입자는 Butanol과 IPA에 분산된 용액을 사용하였다. 광흡수층(Active Layer)용액은 이종접합(Bulk Heterojunction, BHJ)구조로 만들기 위해서, 고분자 도너인 PBDB-T 10 mg(Poly[[4,8-bis[5-(2-ethylhexyl)-2-thienyl]benzo[1,2-b:4,5-b′]dithiophene-2,6-diyl]-2,5-thiophenediyl[5,7-bis(2-ethylhexyl)-4,8-dioxo-4H,8H-benzo[1,2-c:4,5-c′]dithiophene-1,3-diyl]]polymer), Non-fullerene 억셉터인 ITIC 10mg(2,2′-[[6,6,12,12-Tetrakis(4-hexylphenyl)-6,12-dihydrodithieno[2,3-d:2′,3′-d′]-s-indaceno[1,2-b:5,6-b′]dithiophene-2,8-diyl]bis[methylidyne(3-oxo-1H-indene-2,1(3H)-diylidene)]]bis[propanedinitrile])을 1:1비율로 섞은 후, 1,2- chlorobenzene (CB) 1 ml에 넣은 후 80℃에서 10시간동안 열처리를 하여 만들었다.
2.2 고분자 태양전지 소자 제작
역구조 유기 태양전지 소자는 Fig. 1에서 보는 바와 같이, ITO/ZnO/PBDB-T:ITIC/MoO3/Ag로 구성되어 있다. 소자 제작을 위해서 가장 먼저 ITO가 코팅된 glass 기판을 초음파 세척기를 이용하여 acetone 10분, isopropyl alcohol 10분 세척 후, 15분간 UV-오존(UVC-30S) 처리를 진행하였다. 그리고 전자추출층인 ZnO를 형성하기 위해서 세정된 ITO 기판위에 미리 준비한 ZnO 선구체 용액, ZnO 나노입자 용액을 스핀 코팅 방법으로 박막을 형성하였다. 고온 열처리를 위한 ZnO 선구체 용액은, 공기 분위기의 상온에서 3500 rpm으로 스핀코팅 후, 핫 플레이트 위에서 솔벤트를 날리기 위해서 120℃에서 20분 열처리 후, 450℃의 열로 2시간동안 열처리를 하여 박막을 형성하였다. 저온 열처리를 위한 ZnO 선구체 용액은, 공기 분위기의 상온에서 5000 rpm으로 스핀코팅 후, 핫 플레이트 위에서 150℃의 열로 30분동안 열처리를 하여 박막을 형성하였다. ZnO 나노입자는 질소(Nitrogen ,N2)가스로 채워진 Glove Box안에서 2000 rpm으로 스핀코팅 후 100℃에서 20분 열처리를 진행하여 박막을 형성하였다. 이때 형성된 ZnO 박막의 두께는 모두 46 nm이다. 형성된 ZnO 박막위에 광 흡수층 용액(PBPB-T:ITIC)을 질소가스로 채워진 Glove Box안에서 1000 rpm으로 스핀코팅 후 150℃에서 15분 열처리를 하여 77 nm 두께로 형성하였다. 그 이후, 진공 열증착 방법으로 4×10-6의 진공도에서 정공추출층인 MoO3 10 nm, 양극전극인 Ag 100 nm를 형성하였다. 제작한 유기물 태양전지의 면적은 2.25 mm2이다.
2.3 고분자 태양전지 소자 및 박막 평가
제작한 역구조 유기물 태양전지 소자의 성능을 계측하기 위해서 AM1.5 G (100 mW/cm2)의 빛을 내는 Solar Simulator (Newport)와 Keithely 2400 sourcemeter를 이용해 I-V (Current-Voltage)특성을 계측하였다. ZnO 차이에 의한 박막의 분석을 위해서 AFM (Aatomic Force Microscope, XE-100)과 FE-SEM (FE- Scanning Electron Microscope, S8000)을 이용해 표면 거칠기 및 형상을 관찰하였으며, EDS (Energy Dispersive Spectrometry) 스펙트럼을 분석하여 ZnO 박막의 정성 및 정량분석을 진행하였다.
3. 결과 및 고찰
3.1 고온 열처리 ZnO의 문제점 및 나노입자법 ZnO의 성능
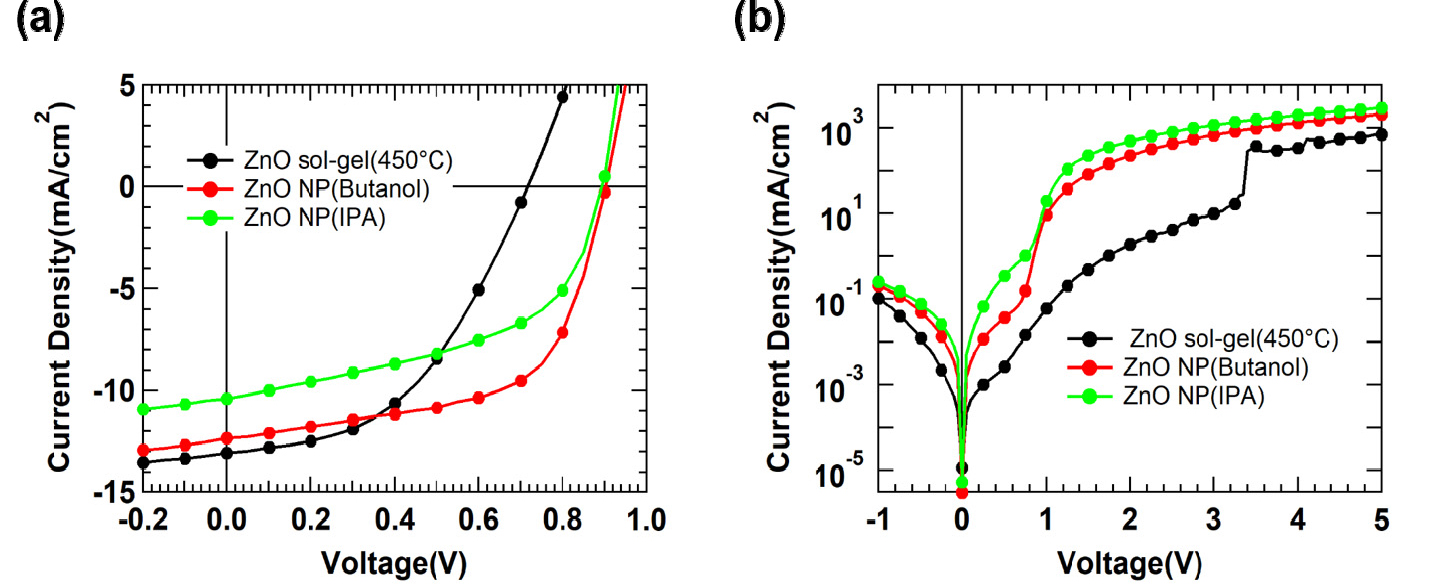
유기 태양전지의 전자추출층으로 사용된 ZnO의 특성을 알아보기 위해 J-V (Current Density-Voltage) 특성을 분석하였다. Fig. 2는 고온 열처리(450℃)한 졸젤법의 ZnO와 나노입자법의 ZnO를 전자추출층으로 사용한 역구조 유기 태양전지의 J-V 특성을 나타내고 있다. Fig. 2(a)에서 졸젤 ZnO의 개방전압(Voc)은 0.68 V로 0.89 V의 나노입자 ZnO와 비교하여 낮은 수치를 나타냈다. 또한 충진률(Fill Factor, FF)과 전력번환효율은 46.33%, 4.12%로 ZnO 나노입자를 활용한 소자에 비해서 낮은 수치를 나타내었다. 이에 대한 원인으로 졸젤법의 경우, 450℃의 열처리가 동반되어야 하고, 이는 ITO의 면저항이 20/□에서 최대 90/□까지 상승하기 때문이다. 결과적으로 고온 열처리의 졸젤법에서는, ITO 면저항의 증가로 전자의 추출이 제한적으로 이루어졌고 4.34%의 낮은 전력변환효율 보였다. 나노입자 ZnO를 사용한 유기 태양전지의 성능을 비교하면, IPA 기반의 ZnO 나노입자를 사용한 유기 태양전지 소자는 단락전류밀도(Jsc), 충진률, 전력변환효율이 각각 10.40 mA/cm2, 50.33%, 4.58%이며, Butanol 기반의 ZnO 나노입자를 사용한 유기 태양전지 소자는 12.15 mA/cm2의 단락전류밀도와 58.75%의 충진률, 그리고 6.35%의 전력변환효율을 나타내었다. Fig. 2(b)는 빛을 주지 않는 상황에서의 JV특성을 알아본 그래프를 나타낸다. 암전류는 태양전지에서 노이즈 역할을 하여 효율을 감소시키는 원인이 된다. 암전류가 발생되는 요인으로는 열적으로 생성된 엑시톤이 전류를 흐르게 하여 높은 누설전류를 발생시키게 되며, 또한 트랩에 의해서도 암전류의 변화가 일어난다. 이러한 원인으로는 ZnO내부의 물 분자에 의해서 발생이 되는데, 특히 A et al.26)의 연구에서 졸젤법으로 합성한 ZnO의 내부에 물분자로 인해서 느린 광반응이 일어난다고 보고하고 있다. 하지만 본 연구의 Fig. 2(b)에서는 졸젤법으로 합성한 ZnO와 나노입자법 ZnO의 역 바이어스에서의 암전류 특성은 큰 차이를 보이진 않는다. 그 이유는 졸젤법 ZnO에서 Zinc acetate dehydrate (Zn(CH3CoO)2+2H2O)의 물분자와 소자 제작 환경에서 수분의 노출을 450℃의 높은 열처리로 대부분 제거를 해주기 때문이다. 자세한 성능 특성은 Table 1에서 확인 할 수 있다.
Table 1
Photovoltaic parameters of polymer solar cells using different ZnO thin films
ZnO에 대한 분석을 위해서 AFM을 이용해 박막 이미지와 표면 거칠기를 통해서 알아보았다. Fig. 3은 고온 열처리의 졸젤법에 의한 ZnO 박막과, 나노입자법의 AFM 표면 이미지를 나타내고 있다. AFM 이미지의 크기는 5 μm × 5 μm (가로 × 세로) 이고, 표면 거칠기는 1 μm × 1 μm의 면적에서 비교하였다. 평균 거칠기(Ra) 값은 고온 열처리한 졸젤법 ZnO의 경우 0.423 nm, Butanol과 IPA 기반의 ZnO나노입자는 각각 0.851 nm와 1.003 nm를 나타내었다. 표면의 균일성은 고온 열처리의 졸젤법 ZnO가 가장 우수한 특성을 보이지만, 하부층에 높은 열이 가해져 실제로는 효율을 떨어뜨리는 결과를 초래하였다. 나노입자법의 ZnO 표면 이미지는 입자들이 넓게 펼쳐지는 결과를 얻을 수 있다. 특히 Butanol 기반의 ZnO 나노입자는, IPA 기반의 ZnO 나노입자 보다 분산성이 더 좋아서 박막의 거칠기가 더욱 낮고 고르게 형성됨을 알 수 있다. Okura et al.27)의 연구에서는 분산성과 고른 박막의 형성이 용매의 낮은 비유전율과 점성에 의한 차이로 인해 결정될 수 있다고 보고하고 있다. 즉 Butanol이 IPA보다 비유전율 및 점성이 낮기 때문에 ZnO 나노입자의 분산성이 향상되는 것이며 그 결과 박막의 거칠기가 더욱 낮고 고르게 형성됨을 알 수 있다. 이러한 이유로 Butanol 기반의 ZnO를 전자추출층으로 활용하게 되면 전자의 추출이 원활하게 이루어지며, 그 결과 Butanol 기반의 ZnO를 활용한 유기 태양전지 소자가 IPA 기반의 ZnO를 활용한 소자보다 더욱 우수한 전력변환효율 특성을 나타내는 것이다.
3.2 저온 열처리 졸젤법 ZnO의 소자 적용
고온 열처리로 인한 ITO의 면 저항 증가는 유기 태양전지 소자의 성능감소에 직접적인 영향을 끼친다. 이러한 악영향을 줄이기 위해서 저온 열처리(150℃)의 졸젤법으로 ZnO 박막을 형성하고 이를 전자추출층으로 활용한 유기 태양전지 소자 특성을 분석하였다. Fig. 4는 저온 열처리의 졸젤법으로 ZnO를 형성한 유기 태양전지 소자와 앞선 실험에서 가장 좋은 성능을 보였던 Butanol 기반의 ZnO 나노입자를 사용한 유기 태양전지 소자의 J-V 특성 결과이다. Fig. 4(a)를 보면, 전반적으로 저온 열처리 졸젤법의 ZnO를 사용한 유기 태양전지 소자의 성능이, Butanol 기반의 ZnO 나노입자를 사용한 유기 태양전지 소자의 성능보다 우수한 특성을 보이고 있다. 또한 저온 열처리 졸젤법의 ZnO는 고온 열처리와 다르게 개방전압의 감소가 나타나지 않고 있으며, 15.13 mA/cm2의 단락전류밀도와 65.30%의 충진률을 나타내고 있다. 자세한 태양전지 특성은 Table 2에서 확인할 수 있다. Butanol 기반의 ZnO 나노입자를 활용한 유기 태양전지 소자의 성능은 Tables 1과 2에서 다소 차이를 보이고 있는데, 이는 실험 배치에 따른 차이 이다. 평균적으로 같은 배치 내에서의 유기 태양전지 소자는 ±0.1% 이내의 효율 차이를 보이지만, 환경이 다른 날짜의 배치와는 ±10% 이내의 효율 차이를 보이고 있다. 이는 용액공정의 특성상 환경 온도, 날씨에 많은 영향을 받기 때문이며, 소자 특성의 비교 오류를 범하지 않기 위해서 같은 배치 내에서의 연구 결과로 평균값과 표준편차를 기입해서 비교를 하였다. 특히 고온에서 열처리를 한 경우 ITO의 면저항이 90/□로 크게 증가하게 되면서, 이로 인해 유기 태양전지 소자의 Voc가 감소하였다. 이러한 현상은 Harder et al.28)의 연구결과에서도 Si 기판의 면저항이 증가했을 때 측정과정에서 바늘 모양의 접촉 프로브만으로도 다이오드의 특성을 왜곡할 수 있고, 그에 따라서 Voc가 감소한다는 결과가 보고되어 지고 있다. Fig. 4 (b)의 암전류는 졸젤법으로 합성한 ZnO가 더 낮은 값을 나타냈다. 높은 충진률과 병렬저항(Shunt Resistance)은 역 바이어스 전압구간에서 낮은 누설전류에 기인하였다. 또한 150℃의 낮은 열처리로 인해서 수분이 ZnO내에 남아있고 트랩을 형성해 전류의 흐름을 막아서 누설 전류가 적게 발생하였다26). 이렇게 저온 열처리 졸젤법의 ZnO를 활용한 유기 태양전지 소자에서 우수한 특성이 보이고 있는 원인을 FE-SEM을 통해 분석하였다.
Table 2
Photovoltaic parameters of polymer solar cells using low temperature sol-gel ZnO and Butanol based ZnO nanoparticle
| ZnO | Jsc (mA/cm2) | Voc (V) | FF (%) | PCE (%) | Rs () | Rsh () |
| NP (Butanol) | 13.44±0.02 | 0.91±0.06 | 58.06±0.05 | 7.09±0.03 | 8±0.9 | 610±34 |
| sol-gel (150°C) | 15.13±0.08 | 0.90±0.04 | 65.30±0.06 | 8.89±0.07 | 5±0.7 | 770±51 |
Fig. 5(a)와 (b)는 각각 Butanol 기반의 ZnO 나노입자 박막과 저온 열처리 졸젤법으로 형성한 ZnO 박막의 이미지를 나타내고 있다. Butanol 기반의 ZnO 나노입자 박막의 경우는(Fig. 5(a)) 무수히 많은 나노 입자들이 배열되어 있는 형태를 띄고, 저온 열처리 졸젤법으로 형성한 ZnO 박막은(Fig. 5(b)) 잔물결이 펼쳐저 있는 ripple형태를 나타내고 있다. 이와 같은 현상은 Fig. 6의 AFM 표면 이미지로도 확인 할 수 있었으며, 이때 표면의 평균 거칠기는 0.433 nm이다. 결과적으로 적당한 ripple 형태의 구조는 전자의 추출을 더 원활하게 해주는 통로의 역할을 하였으며 이 결과가 유기 태양전지 소자 성능 향상에 영향을 미친 것이다. ZnO 박막의 ripple형태가 유기 태양전지 소자 성능 향상에 영향을 주었다는 결과는 기존의 Kim et al.29) 연구 논문에서도 보고되어졌고, 또한 원활한 전자의 추출을 위해서 테트라포드처럼 일정한 통로의 박막 구조가 유기 태양전지 소자 성능 향상에 영향을 주었다는 결과도 기존의 Song et al.30) 연구 논문에서도 보고되어졌다.
Fig. 5의 (c)와 (d)는 EDS 분석을 통해 Butanol 기반의 ZnO 나노입자 박막과 저온 열처리 졸젤 기반의 ZnO 박막의 정성 및 정량을 분석한 결과이다. 결과적으로 저온 열처리의 졸젤법의 경우 150℃의 저온에서 30분 정도로 짧게 열처리를 하였음에도 이미 용액상에 분산된 ZnO와 비슷한 원소 비율을 타나내고 있다. 이 결과는 저온 열처리의 졸젤법으로도 ZnO 박막이 정상적으로 형성했다는 것을 의미한다.
Fig. 5의 (c)와 (d)는 EDS 분석을 통해 Butanol 기반의 ZnO 나노입자 박막과 저온 열처리 졸젤 기반의 ZnO 박막의 정성 및 정량을 분석한 결과이다. 결과적으로 저온 열처리의 졸젤법의 경우 150℃의 저온에서 30분 정도로 짧게 열처리를 하였음에도 이미 용액상에 분산된 ZnO와 비슷한 원소 비율을 타나내고 있다. 이 결과는 저온 열처리의 졸젤법으로도 ZnO 박막이 정상적으로 형성했다는 것을 의미한다.
4. 결 론
본 연구에서는 ZnO의 공정방법에 따른(고온 졸젤법, 저온 졸젤법, 나노입자법) 유기태양전지 소자 성능에 대해서 분석하였다. 고온 열처리(450℃)를 통한 졸젤법의 ZnO는, 낮은 표면 거칠기를 기반으로 고르게 박막이 형성되었음에도 불구하고 하부에 있는 ITO전극에 데미지를 주어 면저항이 증가하는 현상으로 인해 유기 태양전지 소자의 성능이 크게 감소되었다. 반면에 용매에 녹아있는 ZnO의 분산으로 박막을 형성하는 방법인 나노입자법에서는 용매로 Butanol과 IPA를 사용했을 때를 비교한 결과, Butanol 기반의 ZnO가 IPA 기반의 ZnO 보다 분산 및 표면 특성이 더욱 우수하여 높은 특성의 유기 태양전지 소자 결과를 얻을 수 있었다. 그리고 나노입자법보다 더욱 우수한 ZnO를 위해서 저온에서 열처리가 가능한 ZnO 선구체 용액을 적용하였으며, 이를 150℃의 저온에서 열처리 하여 ZnO 박막을 형성한 결과, 나노입자법의 ZnO와 같은 원소 비율을 나타냈다. 이를 역구조 고분자 태양전지의 전자추출층으로 적용한 결과, 소자의 성능이 크게 향상되었다(단략전류밀도 15.13 mA/cm2, 개방전압 0.90 V, 충진률 65.30%, 전력변환효율 8.89%). 유기 태양전지 소자의 성능이 향상된 주된 원인으로는, ripple형태의 표면이 형성되어 전자의 추출이 원할해지고, 표면 거칠기도 우수하였기 때문이다. 본 연구에서 개발한 저온 졸젤법 기반 ZnO 장점은, 공기중에서 산소와 결합해 ZnO 박막이 형성되기 때문에 고 농도의 질소 또는 아르곤가스로 채워져있는 Glove Box가 불필요하다. 본 연구는 앞으로 차세대 유기 태양전지의 공정 온도를 낮추어 저가의 대량 생산이 가능하며 동시에 고효율의 소자 성능을 확보할 수 있는 중요한 결과가 될 것으로 기대한다.








