1. 서 론
2. 녹색건축 인증기준 및 분석 대상건물
2.1 업무용건축물 인증기준
2.2 분석 대상건물
3. 평가항목 득점현황 분석
3.1 평가항목 득점빈도 분석
3.2 인증등급별 평가항목 득점비율 분석
4. 결 론
1. 서 론
녹색건축 인증제도는 자원절약적이고 자연친화적인 건축물을 유도하기 위해 도입되었으며 에너지 및 재료자원, 실내외 환경, 유지관리 등 건물의 설계에서 폐기까지 전 생애주기 동안 건물에 영향을 미치는 요소들을 평가하는 제도이다1).
녹색건축 인증에 관한 규칙과 녹색건축 인증기준에서 연면적 3,000 m2 이상의 공공업무시설은 녹색건축인증 그린2등급 이상이 의무화되는 등 정부는 자연친화적인 건축물을 유도하기 위해 노력하고 있다. 하지만 업무용 건축물에 대해 원하는 등급을 취득하기 위해 녹색건축 기술을 어느 수준으로 적용해야 하는지에 대한 구체적인 방안이 마련되어 있지 않은 실정이다.
선행연구에서 이성옥 등2)은 국내 공동주택 친환경건축물인증 평가항목별 득점현황 및 분석을 통해 편중현상을 나타낸 항목에 관한 연구를 제시하였다. 모혜란 등3)은 국내 업무용 친환경건축물 인증기준에서 부문별 득점현황을 분석하여 등급체계의 보완을 통해 인증제도가 갖는 당위성 및 신뢰성을 확보하고자 하였다. 윤요선 등4)은 공동주택의 녹색건축인증제도에 대한 선행연구를 분석하고 저득점 항목과 고득점 항목을 분류하여 향후 기준개선을 목적으로 하였다. 장현숙 등5)은 녹색건축인증 업무시설의 평가항목별로 문제점을 분류하고 전문가 설문조사를 통하여 녹색건축 인증제도의 개선방향을 제시하였다.
본 연구는 녹색건축 인증기준에 의해 평가된 업무용 건축물을 대상으로 하여 33개의 평가항목에 대해 득점분포와 득점비율을 인증등급별로 분석하여 적용된 기술의 수준을 제시하고자 한다. 설계자, 관련 실무자 등이 녹색건축 인증신청을 위해 적용될 기술 수준을 용이하게 파악할 수 있을 것으로 기대된다.
2. 녹색건축 인증기준 및 분석 대상건물
2.1 업무용건축물 인증기준
녹색건축인증의 등급은 총 4개의 등급으로 구분되어 있으며 일반(그린4등급)은 50점 이상, 우량(그린3등급)은 60점 이상, 우수(그린2등급)는 70점 이상, 최우수(그린1등급)는 80점 이상 점수획득 시 취득한다.
인증기준은 7개의 전문 분야로 구성되어 있으며 각 전문 분야에는 평가항목들이 있다. Table 1은 업무용 건축물의 평가항목을 나타낸 것이다. 평가항목은 토지이용 및 교통 분야 4개, 에너지 및 환경오염 분야 6개, 재료 및 자원, 물순환관리, 유지관리 분야 각각 4개, 생태환경 분야 3개, 실내환경 분야 8개로서 총 33개로 구성되어 있다.
2.2 분석 대상건물
본 연구는 ‘E’ 녹색건축인증기관에서 2010년 7월부터 2014년 12월까지 녹색건축 인증을 받은 업무용 건축물을 대상으로 하였으며 예비인증과 본인증을 모두 취득한 경우 예비인증은 제외하였다. 대상건물은 총 56개로 조사되었으며 이에 대해 분석을 수행하였다.
인증등급별 분포를 보면 일반(그린4등급)은 12건으로 평균 52.85점, 우량(그린3등급)은 20건으로 평균 61.12점, 우수(그린2등급)는 19건으로 평균 71.51점, 최우수(그린1등급)는 5건으로 평균 80.83점을 획득한 것으로 나타났다.
3. 평가항목 득점현황 분석
3.1 평가항목 득점빈도 분석
(1) 토지이용 및 교통 분야
Fig. 1은 토지이용 및 교통 분야의 4개 평가항목에 대한 득점분포를 나타내고 있다.
‘1.1.1 기존대지의 생태학적 가치’ 항목은 대부분 미신청하였으며 인증등급과 크게 관련이 없는 득점빈도를 보였다. 이는 기존대지의 상태에 따라 급수가 결정되므로 인증신청자가 인위적으로 급수를 획득할 수 없기 때문이다.
‘1.2.1 일조권 간섭방지’ 항목은 1급의 빈도가 가장 높은 것으로 나타났다. 또한 인증등급과 크게 관련이 없는 득점빈도를 보였는데, 이는 대지 주변의 상황과 건물의 높이나 위치 등으로 점수가 결정되기 때문인 것으로 사료된다.
‘1.3.1 대중교통의 근접성’ 항목은 2급의 빈도가 가장 높은 것으로 나타났다. 인증등급 상승에 따라 1급의 빈도가 증가되고 미신청 빈도가 감소되는 추세를 보였다.
‘1.3.2 자전거 보관소 설치’ 항목은 모든 인증등급에서 대부분 1급의 빈도를 보였고 미신청 빈도가 없었다. 또한 인증등급 상승에 따라 1급의 빈도가 증가되는 것으로 나타났다.
상기 4개 항목 중에서 1.3.2는 고득점이 용이한 항목이며 1.3.1, 1.3.2 항목은 인증등급 상승에 따라 적용기술수준이 향상되고 있는 것으로 나타났다.
(2) 에너지 및 환경오염 분야
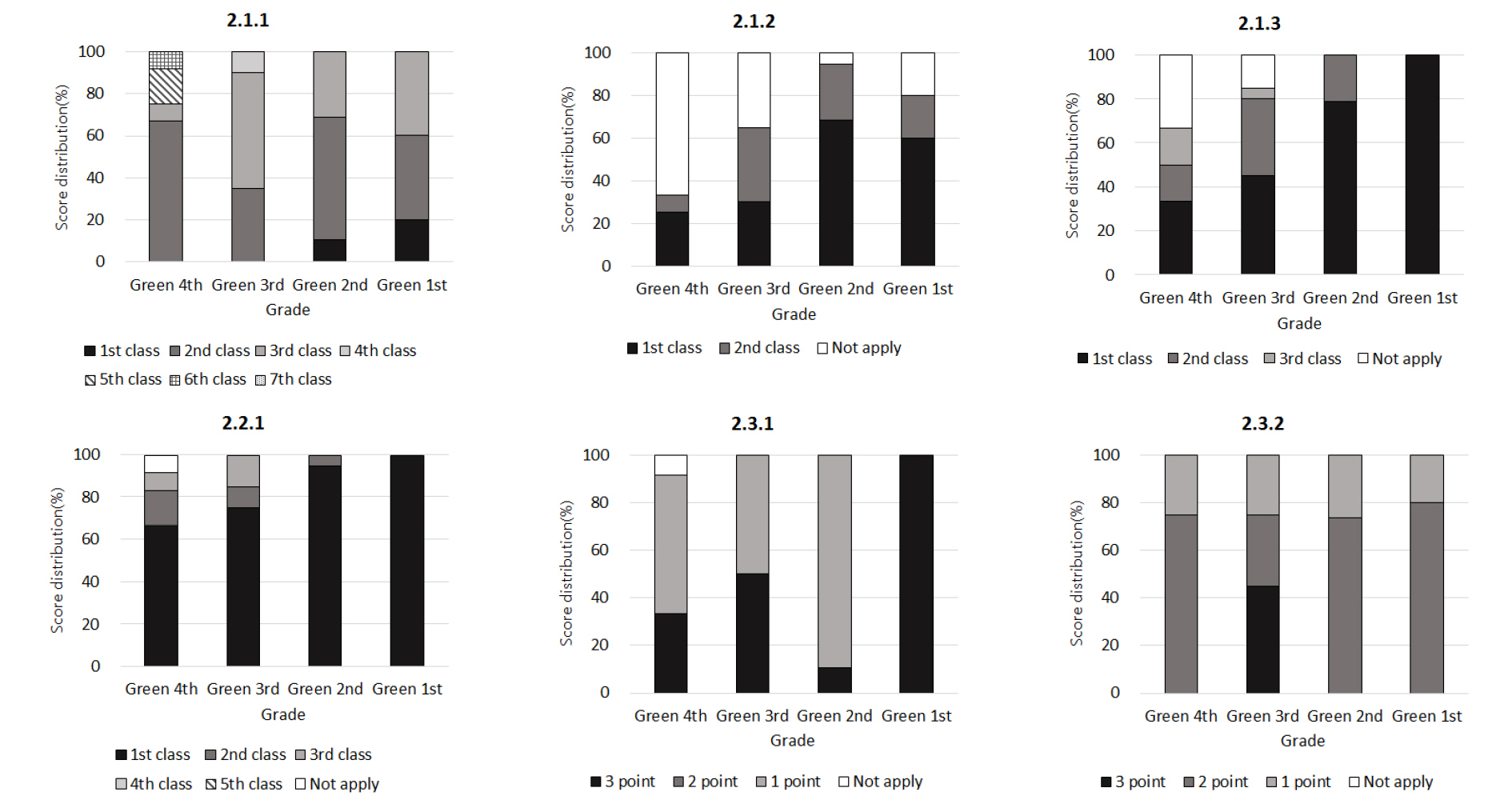
Fig. 2는 에너지 및 환경오염 분야의 6개 평가항목에 대한 득점분포를 나타내고 있다.
‘2.1.1 에너지 성능 향상’ 항목은 필수항목이며 배점이 12점으로 33개 항목 중 가장 비중이 높은 항목이다. 2급과 3급의 빈도가 가장 높았으며 인증등급 상승에 따라 1급의 빈도는 소폭 증가되었다.
‘2.1.2 계량기 설치 여부’ 항목은 인증등급 상승에 따라 그린1등급을 제외하면 1급의 빈도가 증가되고 미신청 빈도가 감소되는 추세를 보였다.
‘2.1.3 조명에너지 절약’ 항목은 인증등급 상승에 따라 1급의 빈도가 크게 증가되고 낮은 급수의 빈도가 감소되는 추세를 보였다.
‘2.2.1 신・재생에너지 이용’ 항목은 1급의 빈도가 가장 높았으며 인증등급 상승에 따라 1급의 빈도가 증가되고 낮은 급수의 빈도가 감소되는 추세를 보였다.
‘2.3.1 이산화탄소 배출저감’ 항목은 3점과 1점의 빈도가 가장 높았으며 그린1등급인 경우 모두 3점의 빈도를 보이고 있다.
‘2.3.2 오존층 유해물질 사용금지’ 항목은 2점의 빈도가 가장 높았으며 미신청 빈도는 없는 것으로 나타났다.
상기 6개 항목 중에서 2.1.3, 2.2.1은 인증등급 상승에 따라 적용기술수준이 향상되고 있는 것으로 나타났다.
(3) 재료 및 자원 분야
Fig. 3은 재료 및 자원 분야의 4개 평가항목에 대한 득점분포를 나타내고 있다.
‘3.1.1 화장실에서 사용되는 소비재’ 항목은 모든 인증등급에서 대부분 1급의 빈도를 보였다.
‘3.2.1 유효자원 재활용’ 항목은 필수항목으로 1급의 빈도가 가장 높았으며 인증등급 상승에 따라 1급의 빈도가 크게 증가되고 낮은 급수의 빈도가 감소되는 추세를 보였다.
‘3.2.2 재활용 가능자원 분리수거’ 항목은 필수항목으로 모든 인증등급에서 대부분 1급의 빈도를 보였다.
‘3.2.3 탄소성적 제품사용’ 항목은 1급의 빈도가 가장 높았으며 인증등급 상승에 따라 1급의 빈도가 크게 증가되고 낮은 급수의 빈도가 감소되는 추세를 보였다.
상기 4개 항목 중에서 3.1.1, 3.2.2는 고득점이 용이한 항목이며 3.2.1, 3.2.3 항목은 인증등급 상승에 따라 적용기술수준이 향상되고 있는 것으로 나타났다.
(4) 물순환관리 분야
Fig. 4는 물순환관리 분야의 4개 평가항목에 대한 득점분포를 나타내고 있다.
‘4.1.1 우수부하 절감대책’ 항목은 전체적으로 미신청 빈도가 가장 높았지만 그린3등급 이상에서는 미신청 빈도가 감소된 것으로 나타났다.
‘4.2.1 절수형 제품 사용’ 항목은 모든 인증등급에서 대부분 1급의 빈도를 보였다.
‘4.2.2 우수이용’ 항목은 1급의 빈도가 가장 높았으며 그린3등급 이상에서 미신청 빈도가 없는 것으로 나타났다.
‘4.2.3 중수사용량’ 항목은 미신청 빈도가 가장 높았으며 인증등급 상승에 따라 1급의 빈도가 크게 증가되고 미신청 빈도가 크게 감소되는 추세를 보였다.
상기 4개 항목 중에서 4.2.1은 고득점이 용이한 항목이며 4.2.3 항목은 인증등급 상승에 따라 적용기술수준이 향상되고 있는 것으로 나타났다.
(5) 유지관리 분야
Fig. 5는 유지관리 분야의 4개 평가항목에 대한 득점분포를 나타내고 있다.
‘5.1.1 환경관리계획’ 항목은 1급의 빈도가 가장 높았으며 미신청 빈도는 없는 것으로 나타났다. 또한 인증등급 상승에 따라 1급의 빈도가 증가되는 추세를 보였다.
‘5.2.1 운영/유지관리 지침 제공’ 항목은 필수항목으로 모든 인증등급에서 1급의 빈도만 보였다.
‘5.2.2 TAB 및 커미셔닝 실시’ 항목은 2급의 빈도가 가장 높았으며 인증등급 상승에 따라 미신청 빈도는 감소되는 것으로 나타났다.
‘5.3.1 공간배치 및 시스템 변경 용이성’ 항목은 2점의 빈도가 가장 높았으며 그린1등급에서 미신청 빈도가 없는 것으로 나타났다. 4점의 빈도는 거의 없는 것으로 나타나 고득점을 위해서는 적용기술수준 향상이 요구된다.
상기 4개 항목 중에서 5.2.1은 고득점이 용이한 항목이며 5.1.1 항목은 인증등급 상승에 따라 적용기술수준이 향상되고 있는 것으로 나타났다.
(6) 생태환경 분야
Fig. 6은 생태환경 분야의 3개 평가항목에 대한 득점분포를 나타내고 있다.
‘6.1.1 자연지반녹지율’ 항목은 1급의 빈도가 가장 높았으며 그린3등급을 제외하면 인증등급 상승에 따라 1급의 빈도가 증가되고 미신청 빈도가 감소되는 추세를 보였다.
‘6.2.1 생태면적률’ 항목은 인증등급 상승에 따라 1급의 빈도가 증가되고 미신청빈도가 감소되는 추세를 보였다.
‘6.3.1 비오톱 조성’ 항목은 미신청 빈도가 가장 높았으며 인증등급 상승에 따라 1급의 빈도가 크게 증가하였고 미신청 빈도는 크게 감소되는 추세를 보였다.
상기 3개 항목 중에서 6.2.1, 6.3.1 항목은 모두 인증등급 상승에 따라 적용기술수준이 향상되고 있는 것으로 나타났다.
(7) 실내환경 분야
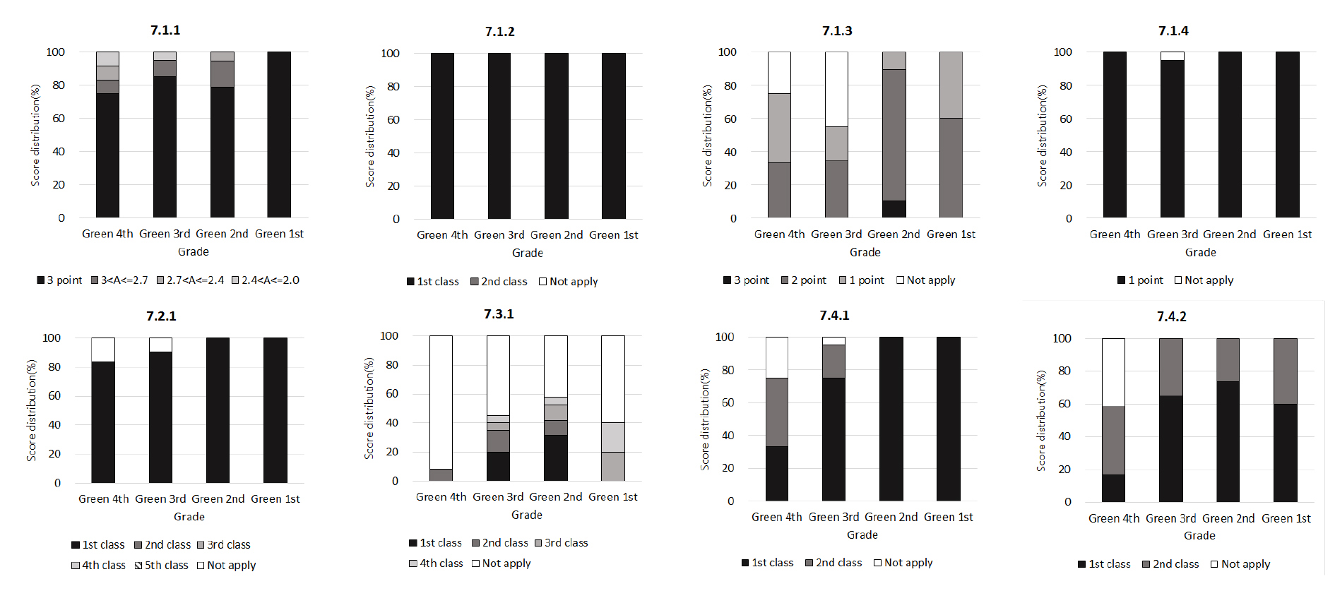
Fig. 7은 실내환경 분야의 8개 평가항목에 대한 득점분포를 나타내고 있다.
‘7.1.1 유해물질 저방출자재 사용’ 항목은 필수항목으로서 모든 인증등급에서 대부분 1급의 빈도를 보였으며 인증등급 상승에 따라 1급의 빈도는 소폭 증가되는 경향을 보였다.
‘7.1.2 자연환기성능’ 항목은 모든 인증등급에서 1급의 빈도만 보였다.
‘7.1.3 외기 급배기구’ 항목은 2점의 빈도가 가장 높았으며 높은 인증등급에서 미신청 빈도가 없는 것으로 나타났다. 3점의 빈도는 거의 없는 것으로 나타나 고득점을 위해서는 적용기술수준 향상이 요구된다.
‘7.1.4 석면미포함자재 사용’ 항목은 모든 인증등급에서 대부분 1급의 빈도를 보였다.
‘7.2.1 자동온도조절장치‘ 항목은 모든 인증등급에서 대부분 1급의 빈도를 보였으며 인증등급 상승에 따라 1급의 빈도가 증가되고 미신청 빈도가 감소되는 추세를 보였다.
‘7.3.1 교통소음’ 항목은 미신청 빈도가 가장 높았으며 인증등급과 크게 관련이 없는 득점빈도를 보였다. 이는 주변 환경에 크게 영향을 받아 원하는 급수획득이 어렵기 때문인 것으로 사료된다.
‘7.4.1 휴게공간’ 항목은 1급의 빈도가 가장 높았으며 인증등급 상승에 따라 1급의 빈도가 크게 증가되고 미신청 빈도가 감소되는 추세를 보였다.
‘7.4.2 실내환경 조절장치’ 항목은 1급의 빈도가 가장 높았으며 그린3등급 이상에서는 미신청 빈도가 없는 것으로 나타났다.
상기 8개 항목 중에서 7.1.1, 7.1.2, 7.1.4, 7.2.1은 고득점이 용이한 항목이며 7.1.1, 7.2.1, 7.4.1 항목은 인증등급 상승에 따라 적용기술수준이 향상되고 있는 것으로 나타났다.
3.2 인증등급별 평가항목 득점비율 분석
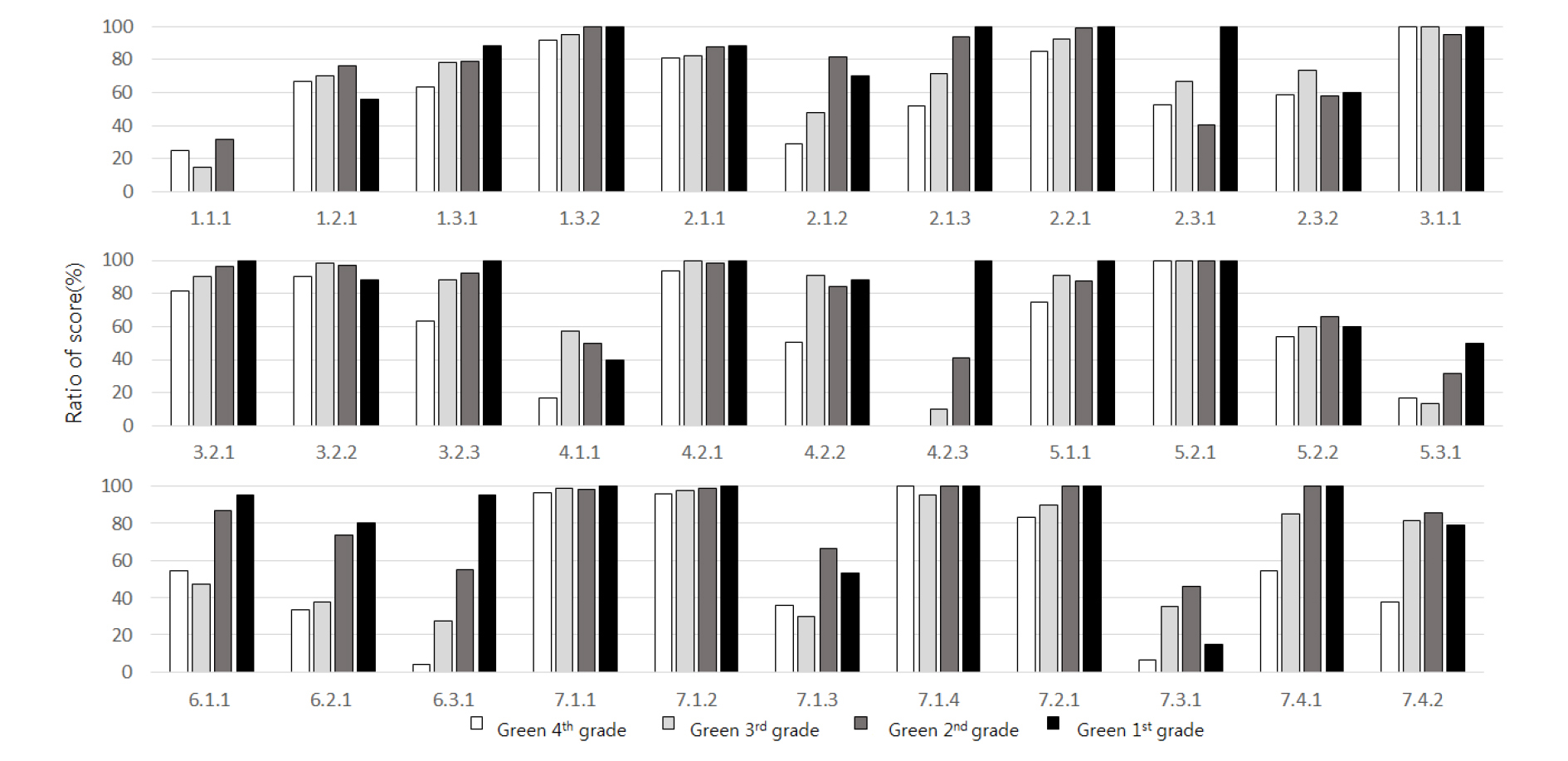
Fig. 8은 각 평가항목에 대해 인증등급별 득점비율을 나타낸 그래프이다.
모든 인증등급에서 득점비율이 80% 이상인 평가항목은 1.3.2, 2.1.1, 2.2.1, 3.1.1, 3.2.1, 3.2.2, 4.2.1, 5.2.1, 7.1.1, 7.1.2, 7.1.4, 7.2.1의 12개 항목으로 나타났다. 이들은 인증등급이 상승하여도 획득점수가 크게 증가하지 않으며 또한 인증을 받기 위해 기본적으로 점수를 획득하는 항목으로 판단된다.
상기 12개 항목을 제외하면 인증등급 상승에 따라 득점비율이 증가되는 평가항목은 1.3.1, 2.1.3, 3.2.3, 4.2.3, 6.2.1, 6.3.1, 7.4.1의 7개 항목이다. 또한 인증등급 상승에 따라 득점비율이 일률적으로 증가하지는 않지만 전체적으로 증가추세를 나타내는 평가항목은 2.1.2, 2.3.1, 4.2.2, 5.1.1, 6.1.1, 7.4.2의 6개 항목이다. 이들 13개 항목은 인증등급 상승에 따라 득점비율이 비교적 큰 차이를 나타내고 있으므로 높은 인증등급을 원하는 경우에는 우선적으로 고려되어야 하는 항목으로 판단된다. 특히 4.2.3, 6.3.1 항목은 인증등급 간의 득점비율 차이가 매우 큰 것으로 나타났다.
최대 득점비율이 50% 이하인 항목은 1.1.1, 5.3.1, 7.3.1 항목으로 인증등급과 관계없이 낮은 점수를 획득하고 있어 기술적용이 어렵거나 그 수준이 낮음을 나타낸다. 이 중, 1.1.1 항목은 기존대지의 상태에 따라 평가되므로 인위적으로 급수를 상향시킬 수 없지만 나머지 2개 항목은 높은 인증등급을 받기 위해서 적용기술수준 향상이 필요하다.
4. 결 론
녹색건축 인증을 받은 56개 업무용 건축물을 대상으로 녹색건축 인증현황을 분석하여 다음과 같은 결론을 얻었다.
(1) 각 평가항목에 대해 인증등급별로 득점분포와 득점비율을 분석하였다.
(2) 인증등급에 관계없이 대부분 1급 빈도를 보인 항목은 1.3.2, 3.1.1, 3.2.2 등의 9개로 분석되었으며 이들은 고득점에 용이한 항목이다. 상기 항목을 제외하면 인증등급 상승에 따라 1급의 빈도가 증가되는 항목은 1.3.1, 2.1.3, 2.2.1 등의 10개로 나타났다.
(3) 인증등급에 관계없이 80% 이상의 득점비율을 보인 항목은 1.3.2, 2.1.1, 2.2.1 등의 12개로 이들은 인증을 받기 위한 기본적인 항목이다. 상기 항목을 제외하면 인증등급 상승에 따라 득점비율이 증가추세를 보인 항목은 1.3.1, 2.1.2, 2.1.3 등의 13개로 나타났으며 높은 인증등급을 취득하기 위해 우선적으로 고려되어야 하는 항목이다.
본 연구의 결과는 설계자 및 관련 실무자가 목표하는 녹색건축 인증등급을 획득하기 위한 기초자료로 활용될 수 있을 것으로 기대된다.











