1. 서 론
2. 관측 개요
2.1 관측장소
2.2 관측항목
2.3 관측과 분석방법
3. 측정결과 및 고찰
3.1 장파복사의 시계열 분포
3.2 장파복사와 기온
3.3 장파복사와 기온, 운량 분석
4. 결 론
1. 서 론
도시 열환경1,2,3,4)은 다양한 기상요소들의 복합적인 효과의 영향을 받는 것으로 알려져 있으나, 각 기상요소들의 영향과 기상요소 상호간의 관련성을 해석하거나 규명한 객관적인 관측연구는 거의 발표되지 않고 있다. 복사효과는 도시의 기온형성과 열환경에 직접적인 영향을 미치는 주요 인자임이 여러 연구를 통해 발표되고 있고, 대부분의 연구가 단파복사를 중심으로 수행되고 있다. 그러나 장파복사에 대한 기존 연구5)로는 두 지역 간의 양
적인 복사량 차이에 주안점을 둔 연구6,7)이며, 장파복사와 기상요소에 대한 대부분의 연구는 수치적 해석 연구8) 위주로 수행되었다.
따라서 본 연구에서는 복사 단일 요소로써의 분석에서 벗어나 장파복사와 관련성이 있는 기상요소로 인식되고 있는 기온, 중하층 운량을 중심으로 장파복사와의 상관성을 분석하고자 하였다. 상관성에 대해서는 장파복사-시간, 장파복사-기온, 장파복사-운량, 장파복사-기온-운량의 각 요소간의 관계를 분석하였으며, 그 중 장파복사-운량은 단파복사의 영향을 배제할 수 있는 야간시간대 중심으로 검토하여 이들 요소 간에 상관성을 객관화하고자 하였다.
본 연구에서는 동절기 대구지역 현장 관측을 통해 장파복사와 기상요소 간의 연관성을 분석하였다. 이를 통해 도시 기후와 열환경 형성의 현상학적 메커니즘을 이해하고 객관화하였다. 이와 같이 현장 관측을 통해 수집된 복사관련 데이터는 수치 해석의 입력 자료로도 활용할 수 있을 것으로 기대되며, 궁극적으로 도시 열환경 해석과 활용을 위한 기초자료로 제공하는 데 그 목적이 있다.
2. 관측 개요
2.1 관측장소
본 연구의 관측지점은 도심지역(대구광역시 서구 소재 북비산초등학교 옥상) 1개소와 이곳에서 동쪽으로 22 km 떨어진 교외지역(경북 경산시 하양읍 소재 대구가톨릭대학교 옥상) 1개소를 선정하였다(Fig. 1). 이들 관측지점 주변 환경을 살펴보면 도심은 주변에 저층의 주거용 건물과 소규모 공장들(공단지역)로 구성된 인공적 환경특성이 강한 지역이고, 교외는 도심과 달리 그 주변은 논과 밭, 하천, 산 등이 넓게 분포하여 자연 환경의 특징이 잘 나타나는 곳이다(Table 1). 관측장비들은 건물 옥상에 설치되어 주변 지형지물의 영향이 배제된 열린 하늘 상태에서 상공에서 지면으로 향하는 하향복사 성분을 관측하였다.
2.2 관측항목
관측장비는 관측스테이션에 설치되었으며, 그 모습을 Fig. 2에 나타내었다. 관측장비들의 모델명과 그 제원을 Table 2에 나타내었다. 관측항목은 기온, 상대습도, 단파복사, 장파복사이며, 관측자료는 매 1분마다 저장하였다. 복사는 상공에서 지면으로 향하는 하향성분을 관측하였으며, 운량에 대해서는 대구기상지청에서 관측된 운량 자료를 이용하여 분석하였다.
2.3 관측과 분석방법
관측은 2017년 1월 1일부터 동년 3월 31일까지 동절기 3개월간 수행하였다. 본 연구에서는 기온, 중하층 운량, 장파복사 3요소 간의 상관성을 중심으로 분석하였다. 상관성에 대해서는 장파복사-시간, 장파복사-기온, 장파복사-운량, 장파복사-기온-운량의 각 요소간의 관계를 분석하였으며, 그 중 장파복사-운량은 단파복사의 영향을 배제할 수 있는 야간시간대 중심으로 분석하였다. 데이터 분석은 매 1분 간격으로 관측된 자료를 1시간 평균하여 사용하였다.
3. 측정결과 및 고찰
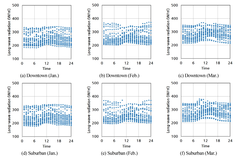
3.1 장파복사의 시계열 분포
Fig. 3는 관측장소에 따른 월별 시각대별 장파복사를 나타내었다. 이들 그래프의 특징은 1월에서 3월로 갈수록 장파복사의 하한 값은 점차 높아지는 경향성이 확인되었다.
1월의 도심과 교외지역의 장파복사 하한 값은 각각 183.0, 177.1 W/m2, 3월은 213.2, 209.4 W/m2이었다. 이와 같이 1월에서 3월로 가면서 장파복사는 도심에서 30.2 W/m2, 교외에서는 32.3 W/m2씩 증가하여 봄으로 갈수록 증가하는 경향을 알 수 있었다(Table 3). 또한 월별 장파복사의 하한 값은 1, 2, 3월 모두 일사가 유입되는 아침시간대부터 점차 상승하기 시작하여 정오 무렵에 가장 높은 값을 나타냄으로서 단파복사에 의해 지표부근 기온이 상승하면 장파복사도 함께 증가하는 경향성이 확인되었다. 이것은 Sellers (1965)8)의 문헌에서 기온과 장파복사가 관계가 있음을 제시한 것과 같은 결과이다.
한편 도심지역과 교외지역의 지역간 비교에서는 장파복사의 최저값은 도시지역이 교외지역보다 높은 결과가 도출되었다(Fig. 4).
3.2 장파복사와 기온
(1) 월별 장파복사와 기온
월별 장파복사와 기온의 상관도를 Fig. 5에 나타내었다. Fig. 5의 그래프에 나타낸 +표시는 해당 월의 장파복사와 기온의 평균값의 위치이며, Fig. 6는 그 평균값의 월별 변화를 하나의 그래프에 표시하였다. 그리고 그 값을 Table 4에 정리하여 나타내었다.
Fig. 5에서 기온에 따른 장파복사의 하한 값은 매우 안정적인 관측 값을 나타낸 반면, 상한 값은 하한 값에 비해 넓은 분포의 형태를 나타내었다. 이러한 분포를 해석하기 위해서는 앞으로 보다 면밀한 연구가 수행되어야 할 것으로 사료된다. Fig. 6는 두 지역의 장파복사 1, 2, 3월의 월별 평균값을 표시한 그래프로, 1월에서 3월로 갈수록 기온의 상승에 따라 장파복사도 같이 증가하는 경향성을 확인할 수 있다.
Table 4의 값을 통해서도 1월에서 3월로 갈수록 월별 평균기온이 높아지고 장파복사 또한 높아지는 경향을 알 수 있다. 그리고 1월 도심지역 기온은 1.8℃인 반면 교외지역은 0.6℃로 도심이 교외보다 1.2℃ 높게 나타났다. 또한 도심의 장파복사는 247.6 W/m2인 반면 교외는 243.6 W/m2으로 도심이 4 W/m2 높은 것으로 확인하였다. 이와 같이 교외지역에 비해 도심지역은 1, 2, 3월 모두 기온과 장파복사가 높게 나타났다. 이것으로 부터 지표부근 기온이 상승하면 하향 장파복사 또한 같이 증가하여 기온과 장파복사는 양(+)의 상관성이 있음을 명확히 확인할 수 있었다.
3.3 장파복사와 기온, 운량 분석
(1) 장파복사와 운량의 시계열
Fig. 7은 시간에 따른 운량과 장파복사량을 나타낸 그래프이고, 표시된 자료는 단파복사의 영향이 없는 야간시간대의 자료들이다. 각 그래프들은 운량에 따른 장파복사의 변화가 확실히 보여 지는 50일중 대표적인 2일의 자료를 나타낸 것이다.
Fig. 7의 A는 22시 이후, 05시 이후 운량이 9에서 1~2로 감소하는 급격한 변화가 있는 경우이며, 이때의 장파복사는 운량의 변화 추세와 유사한 경향으로 변화하는 패턴을 보였다. 그리고 Fig. 7의 B는 23시~04시에 운량이 0에서 6까지 증가한 후 다시 0으로 감소하는 경우로 운량이 0일 경우 장파복사량은 240~260 W/m2의 범위에 분포하였다. 운량이 증가한 시점의 복사량은 300~310 W/m2으로 구름의 양이 증가함에 따라 장파복사 또한 증가하는 것을 확인할 수 있었다.
(2) 월별 장파복사와 기온, 운량의 관계
Fig. 8는 Fig. 5의 기온과 장파복사의 관계 그래프를 이용하여 운량과의 관련성을 확인하기 위해 운량 6 이상과 5 이하로 분류하여 점의 분포를 나타낸 것이다. 운량 6 이상은 적색(□)으로 나타내었으며, 5 이하는 청색(○)으로 표시하였다. 그림에 나타난 바와 같이 운량이 6 이상일 때는 5 이하일 때에 비해 그래프의 상부에 위치(절편)함으로써 운량이 많을수록 장파복사량은 증가하는 것을 확인할 수 있었으며, 이것을 정량적으로 해석하기 위해 지역별 운량에 따른 장파복사값과 기온의 월평균 값을 Table 5에 나타내었다.
Table 5에서 보면 도심과 교외지역 장파복사값은 운량 6 이상일 때가 5 이하일 때 보다 1, 2, 3월 모두 높게 나타났다. 도심 1월의 경우 운량 6 이상일 때의 장파복사값은 304.4 W/m2이고, 5 이하일 때는 234.8 W/m2으로 운량에 의한 복사값의 차이는 69.6 W/m2으로 확인되었다. 1~3월 3개월 동안의 운량 5 이하일 때의 장파복사 평균값은 도심은 250.6 W/m2이고, 교외는 247.9 W/m2이었다. 그리고 운량 6 이상일 때의 장파복사 평균값은 도심은 314.0 W/m2이고, 교외는 309.6 W/m2이었다. 이상의 결과에서 운량에 따른 장파복사값의 차이는 도심에서 63.4 W/m2, 교외에서 61.7 W/m2으로 운량에 의한 복사 증가 효과가 약 25% 정도로 확인되었다.
1월 도심에서 운량이 5 이하일 때 기온은 1.1℃이고 운량이 6 이상일 경우 4.5℃로 운량이 많을수록 기온이 높은 것으로 나타났다. 이와 같은 경향은 교외지역에서도 확인할 수 있었다. 다만 3월은 1, 2월과 달리 운량이 작은 경우 기온이 높게 나타났다.
4. 결 론
(1) 장파복사는 도심과 교외지역 모두 1월에서 3월로 가면서 지표부근 기온이 상승하여 이에 따라 장파복사도 함께 증가하는 경향성이 나타났다. 이러한 경향성은 장파복사의 하한 값 시계열에서 명확하게 확인할 수 있었다.
(2) 도심지역은 교외지역에 비해 1, 2, 3월 모두 기온과 장파복사가 높게 나타났으며, 도심과 교외의 두 지역 간 비교에서는 근소하게 기온이 더 높은 도심에서 상대적으로 더 많은 장파복사량이 관측되었다. 이를 통해 기온과 장파복사량의 관계는 분명한 양(+)의 상관성이 있음을 확인할 수 있었다.
(3) 장파복사와 운량은 기온과 장파복사의 관계에서와 같이 운량이 증가할수록 장파복사는 뚜렷하게 증가하는 경향성을 나타내었다. 이것으로부터 구름에 의한 장파복사의 영향을 확인할 수 있다.
(4) 운량 5 이하일 때의 장파복사 평균값은 도심 250.6 W/m2, 교외 247.9 W/m2, 그리고 운량이 6 이상일 때의 장파복사 평균값은 도심 314.0 W/m2, 교외 309.6 W/m2로 관측되어 운량 5 이하와 6 이상의 장파복사값의 차이는 도심에서 63.4 W/m2, 교외에서 61.7 W/m2으로 운량에 의한 복사 증가 효과는 약 25% 정도로 확인되었다.
(5) 이상의 결과를 통해 장파복사-기온, 장파복사-운량, 장파복사-기온-운량은 매우 밀접한 관련성이 있음을 확인하였다. 본 연구에서는 운량 기준으로 분석을 하였으나, 추후 운형에 대한 분석이 추가된다면 보다 객관적인 연구결과를 도출할 수 있을 것으로 사료된다.















