1. 서 론
2. 자료 및 분석방법
2.1 연구지역 및 자료
2.2 PAR 추정모델
3. 결과 및 토의
3.1 S1에서의 PAR 변동성
3.2 PAR 추정 모델 결과
3.3 타지역에서의 PAR 추정 모델 결과 및 사용가능성 평가
4. 결 론
기호설명
GHI : Global Horizontal Irradiance [W m-2]
PAR : Photosynthetically Active Radiance [W m-2]
: 태양천정각
:수평면전일사량에 대한 청천지수
: 위도
: 태양적위
: 시간각
: PAR 영역에 대한 청천지수
: 청천에서의 PAR 투과율
: 청천에서의 PAR
: 대기외상한에서의 수평면전일사량
: PAR 영역에서의 대기외상한 값
RH : 상대습도
T : 기온
1. 서 론
태양복사에서 400 ~ 700 nm의 파장범위는 식물광합성에 사용되고, 광합성유효복사 Photosynthetically Active Ratiation (이후, PAR)라고 한다. 육상탄소순환, 빛에너지-화학에너지 전환과정, 지표식생 성장과 같은 식물광합성과 관련된 분야에서 PAR는 중요한 지표다. 또한 최근 저탄소신재생에너지에 대한 관심이 증가하면서 그에 맞게 태양광, 풍력 등에 큰 관심을 받고 있다. 특히 정부의 그린 뉴딜의 핵심사업으로 태양광 연구개발에 3천억원을 집중 투자하겠다는 계획도 포함되어 있어 그 기대가 큰 상황에서, 태양광패널이 많이 설치되고 있다. 설치된 태양광패널의 소재는 대부분 실리콘으로 400 ~ 1100 nm에서 작동하고, 광합성유효복사가 포함되어 있다. 그래서 1차 생산량과 최근 신재생에너지의 수요증가에 따라 태양광패널을 통한 전력생산량을 추정하기 위해서 PAR를 추정할 필요가 있다. 그러나, 국내의 PAR 지상관측지점이 제한적이기에, 다수의 관측 지점이 확보하는 것이 중요하고 현재 관측중인 수평면전일사량을 이용한 PAR를 추정하는 모델개발연구가 필요하다.
수평면전일사량에서 짧은 파장인 PAR는 산란에 영향을 많이 받아, 구름에 상당히 많은 영향을 받는다. Caldo et al.1)에 따르면, 복사관측값은 일정시간 동안의 평균값인데 반해 전운량은 순간값이므로, 시간에 따른 구름의 변동성이 클 때 복사량과 비교하는데 어려움이 따른다. 또한 PAR는 에어로졸에도 영향을 받는다2). 그러므로 PAR를 추정하기 위해서는 구름과 에어로졸의 영향을 모의하는 것이 필수적이다.
내외 선행연구들에서는 수평면전일사량(Global Horizontal Irradiance, 이후 GHI)을 기반으로 지표면 PAR 일사량에 영향을 줄 수 있는 수증기, 구름, 미량기체, 에어로졸 등의 감쇄효과를 반영한 경험모델이 제시되었다. PAR를 추정하는 방법 중에서 가장 보편적으로 사용되는 방법으로는 GHI와 PAR의 비가 일정하다는 가정 하에 GHI에서 PAR를 추정하는 것이다. 하지만 GHI와 PAR의 비는 대기상태에 따라 달라져, 시공간적인 변동성이 크게 나타난다3). 따라서 태양복사가 대기를 통과할 때 에어로졸과 가스, 구름의 복합적인 감쇄효과를 나타낼 수 있는 청천지수2,3,4,5)를 PAR 추정모델에 적용하여 PAR를 보다 정확하게 추정할 수 있다. Hu et al.2)에서는 한국과 인접한 중국의 북동부에서 PAR를 추정하기 위해 기상인자와의 관계를 분석하였으며, 이를 바탕으로 다양한 방법으로 PAR 추정 경험모델을 개발하였으며, 추정 정확성을 검증하였다. 따라서 본 연구에서는 국립산림과학원이 운영하는 플럭스 타워에서 동시에 관측된 GHI와 PAR를 이용하여, Hu et al.2)에서 제시한 다양한 경험모델 방법을 적용 및 검증하고, 다른 지역에서의 활용 가능성을 평가하고자 한다.
2. 자료 및 분석방법
2.1 연구지역 및 자료
본 연구에서 사용된 자료는 국립산림과학원에서 운영하는 안면도(S1), 완도(S2), 평창(S3), 삼척(S4) 4곳의 플럭스타워에서 관측된 GHI, PAR, 상대습도(이후, RH), 기온(이후, T)값을 기반으로 하였고, 해당 지점 분포는 Fig. 1에서 확인할 수 있고, 관측소의 자세한 위경도 및 높이는 Table 1에 자세히 나타내었다. GHI (300 ~ 2800 nm)는 CNR4 net radiometer 복사계(Kipp & Zonen), PAR(410 ~ 655 nm)는 SQ-100 quantum sensor (Appoge), RH와 T는 HMP155 온습도계(Vaisala)를 통해 관측되었다. 관측값의 단위는 GHI가 에너지플럭스밀도단위이고, PAR는 광합성 유효 광량자속 밀도단위로 산출되는데 편의를 위해 PAR 관측값에 4.55를 나눠 에너지플럭스밀도단위로 변환하여 사용하였다6,7). 모든 관측값은 30초마다 관측되고, 30분 평균값을 사용하였다. 자료의 기간은 2016년 1월 1일부터 2020년 12월 31일까지로 총 5년의 관측값이 사용되었다. 사용된 자료의 품질 관리 기준은 GHI는 Hu et al.2)에서 제시한 아래의 방법론이 적용되었으며, 이 기준에 부합하지 않은 자료는 모두 제외하였다.
1번과 3번 조건의 경우, GHI와 PAR는 대기외상한에서의 값보다 클 수 없다는 것을 나타내고, 2번 조건은 아주 흐린 날씨에서의 최소값보다 낮은 값을 제외하기 위함이다. 마지막으로 4번 조건은 선행연구들에서 제시한 PAR/GHI의 값의 범위로 동일하게 사용하였다2,8,9).
추가적으로 개발된 PAR 추정모델을 이용하여 PAR 한반도 지도를 그리기 위해 기상청에서 운영하는 60개의 종관기상관측소(ASOS)에서 관측된 시간 평균 수평면전일사량과 상대습도, 온도 관측값을 사용하였다.
Table 1
Geophysical information of observation sites
| Station | Latitude (°N) | Longitude (°E) | Height (m) |
| Anmyeondo (S1) | 36.57 | 126.32 | 28 |
| Wando (S2) | 34.31 | 126.75 | 10 |
| Pyeongchang (S3) | 37.48 | 128.52 | 1187 |
| Samcheok (S4) | 37.22 | 129.30 | 283 |
2.2 PAR 추정모델
앞선 연구들에서는 PAR를 추정하는데 있어 PAR/GHI의 비와 기상요소를 모두 사용할 때 보다 정확하게 추정할 수 있음을 제시하였다3,4,5). 그리고 이 두 요소는 시공간적인 변화가 크게 나타나 지역별 분석이 선행될 필요가 있다. 시공간적인 변화에 대한 오차를 최대한 보완하기 위한 경험모델 방법론은 Hu and Wang5)에 의해 제안되었으며, Hu et al.2)에서 이를 검증하였다.
MODEL-A는 가장 간단한 모델으로, 단순히 PAR와 GHI간 비를 이용하였다.
a는 회귀계수로, 분석된 지역과 기간에 따라 변동될 수 있다.
선행연구에 따르면, PAR와 GHI의 비는 태양천정각()과 에어로졸에 따라 감소하고, 수증기와 구름에 따라 증가한다2,10,11). 해당 결과는 태양복사가 대기를 통과할 때 수증기, 구름, 에어로졸에 의한 산란, 흡수, 투과되는 정도가 파장 범위에 따라 다르게 나타남을 보여준다. 청천지수 를 사용하면 산란과 흡수과정을 종합적으로 나타낼 수 있음을 확인하였다3,4). MODEL-B는 를 사용하여 대기에서의 산란과 흡수과정을 나타내 PAR를 보다 정확하게 추정하고자 하였다.
a, b, c는 회귀계수다. 그리고 청천지수 는 아래 식(3)과 같다.
는 대기외상한 수평면전일사량으로, 태양과 지구사이의 기하학적 관계로 식(4)로 계산할 수 있다12). 이 중 은 PAR 영역의의 대기외상한 값으로, 의 약 39%다13).
는 태양상수로 1367 이다. 는 태양궤도보정인자고, 는 위도, δ는 태양적위, 는 시간각이다.
자외선을 추정하는 선행연구에서는 정확성 향상을 위해 자외선 영역의 청천지수인 를 사용하였다14,15). 유사한 방법으로 지표면에 도달하는 PAR 일사량을 추정하는데 있어 PAR 영역의 청천지수 를 사용하여 정확성 향상을 확인하였다. MODEL-C는 와 태양복사가 대기를 통과하는 직접적인 광학경로인 상대광학대기질량(relative optical airmass; m)을 사용해서 나타냈다. PAR와 GHI와의 비는 시공간적 변동성이 커, 이를 이용한 앞의 두 추정모델은 각 관측소에서만 사용이 제한된다. Hu et al.2)에서 와 m과 같은 무차원의 매개변수는 지역적인 기후변동성에 영향을 크게 받지 않음을 확인하였다.
a, b, c는 회귀계수다. 상대광학공기질량(relative optical airmass, m)은 태양복사가 지구 대기를 통과하는 직접적인 광학경로길이로 정의된다. m은 Kasten and Young16)의 방법론을 사용하고 다음 식(6)과 같다.
식(6)에서의 는 식(7)과 같이 정의될 수 있으며, 이론적으로 계산된 을 통해서 PAR를 추정할 수 있다.
구름이나 에어로졸과 같은 감쇄요인은 지표면에 도달하는 PAR의 세기에 영향을 줄 수 있다. 그래서 MODEL-D는 청천에서의 PAR 투과율 (식(9))을 사용해 맑은 날씨에서의 보편적인 감쇄효과를 나타내었고, 를 같이 사용하여 대기의 전반적인 상태를 표현하였다(식(8)).
a, b, c는 회귀계수다. 식(9)에서 는 맑은 날씨에서 관측된 지표에 도달하는 PAR 일사량 값이고, m의 함수로 나타낼 수 있다. 맑은 날씨는 Hu et al.2)의 방법과 동일하게 가 0.7을 기준으로 그보다 클 때로 정의하였다. PAR 추정모델 개발과 동일하게 안면도에서의 3년 관측값을 이용해 추정모델을 개발하였으며 2년 관측값을 이용해 검증하였다. 각 모델들의 회귀계수는 Table 2에 나타내었다.
Table 2
Estimation model parameters
| a | b | c | |
| MODEL-A | 0.43 | ||
| MODEL-B | 0.46 | -41.36 | 11.99 |
| MODEL-C | 1.10 | 0.87 | -0.11 |
| MODEL-D | 1.34 | 0.88 | 1.25 |
Fig. 2은 m 값의 변화에 따른 지표에 도달하는 PAR의 변화를 나타낸 것이며, m이 증가함에 따라 감소가 뚜렷하게 나타난다. 이러한 관계를 와 m의 함수로 구성하였다. Fig. 3과 Table 3은 S1에서 개발된 추정모델을 각 사이트에 적용한 결과로 지점별로 오차의 정도가 다르게 나타나지만, 가 S1에서 0.986으로 가장 높게 나왔고, 타지역에서도 0.951 (S2), 0.925 (S3), 0.947 (S4)로 높게 나와 m을 통해 을 추정할 수 있음을 확인하였다.
Table 3
The etatistical estimators of estimation model at sites.
3. 결과 및 토의
3.1 S1에서의 PAR 변동성
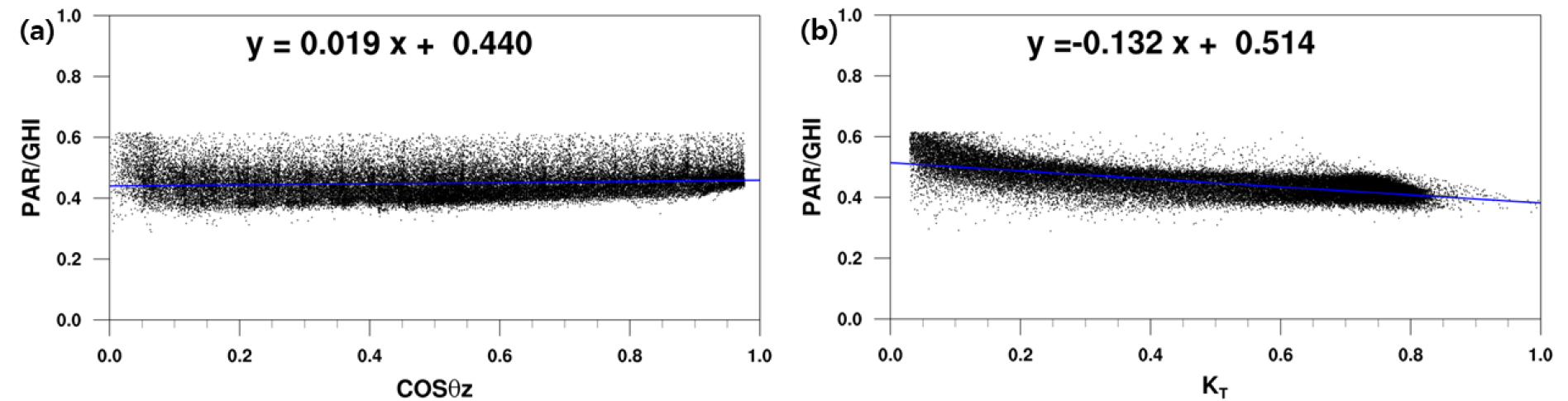
Fig. 4는 S1에서 관측한 2016년부터 2020년까지 총 5년의 PAR와 GHI 사이의 관계성 및 PAR와 태양천정각(), 와의 민감도를 나타낸 것이다. Fig. 4a에서는 PAR와 GHI사이의 slope가 0.43로 나타났으며, 이는 앞서 언급한 라는 선행연구의 결과와 비슷한 값을 보이나 다르다13). 이는 태양복사가 대기를 통과하며 수증기, 에어로졸, 가스 등에 의한 감쇄가 PAR보다 긴 파장에서 보다 많이 일어난 것으로 해석된다. 이 값을 중심으로 흡수, 산란의 파장별 차이에 따라 PAR와 GHI의 비가 변동될 수 있음을 의미한다. 일반적으로 PAR와 GHI의 변화는 과 구름에 의해 발생한다. 이 커짐에 따라서 태양복사가 대기를 통과하는 광학경로가 길어진다. Fig. 4b에서는 광학경로가 짧아짐에 따라(가 커짐에 따라) PAR의 값이 커지는 것을 확인할 수 있다. 또한 동일한 광학경로에도 에 따라서 분포가 다르게 나타남을 확인할 수 있다. 동일하게 Fig. 4c를 통해서 하늘이 맑을 때(가 높은 값을 나타낼 때), PAR의 값이 높게 나타나는 것을 확인할 수 있고, 동일한 에서 광학경로길이에 따라 분포가 다르게 나타난다. 이와 같이 PAR는 GHI와 (m)에 따라 변함을 확인하였다.
Fig. 5는 PAR와 GHI의 비를 와 에 따라 나타낸 것으로, Fig. 5a를 통해서는 광학경로가 길어짐에 따라(가 작아짐에 따라) PAR/GHI의 비가 넓게 퍼짐을 확인할 수 있다. 즉, 광학경로가 길 때, 태양복사가 대기를 통과하며 많은 대기성분과 반응하여 비의 변동성이 커짐을 나타낸다3,17). 또한 Fig. 5b에선 가 작아짐에 따라(대기혼탁도가 증가함에 따라) PAR/GHI의 비가 커짐을 확인할 수 있다. 즉, 대기혼탁도가 증가함에 따라 투과되는 정도가 PAR영역에서 긴 파장보다 더 크다는 것을 나타낸다17,18).
3.2 PAR 추정 모델 결과
안면도에서의 2018년부터 2020년까지의 총 3년의 자료로 모델 개발을 하였고, 2016년과 2017년, 총 2년의 자료로 모델 검증을 하였다. Fig. 6을 통해 S1에서의 각 경험모델들을 통해 추정한 추정값과 관측값과의 관계를 나타내고, 자세한 통계값은 Table 4에서 나타내었다. 가장 간단한 모델인 MODEL-A은 0.988의 로 높은 추정정확성을 보였고, 선행연구에서도 유사한 결과를 확인하였다2). 하지만 Root Mean Square Error (RMSE)와 Mean Bias Error (MBE)에서 다른 모델에 비해 낮은 정확성을 보인다. 이는 대기상태가 계절과 시간에 따라 큰 변동성을 나타내지만, MODEL-A는 단순히 PAR와 GHI간 비만을 이용했기 때문에 이 변동성이 충분히 반영되지 않아 오차가 크게 나타났다.
Table 4
Statistical estimators of each empirical models at S1
MODEL-B는 구름, 에어로졸, 수증기 등의 모든 대기감쇄효과가 포함되어있는 청천지수 가 적용되어 MODEL-A보다 Root Mean Square Error (RMSE), MBE, 모두 향상을 보였고 특히 MBE가 가장 낮은 값을 나타내었다. MODEL-C에서는 MODEL-B보다 , RMSE 모두 향상을 나타내었다. 또한, MODEL-D에서는 다른 3개의 모델에 비해서 RMSE와 에서 가장 높은 추정정확성을 나타내었다. 이 결과는 Hu et al.2)과 비교할 때 비슷한 결과로 청천에서의 PAR 투과율인 와 청천지수 를 사용하여 대기상태지표 등을 종합적으로 고려하여 PAR를 더 정확하게 추정할 수 있음을 말한다.
3.3 타지역에서의 PAR 추정 모델 결과 및 사용가능성 평가
S1에서 개발된 PAR 추정모델을 가지고 타지역에서의 사용가능성을 평가하기 위해 S2, S3, S4의 5년간 자료로 검증하였고, 자세한 통계값은 Table 5에서 나타내었다. S1에서와 동일하게 모든 관측지점에서 다른 모델에 비해 MODEL-D에서 가 가장 높은 값을 보였고, RMSE도 가장 낮아 가장 좋은 추정정확성을 나타냈다. 반면, 가장 간단한 모델인 MODEL-A는 가 가장 낮고 RMSE도 가장 크게 나타났고, 이는 관측소별 지역적인 기후 변동성을 반영하지 못한 결과로 판단된다. 이 결과는 Hu et al.2)와 같은 결과이다. 즉, , m과 같은 무차원의 매개변수는 지역적인 기후 변동성에 큰 영향을 받지 않아 이러한 변수들을 사용한 MODEL-C, MODEL-D는 타지역에 대해서 사용이 충분히 가능함을 나타내었고, 특히 MODEL-D는 보다 좋은 추정정확성을 나타내었다.
Table 5
Statistical estimators of each empirical models at S2, S3, S4
관측소별 과대모의하는 경향이 다르게 나타나는데 이는 해당 지역의 특성이 반영된 결과다. 각 관측소의 지역적인 특성을 파악하기 위해 월별 상대습도의 변화와 PAR/GHI의 비의 변화를 Fig. 7을 통해 나타내었다. 겨울에 건조하고 여름에 습한 한반도의 계절적인 특성으로 인해서 여름엔 대기 중에 존재하는 수증기가 많아, 그로 인해 PAR보다 긴 파장인 적외선에서의 흡수가 더 많이 일어나 PAR/GHI의 비가 크게 나타난다. 이와 반대로 겨울엔 수증기가 적어 비가 낮아짐을 확인할 수 있고 Hu et al.2)와 동일한 결과다. 이러한 변동성과 PAR/GHI의 비의 크기가 관측소별로 다르게 나타남을 Fig. 7에서 확인할 수 있고, 이로 인해서 가장 낮은 비를 보이고 다른 관측소보다 큰 차이를 보이는 S4의 경우, PAR/GHI의 비가 낮은 값을 나타내기 때문에 PAR 추정 모델을 통해 추정된 PAR 값이 다른 모델에 비해 MBE가 15 ~ 17%로 크게 과대모의를 하는 것을 Table 4를 통해 확인할 수 있다. 이 결과는 관측소별로 가지는 지역적인 기후변동성이 각기 달라 입력변수들이 각 관측소별로 영향을 끼치는 정도가 다르게 나타남을 시사한다.
위의 결과와 같이 관측소마다 지역적인 기후변동성이 다르기 때문에 를 추정한 결과인 Table 3 과 PAR 추정결과인 Table 5에서 관측소별 나타나는 오차의 크기가 다르게 나타났다. 이는 지역적인 기후변동성을 반영하는 것은 보다 정확한 PAR 추정에 있어 중요하다는 것을 시사한다. 그래서 앞선 4개의 모델 중 무차원의 매개변수를 사용하여 S1을 비롯한 모든 관측소에서 가장 높은 추정정확성을 보인 MODEL-D에서 상대습도와 기온을 추가하여 새로운 모델 MODEL-E을 정의하고자 기존에 S1에서 모델을 개발 및 검증하여 타관측소에 적용했던 방법과 달리 모든 관측소에서 2016년부터 2018년까지 3년 자료를 모델 개발에, 2019년부터 2020년까지 2년 자료를 모델 검증에 사용하였다. MODEL-E는 다음 식(10)과 같다.
a는 회귀계수로, 0.081 K-1이다. 여기서 RH는 기존의 %에서 100을 나눠 사용했으며, T도 절대온도(K)로 변환하여 사용하였다. 는 앞선 식(7)과 같고, 식(7)에서의 기존에 m만으로 을 나타냈던 것과 달리 RH와 T를 고려하여 다음 식(11)과 같이 나타내었다.
a는 회귀계수로, 32.196 W m-2 K-1 이다. Table 6과 Table 7은 앞서 말한 것처럼 2016년부터 2018년까지 총 3년의 자료로 새로운 에 대한 추정모델과 기존의 m만 사용한 추정모델에 대한 비교와 MODEL-D와 MODEL-E의 비교를 나타낸 것이다. 해당 검증은 모두 2019, 2020년 총 2년으로 동일한 자료를 사용하였다. Table 6과 Table 7에서 볼 수 있듯이, RH와 T를 고려했을 때, 와 RMSE는 유의미하게 향상되지 않았지만, MBE에 있어 아주 큰 감소가 일어났다. 이는 RH와 T로 지역적인 기후변동성을 고려해주었을 때, 관측소별로 발생했던 과소/과대모의했던 현상이 보완됨을 나타낸다.
Table 6
Statistical estimators of estimation models
| slope | yintercept |
RMSE (rRMSE) |
MBE (rMBE) | ||
| m | 1.01 | 8.69 | 0.943 |
23.873 (9.01%) |
10.218 (3.86%) |
| m, RH, T | 0.95 | 12.69 | 0.946 |
21.769 (8.56%) |
-0.316 (-0.12%) |
Table 7
Comparison between MODEL-D and MODEL-D
| slope | yintercept |
RMSE (rRMSE) |
MBE (rMBE) | ||
| MODEL-D | 1.05 | 2.07 | 0.982 |
16.016 (10.75%) |
9.091 (6.10%) |
| MODEL-E | 0.98 | 2.36 | 0.984 |
13.905 (9.97%) |
-0.449 (-0.32%) |
이러한 결과를 바탕으로 특히 가장 추정정확성이 높다고 판단되는 MODEL-E가 한반도 전지역에 대해서 적용할 수 있다고 판단하고, 기상청의 종관기상관측(ASOS) 60개 관측소에서 관측되는 수평면전일사량을 이용하여 각 관측소의 PAR를 추정하였고 내삽법 중 하나인 역거리가중치법을 이용해 10시에서 14시까지의 월평균 PAR 한반도 지도를 Fig. 8와 같이 나타내었다. 5월에 가장 높은 PAR값을 나타내었고, 12월에 가장 낮은 값을 나타냈다. 이는 태양고도각의 변화와 계절적인 날씨의 영향으로 인한 것이다. 여름(JJA)이 봄(MAM)보다 태양고도각이 높지만, 한반도의 여름에는 장마로 인해서 많은 비가 내리는 시기가 있어 맑은 날씨가 적어 높은 태양고도각에도 불구하고 PAR값이 봄보다 낮게 나타난다. 특히 장마가 진행되는 7월에 급격히 감소하는 모습을 보이고 이후, 장마가 끝나는 8월에 상승한다. 이후 태양고도각이 감소하며 9월부터 PAR가 낮게 나타나고 12월에 PAR가 최소로 나타난다.
4. 결 론
국립산림과학원에서 운영하는 안면도 플럭스 타워에서 관측된 수평면전일사량과 광합성유효복사의 관계를 확인하였고, 이러한 결과를 가지고 관측된 GHI를 사용해 PAR를 추정해보았다. 선행연구에서 제시된 경험모델의 방법론을 적용하여 그 결과를 확인하였다.
특히, MODEL-A처럼 단순 상수로 모수화하는 방법보다 를 사용해 대기에서 일어나는 모든 감쇄효과를 고려하였을 때, 보다 좋은 설명성을 확인하였다. 특히, MODEL-D는 안면도에서 가장 높은 와 가장 낮은 RMSE로 가장 좋은 추정정확성을 보여주었다. 이러한 결과를 가지고 안면도 자료를 사용한 PAR 추정 모델을 완도, 평창, 삼척에 동일하게 적용하였다. 타 관측소에서도 가 0.977 ~ 0.988로 높은 추정정확성을 보여 타지역에서의 사용가능성을 확인하였다. 또한 MODEL-D가 모든 관측소에서 가장 높은 와 가장 낮은 RMSE를 보여 무차원의 매개변수인 청천에서의 PAR 투과율 와 청천지수 을 사용할 때, 지역적인 기후변동성에 큰 영향을 받지 않고 높은 정확성을 나타냄을 보였다. 즉, 관측소의 GHI 관측값만 있다면 이론적으로 구할 수 있는 와 m으로 계산할 수 있고 MODEL-D를 이용해 높은 정확성으로 PAR를 추정할 수 있음을 의미한다.
하지만 관측소별로 과소/과대모의하는 경향이 발생하였고, 이에 대해 RH와 PAR/GHI에 대한 분석을 한 결과, 지역적인 기후변동성이 반영되어 해당 편향이 발생했음을 확인하였다. 이러한 분석을 바탕으로 보다 정확한 PAR 추정을 위해 지역적인 기후변동성을 반영하고자 기존의 높은 추정정확성을 보여줬던 MODEL-D에 RH와 T를 추가하여 새로운 추정모델인 MODEL-E를 정의하여 MODEL-D와 비교한 결과, 와 RMSE는 크게 향상되지 않았지만 MBE에서 큰 향상을 나타냈다. 그래서 기후변동성을 반영한 MODEL-E가 지형에 따라 다른 기후를 나타내는 한반도에 적용할 수 있다고 판단하였다. 하지만 사용된 관측소가 대부분 해안지역에 위치해있고, 내륙지역에 위치한 S3는 해발고도가 높다. 또한 플럭스타워의 특성상 도심지역이 아닌 교외지역에 위치한다. 그래서 지대가 낮은 내륙지역이나 도심지역에 대해서 사용하게 된다면, 해당 지역의 기후변동성이 충분히 반영되지 못해 오차가 발생할 수 있다. MODEL-E는 상대습도와 기온을 모두 포함해, 수평면전일사량만을 필요로 하는 MODEL-D보다 정확하게 PAR를 추정할 수 있다는 장점이 있지만 더 많은 종류의 관측값을 필요로 한다는 단점이 있다. 하지만, MODEL-D도 아주 높은 추정정확성을 보여주기 때문에 관측소별 산출되는 관측 종류에 따라 유연하게 적용하면 될 것으로 보인다. 기상청의 종관기상관측소(ASOS)의 수평면전일사량과 MODEL-E를 이용한 월별 PAR 한반도 지도를 나타내 한반도에서 나타나는 PAR 분포가 월마다 변화하는 정도를 확인하였다.
본 연구 결과는 PAR를 입력변수로 사용하는 다양한 분야에서 활용가능할 것으로 생각된다. 특히, 앞서 언급한 신재생에너지 발전의 방법 중 하나인 태양광 발전을 위한 적합한 장소선정 등 정책입안의 기초자료로 활용될 수 있을 것으로 기대된다. 또한 추후 연구에서는 보다 많은 지역에서의 관측값을 확보해 한반도 전체지역에 대해서 오차가 줄이는 연구가 가능할 것으로 보인다.










