1. 서 론
2. 실증시스템
2.1 실증주택
2.2 자연순환형 태양열 급탕시스템
2.3 모니터링시스템
3. 자연순환형 태양열 급탕시스템 분석
3.1 기후분석
3.2 태양열 급탕시스템의 동적거동
3.3 태양열 급탕시스템의 열성능
4. 결 론
1. 서 론
2014년 기준 전 세계 태양열시스템에 의한 연간 에너지 공급량은 약 357 TWhth로, 이 중 67%가 단독주택의 급탕용이다. 신재생에너지 가운데 풍력에너지 865 TWhel에 이은 두 번째로 태양광발전량 275 TWhel보다 약 30% 많았으며, 국가별로 연 평균 9~34%의 보급 증가율을 보이고 있다1). 이에 반해 국내 태양열시스템 보급은 2009년 90 천 m2(집열기 설치면적)으로 피크를 기록한 이후 2014년까지 매년 평균 -18%의 감소세를 보이고 있다2). 특히 보급대상은 집열면적 10 m2 이상의 중소규모 급탕시스템이 80%를 차지하고 있으며, 4~8 m2 규모의 가정용 태양열 급탕시스템(또는 태양열온수기)은 20%에 머무르고 있다. 이와 같이 국내 주거용 건물에 대한 보급 부진에 대한 원인을 살펴보면, 동절기 태양열의존율 저하와 하절기 시스템 과열에 따른 빈번한 고장발생이 주요 문제점3)으로 지적되고 있다. 또한 기존주택의 옥상이나 지붕면에 설치되는 집열기의 의장적 측면에서 부조화가 두드러지고 있으며, 신축주택의 경우 태양열시스템 도입이 거의 배제되고 있는 실정이다.
이와 관련한 연구동향을 살펴보면 Sohn4)은 강제순환 태양열급탕시스템에서 집열기 면적과 설치각도에 따른 열성능을 TRNSYS 시뮬레이션을 이용하여 분석하였다. 하절기 태양열의존율의 상한선을 90%로 설정한 상태에서 축열조의 온도를 80℃ 이하를 유지하는 기준으로 시스템의 적정성을 평가하였으나, 이때 집열매체의 열적거동에 관련한 하절기 과열문제 등은 언급되지 않았다. Back 등5)은 동일한 규모 단독주택 4세대에 설치된 태양열 급탕시스템의 연간 동적 작동특성과 열성능을 실증하였으며, 그 결과 각 세대의 높은 태양열의존율(69.8~91.5%)에 따른 시스템의 효율 저하와 하절기 과열문제를 제기하였다. 한편 Harrison 등6)은 집열기에서 고온의 정체온도(stagnation temperature) 발생에 따른 태양열시스템 고장의 유형을 파악하고, 정체조건을 완화하기 위한 다양한 방안을 제시하였으며, 이 중에서 자연순환방식(thermosiphon type)을 비교적 신뢰성 있는 시스템으로 제안하였다.
이와 같은 태양열 급탕시스템의 문제점을 해소하고자 한 방안으로 벽체일체형 태양열집열기와 이를 활용한 태양열온수기의 개발이 모색되고 있다.
따라서 본 연구에서는 벽체일체형 자연순환식 태양열 급탕시스템의 효용성을 평가하기 위해, 국내 최초로 이 시스템이 적용된 실증주택을 대상으로 시스템의 동적거동과 열성능을 분석하였다.
2. 실증시스템
2.1 실증주택
실증주택은 충청남도 공주시에 위치하고 있으며 상수도 공급이 되지 않는 지역으로 지하수를 사용하고 있다. 100 m의 관정을 취수된 지하수 온도는 연간 평균 15℃를 유지하고 있다.
Fig. 1은 주택전경을 나타낸 것이다. 지상 2층 구조에 연면적은 166 m2이며, 부부가 상주하고 2명의 자녀가 비정기적으로 방문하고 있다. 주택의 남쪽 수직벽면에 태양열집열기가 벽면일체형으로 설치되어 있다.
Fig. 2는 태양접근성 분석을 위해 해당부지의 태양궤적도를 나타낸 것이다. 주택은 동서측이 산으로 둘러싸인 골짜기에 위치해 있어서 일출부터 오전 9시 전후, 오후 4시 전후부터 일몰까지 주변 산에 의해 집열부에 그림자가 지는 것을 알 수 있다. Ecotect7)으로 해석한 결과 남측 수직면의 경우 미 차폐 시에 비해 연간 8% 정도의 총일사량이 감소하는 것으로 분석되었다.
2.2 자연순환형 태양열 급탕시스템
Fig. 3은 태양열 급탕시스템의 계통도를 나타낸 것이다. 시스템은 남측 벽면에 일체형으로 설치된 5.4 m2의 대면적 집열기와 2층 기계실에 300 L의 수평형 태양열 축열조로 구성되어 있다. 축열조는 이중탱크 방식으로 외부에는 집열매체인 부동액이, 내부에는 온수로 채워져 있으며, 외부에 있는 집열매체가 집열기에 의해서 가열되어 내부에 있는 온수를 가열하게 된다. 또한 보조열원으로 1 kW의 전기히터가 내부 축열조의 중상단부에 설치되어 있다. 이 시스템은 태양열로 가열된 열매체가 열사이폰(Thermosyphon)에 의해 자연순환하는 온수기로, 열매체 순환펌프 및 제어장치가 필요 없게 된다.
Fig. 4는 집열기가 설치된 면의 단면을 나타낸 것이다. 2″×10″구조목에 235 mm 셀로로이즈 단열재로 충진되고 11 mm OSB 합판으로 마감된 벽체에 2″× 6″의 구조목을 설치한 후 그 내부에 집열기를 수직으로 부착하였다. 집열기가 설치되지 않는 벽체 부위는 OSB 합판에 스타코로 마감되었다.
Fig. 5는 집열기 배관 및 열매체 흐름도를 나타낸 것이다. 외기를 통한 열손실을 줄이고 집열기 설치가 용이하도록 축열조에서 집열기로 연결되는 열매체 공급관 및 환수 관을 집열기 내부에 삽입하였다.
Table 1은 KS B ISO 9806-1 기준에 따른 태양열 집열기 성능시험 결과를 표시한 것이다. 투과면적기준 광학적 최고효율(
)과 열손실계수(
)는 각각 0.725와 5 W/m2K이다.
Fig. 6은 본 집열기의 법선면 기준 직달일사 입사각에 따른 입사각수정계수를 나타낸 것이다.
2.3 모니터링시스템
태양열시스템의 동적거동과 열성능을 분석하기 위해 웹 기반 원격 모니터링시스템을 구축하였다. 데이터는 TCP/IP통신을 통해 1분 간격으로 서버컴퓨터에 전송 및 저장되며 사용자는 인터넷통신망을 이용하여 실시간으로 데이터를 확인 할 수 있다. Table 2는 데이터 측정항목을 나타낸 것이다. RTD 및 T-type 온도센서 총 9(축열조 상단 온수출구(1), 급수 배관(1), 열매체 배관 입․출구(2), 집열기 후면(3), 벽체 내부(2))개와 열매체 순환유량용 적산유량계, 보조열원용 전력량계 등을 설치하였다.
3. 자연순환형 태양열 급탕시스템 분석
3.1 기후분석
태양열 급탕시스템 분석기간은 2014년 1월부터 2014년 12월까지 1년을 기준으로 하였다.
Fig. 7은 실증주택 인근 대전 기상청에서 측정된 연간 월별 일평균 외기온 및 수평면일사량을 비교한 것이다. 일평균 외기온은 12월이–1.2℃로 가장 낮았으며 7월이 25.9℃로 가장 높게 나타났다. 또한 월별 일평균 수평면 일사량은 5월이 6.8 kWh/m2·d으로 가장 많았으며, 가장 적은 12월의 2.2 kWh/m2·d에 비해 약 3배 많은 것으로 분석되었다.
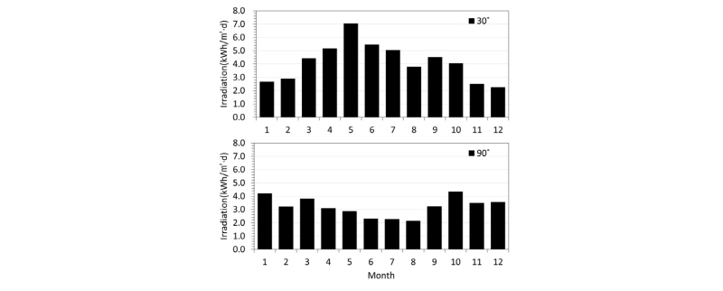
Fig. 8은 남측 경사각에 따른 집열면 월별 일평균 일사량을 TRNSYS로 해석한 결과이다. 남측 30° 경사면은 지붕에 설치되는 태양열 집열기의 일반적인 설치각도를 나타내며, 수직면은 실증주택에서의 설치각도를 의미한다. 30° 경사면의 연간 총 일사량은 1,543 kWh/m2로, 수직면의 1,194 kWh/m2에 비해 약 29% 많은 것으로 나타났다. 월별 일사분포를 살펴보면 30°경사면의 경우 급탕부하가 적은 하절기에 일사량이 증가하는 반면, 수직면(90°)에서는 급탕부하가 많은 동절기 일사량이 증가하고 하절기에 감소하고 있다.
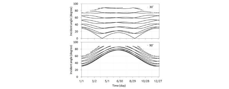
한편 Fig. 9는 동일조건에서 직달일사의 연간 시간별 입사각(집열면 법선기준)을 각각 나타낸 것이다. 과열이 문제시되는 하절기 수직면에 입사되는 직달일사의 입사각은 60°이상으로 Fig. 6의 입사각 수정계수를 고려할 때 집열기 유리커버를 투과하는 실제 일사량은 더욱 감소하게 된다. 이에 반해 30°경사면의 하절기 직달일사 입사각은 대부분 60°이하로 투과되는 실제 일사량은 큰 변화가 없게 된다.
3.2 태양열 급탕시스템의 동적거동
Fig. 10은 태양고도가 가장 낮은 12월 축열조로부터 공급되는 온수(축열조 상단부 온도)의 온도를 나타낸 것이다. 급탕 공급온도는 최대 76℃까지 상승하고 있으며, 축열조 상단부의 온도가 37℃ 이하로 떨어질 때 보조열원의 작동에 따라 43℃까지 승온되는 것을 알 수 있다. 37℃ 이하의 온도저하는 (과다한) 급탕사용에 비해 보조열원의 용량이 작기 때문에 발생한다. 이 기간 보조열원의 전력사용량은 일평균 3.5 kWh로 나타났다.
Fig. 11은 12월 집열기로 들어가는 열매체의 입구(collector inlet) 및 출구(collector outlet) 온도를 나타낸 것이다. 출구온도는 최대 84℃ 미만으로 열매체의 비등은 발생하지 않고 있다. 외기조건에 따라 열매체 순환 시 일별 공급 및 환수 최고 온도차는 9~26℃의 범위를 보이고 있다.
Fig. 12는 하절기인 7월 축열조로부터 공급되는 온수의 온도(축열조 상단부 온도)분포를 나타낸 것이다. 급탕공급 최대온도는 47℃ 이하를 유지하고 있으며, 동절기에 비해 오히려 낮은 분포를 보이고 있다. 7월 12일부터 8월 2일까지 보조열원의 작동이 중지된 상태에서 태양열 공급만으로 30~44℃의 온수가 공급되고 있다.
Fig. 13은 7월 열매체의 집열기 입구 및 출구온도를 나타낸 것이다. 집열기 출구의 열매체 최고온도는 55℃를 초과하지 않으며, 기존의 태양열 온수기5)에서와 같은 하절기 과열현상은 전혀 발생하지 않고 있다. 또한 열매체 순환 시 집열기 입·출구 온도차는 4~20℃로서 동절기와 비교할 때 감소하고 있다. 전술한 바와 같이 하절기 남측 수직면의 일사량이 30° 경사면에 비해 적어진 상태에서 입사각의 증가로 인해 실제 흡수판에 도달하는 일사량이 더욱 감소한 것에 기인한다.
Fig. 14는 12월 벽체와 면한 집열기의 후면온도를 스타코로 마감된 동일한 위치의 벽체내부와 비교한 것이다. 일사조건이 양호한 경우 집열기 후면의 온도가 28℃ 이상 높아지는 것을 알 수 있다. 이것은 외기에 노출된 기존의 집열기에 비해 일체형 집열기의 열손실이 감소하는 것을 의미하며, 이로 인해 벽면을 통한 열손실이 감소하게 되어 결과적으로 주택의 난방부하 또한 줄어들게 된다. 이 기간 동안 집열기 후면의 온도가 벽체내부에 비해 평균 2.7℃ 높은 것으로 나타났다.
Fig. 15는 Fig. 14와 동일조건에서 7월의 두 온도를 비교한 것이다. 12월과 대조적으로 주야 집열기 후면의 온도가 집열기가 미설치된 벽체의 내부온도와 거의 동일한 것을 알 수 있다. 이것은 하절기 일체형 집열기 설치에 따른 냉방부하 증가의 우려를 불식시키는 것이다.
3.3 태양열 급탕시스템의 열성능
Fig. 16은 주택의 월별 일평균 급탕사용량과 급탕공급온도를 나타낸 것이다. 하절기(6~8월) 급탕사용량이 동절기나 중간기에 비해 현저하게 줄어드는 것을 알 수 있다. 10월이 294 liter로 가장 많았으며 가장 적은 7월의 148 liter에 비해 약 50% 이상 증가하였다. 특히 가을(9~11월)이 급탕사용량이 많았던 이유는 농촌주택 특성상 수확기의 작업량 증가로 추정된다. 연간 총 급탕사용량과 일평균 사용량은 각각 75,120 liter와 206 liter가 되었다. 한편 급탕온도를 살펴보면 년 평균 급탕공급온도는 43℃로 나타났으며, 중간기와 동절기의 급탕온도가 하절기에 비해 3~5℃ 높은 온도를 유지하였다.
Fig. 17은 월별 급탕부하와 태양열의존율을 나타낸 것이다. 실증주택의 연간 총급탕부하는 2,437 kWh로서 25~34평형 규모 공동주택의 가구당 급탕부하, 2,529 kWh/a8)와 유사한 수준으로 파악되었다. 월별 태양열의존율은 51~87%로 나타났으며, 2월과 12월이 가장 낮고, 7월이 가장 높았다. 태양열 총 공급열량은 1,564 kWh로서 연평균 의존율은 64%가 되었다.
4. 결 론
본 연구에서는 실제 거주하는 주택에 설치된 벽체일체형 자연순환 태양열 온수급탕시스템에 대한 동적거동 및 열성능을 평가하였다. 이를 위해 실증주택을 대상으로 웹기반 원격모니터링시스템을 통해 수집된 1분 간격의 연간 데이터를 분석하였다. 그 결과를 요약하면 다음과 같다.
(1) 실증주택의 연간 총 급탕량과 급탕부하는 각각 75,120 liter와 2,437 kWh로 나타났으며, 월별 태양열의존율은 51~87%로서 연평균 64%로 분석되었다.
(2) 태양고도가 가장 낮은 12월 급탕공급온도는 37~76℃로 나타났으며, 집열 열매체 순간 최고온도는 84℃ 미만, 그리고 집열기 열매체의 집열기 입출구 온도차는 9~26℃ 정도로 집열매체가 원활하게 순환되는 것으로 나타났다.
(3) 태양열시스템의 큰 문제점 중에 하나인 하절기 과열현상이 본 시스템에서는 전혀 발생하지 않았으며, 오히려 하절기 태양열에 의해 공급되는 급탕공급온도는 동절기 보다 낮은 30~47℃로 나타났다. 또한 집열 열매체의 온도는 55℃ 이하를 유지하였다.
(4) 집열기의 벽체일체화로 인해 집열기의 후면으로의 열손실이 감소되어 그로 인한 집열기의 집열성능이 향상될 뿐만 아니라 벽체의 열손실도 감소되기 때문에 건물의 열부하 측면에서 유리하게 작용하는 것으로 분석되었다.
결론적으로 벽체일체형 태양열 온수기는 순환펌프 및 제어기가 없는 상태에서 적절하게 작동하였으며, 기존의 태양열 온수기가 갖는 하절기 과열이나 시스템고장 등의 문제점을 개선할 수 있을 것으로 판단된다.





















