1. 서 론
2. 수치해석 모델 및 방법
2.1 수치해석 모델
2.2 수치해석 방법
2.3 난류모델 선정
3. 결과 및 고찰
3.1 열전달 성능
3.2 압력강하
3.3 성능계수
3.4 열전달 및 압력강하 상관식
4. 결 론
기호 및 약어 설명
THP : Thermal Hydraulic performance [-]
Dh : Hydraulic diameter [m]
h : Convective heat transfer coefficient [W/m2K]
I : Turbulent intensity [%]
k : Thermal conductivity [W/mK]
L : Length of air channel
: Pressure drop [Pa]
: Heat gain of fluid [W/m2]
T :Temperature [℃]
v : Velocity [m/s]
: Friction factor [-]
Nu : Nusselt number [-]
Pr : Prandtl number [-]
Re : Reynold’s number [-]
1. 서 론
화석연료 고갈과 지구 환경오염 문제가 대두되면서 전 세계적으로 재생에너지에 대한 관심이 증가하고 있다. 하지만, 아직 전 세계 에너지 소비의 80% 이상이 여전히 화석연료에 의존하고 있다1). 이와 같은 화석연료의 지속적인 사용은 기후변화, 대기오염 등 심각한 환경문제를 가속하므로 재생에너지 보급 확대가 적극적으로 필요하며, 국내에서도 2050년까지 탄소 중립 등 여러 노력을 펼치고 있다2). 여러 재생에너지 중 태양열 에너지는 타 신재생에너지원보다 설치가 비교적 간편하고 사용이 용이하여 관련 연구도 활발하게 진행되고 있다.
태양열을 변환하는 시스템의 경우 크게 액체식과 공기식으로 분류될 수 있는데, 이 중 공기식은 구조가 액체식 보다 단순하여 초기 투자비가 적고 동파 등의 위험이 없어 유지보수가 용이한 장점을 갖는다. 하지만 공기의 낮은 열전도율로 인해 흡수판에서 공기로의 대류 열전달 성능이 상대적으로 낮다는 단점이 있다. 이를 개선하기 위해 국내외에서 공기식 태양열 집열기 성능 향상을 위한 다양한 연구가 진행되어왔다.
국내의 경우 Shin and Boo (2015)3)는 수치해석 기법을 통해 태양열 공기 집열기 공기 채널 상부 흡열판에 직접 홀을 가공하여, 홀의 패턴 및 형상 변화에 따른 열전달 성능을 분석하고, 주어진 여섯 가지 패턴 중 홀의 개구부가 공기 유동에 마주하는 방향으로 열리고 홀이 전부 흡열판 위에 설치되었을 때 가장 우수한 성능을 보인다고 보고하였다. Choi et al. (2019)4)은 태양열 공기 가열기에 수평형 사각 저항체가 바닥면에 설치되었을 때, 설치 조건에 따른 열전달 성능과 압력강하를 평가하였고, 그 결과 저항체 조건에 따라 열전달 성능은 최대 3.32배, 압력강하는 최대 180배까지 증가할 수 있다는 것을 확인하였다. Lee et al. (2021)5)은 공기식 태양열 집열기 공기 채널 상부 집열판에 Rib-fin 저항체를 부착하여, 저항체 형상과 배열이 열전달 성능 및 압력강하에 미치는 영향을 분석하였다. 그 결과, Rib-fin의 길이가 길어질수록, 간격이 좁을수록 열전달 성능은 감소했으며, 폭이 크고 개수가 많을수록 열전달 성능과 압력강하가 커지는 것을 확인하였다. Kim et al. (2023)6)은 공기식 태양광/열 집열기 대상으로 공기 채널 상부에 비균일 삼각 단면을 갖는 난류 촉진제가 설치되었을 때 열전달 성능 및 압력강하를 평가하였으며, 열전달 성능 향상과 압력강하 증가를 고려한 성능계수 기반으로 최적의 형상 조건을 제시하였다.
국외에서는 Bekele et al. (2014)7)이 태양열 공기 집열기 흡수판에 Delta 형태의 저항체를 부착하여 실험 기반으로 열전달 및 압력강하 특성을 파악하였다. 그 결과, Delta 저항체 설치로 열전달 성능은 최대 6.35배까지 증가하나, 마찰계수도 7.13배까지 증가함을 보였다. Singh et al. (2015)8)은 CFD(Computational fluid dynamics) 해석을 기반으로 태양열 공기 가열기 흡수판에 원형, 사각형, 사다리꼴, 톱니형 립 설치에 따른 열전달 및 압력강하의 특성을 분석하였다. 그 결과, 톱니형 립이 비교적 우수한 열전달 성능을 보이면서 낮은 마찰계수 값을 보여 최적 형태라고 판단하였다. Chand et al. (2022)9)은 흡수판에 루버 핀을 설치한 태양열 공기가열기의 성능을 실험을 통해 평가하였고, 루번 핀 설치 조건에 따라 한 열효율이 기존 시스템 대비 최대 106.7%까지 향상된다고 보고하였다. Alam (2024)10)은 흡수판에 아치 형상과 V자 형상을 병합한 하이브리드 립을 부착시킨 집열기의 성능을 실험을 통해 평가하였다. 그 결과, 아치 형상 혹은 V자 형상만 사용한 경우보다 둘을 같이 활용하였을 때 더 높은 열전달 성능을 얻을 수 있는 것으로 보고하였다. Taghavi and Aghdam (2025)11)은 곡선형 공기식 태양열 집열기의 흡수판에 부츠 형태의 립이 장착된 경우 열전달 성능 향상에 대해 CFD 해석 기반으로 평가를 수행하고, 곡선형 흡수판에서도 립 부착이 열전달 성능 향상에 크게 기여함을 확인하였다.
위의 선행 연구에서 볼 수 있듯이, 대부분의 연구에서 공기식 집열기의 성능 향상을 위해 흡수판에 저항체를 설치하여, 열 및 압력강하 특성을 분석하였다. 또한 일부 연구는 공기 채널 하부에 저항체를 배치하여 성능 향상 정도를 평가하였다. 최근 An et al. (2025)12)은 저항체가 상부, 하부, 상·하부에 설치되었을 때 열 및 압력강하 특성을 비교하고, 열전달 향상 측면에서는 상·하부 모두에 설치하는 것이 유리하다고 보고한 바 있다. 하지만 상·하부에 부착된 저항체의 형상 조건 변화 시 열전달 성능 및 압력강하 정도가 변하게 된다. 따라서 저항체 설치를 통한 집열기의 성능 향상 예측과 집열기 제작을 위한 적절 형상 선정 등을 위해서는 저항체 설치 조건에 따른 열전달 및 압력강하 관련 성능 데이터가 필요하나, 아직 관련 연구는 부족한 실정이다.
이에 본 연구에서는 공기식 태양열 집열기 내 공기 채널 상·하부에 저항체가 설치되었을 때, 저항체의 높이와 설치 간격에 따른 열전달 및 압력강하 특성을 전산해석기법에 근거하여 평가하고자 하였다. 저항체는 제작 및 설치가 용이하면서 종래 연구에서 다른 형상보다 열전달 및 성능계수도 우수하다고 나타난 사분원으로 선정하였다12). 사분원 저항체는 원의 1/4에 해당하는 형상을 저항체로 한 것이며, 호가 공기 출구 방향을 바라보도록 설치되어 있다. 또한 열전달 향상과 압력강하 증가를 함께 고려한 성능계수 비교를 통해 실제 태양열 공기 집열기 적용 적합 조건을 모색하였다. 덧붙여, 향후 집열기 설계 및 성능 예측을 위해, 본 논문에서는 유동 조건인 Re 수와 저항체의 높이, 설치 간격에 따른 열전달 및 압력강하에 대한 상관식 구축까지를 범위로 하였다.
2. 수치해석 모델 및 방법
2.1 수치해석 모델
Fig. 1에는 사분원 저항체가 설치된 태양열 공기 집열기의 개략도를 나타내었다. 해당 집열기는 상부에 흡수판이 있고, 흡수판 하부에 저항체가 설치되어 있다. 또한 공기 채널 하부에도 동일 형상의 저항체가 설치되어 있다. 본 연구에서는 설치된 사분원 저항체의 높이 및 설치 간격에 따른 열전달 및 압력강하 특성을 평가하고자 하였다. 또한 해석은 관련 연구를 참고 하여 2D 모델을 이용한 분석으로 수행하였다4,12,13).
Fig. 2에는 해석을 위해 제작된 2D 모델의 개략도를 나타내었다. 모델은 그림에서 볼 수 있는 바와 같이 상부에는 흡수판, 하부에는 공기 유동 채널로 구성되어 있다. 또한 전열부 출구는 취출 공기의 완전 발달 유동을 위해 ‘ASHRAE standard 93-2002’14)에서 제시한 덕트 최소 길이를 참고하여 공기 취출구를 구성해 놓았다. 제작된 모델에서 흡수판 두께는 1 mm이고 집열기 너비는 1000 mm로 가정하였다. 또한 공기 채널 높이 및 전열부 길이, 출구 덕트 길이는 각각 40 mm, 1,800 mm, 500 mm로 구성하였다.
2.2 수치해석 방법
본 연구에서는 태양열 공기 집열기 내 사분원 저항체의 높이 및 설치 간격에 따른 전열 성능을 평가하기 위해 상용 열유체 해석 프로그램 중 하나인 ANSYS Fluent (2023 R2)를 이용하였다. 저항체의 설치 조건은 덕트 높이 대비 저항체 높이(e/H) 값 0.04, 0.10, 0.16, 0.22, 저항체 높이 대비 저항체 사이 거리(P/e) 값 10, 20, 30, 40으로 주었다. 따라서 총 16가지의 설치 조건에 대해 해석이 수행되었다.
전열부 윗면은 태양에너지 유입을 모사하기 위해 유사 연구를 토대로 1,000 W/m2의 일정 열유속 조건을 주었으며, 입구에 일정 속도 조건, 출구에 대기압 조건을 주었다15,16,17). 입구 유속 조건은 마찬가지로 종래 연구들을 참고하여 Reynolds 수 3,000에서 15,000의 범위로 선정하였고8,9,12), 이에 대응하는 전면 속도는 식(1)을 토대로 약 0.570 m/s에서 2.848 m/s로 나타났다. 난류 강도는 식(2)을 사용하여 구하였다.
Fig. 3과 Table 1에는 저항체 설치 조건 개략도와 해석에 사용된 형상 및 경계 조건을 나타내었다.
Table 1
Geometric and boundary conditions used in the analysis
2.3 난류모델 선정
공기식 태양열 집열기 해석에서는 주로 전도열전달 대비 대류열전달의 비를 나타내는 Nu 수를 토대로 난류모델 선정 및 열전달 성능 향상 정도를 평가한다. 따라서 본 연구에서는 적절한 난류 모델 선정을 위해 유사 연구를 참고하여 Dittus-Boelter 식을 이용해 계산한 Nu 수와 저항체가 설치되지 않은 공기 채널에서 여러 난류 모델을 이용해 구한 Nu 수 값을 비교하였다. Dittus-Boelter 식은 아래 식(3)을 통해 구하였고 난류 모델에 따른 Nu 수는 CFD 해석 결과와 식(4)을 사용하여 구하였다18).
이때, 대류 열전달계수와 공기 평균온도는 식(5)와 (6)과 같다.
Fig. 4와 Table 2에는 Dittus-Boelter식으로 구한 Nu 수와 여러 난류 모델을 통해 구한 Nu 수를 비교해놓았다. 식(7)을 이용하여 이론식과 CFD 해석 결과로 얻은 Nu 수의 절대평균퍼센트오차(Mean Absolute Percentage Error, MAPE)를 비교한 결과 k-w SST 모델이 8.21%로 다른 난류 모델에 비해 오차가 낮게 나타나 해당 모델을 해석을 위한 난류 모델로 선정하였다.
Table 2
Comparison of Nusselt numbers for different turbulence models
3. 결과 및 고찰
3.1 열전달 성능
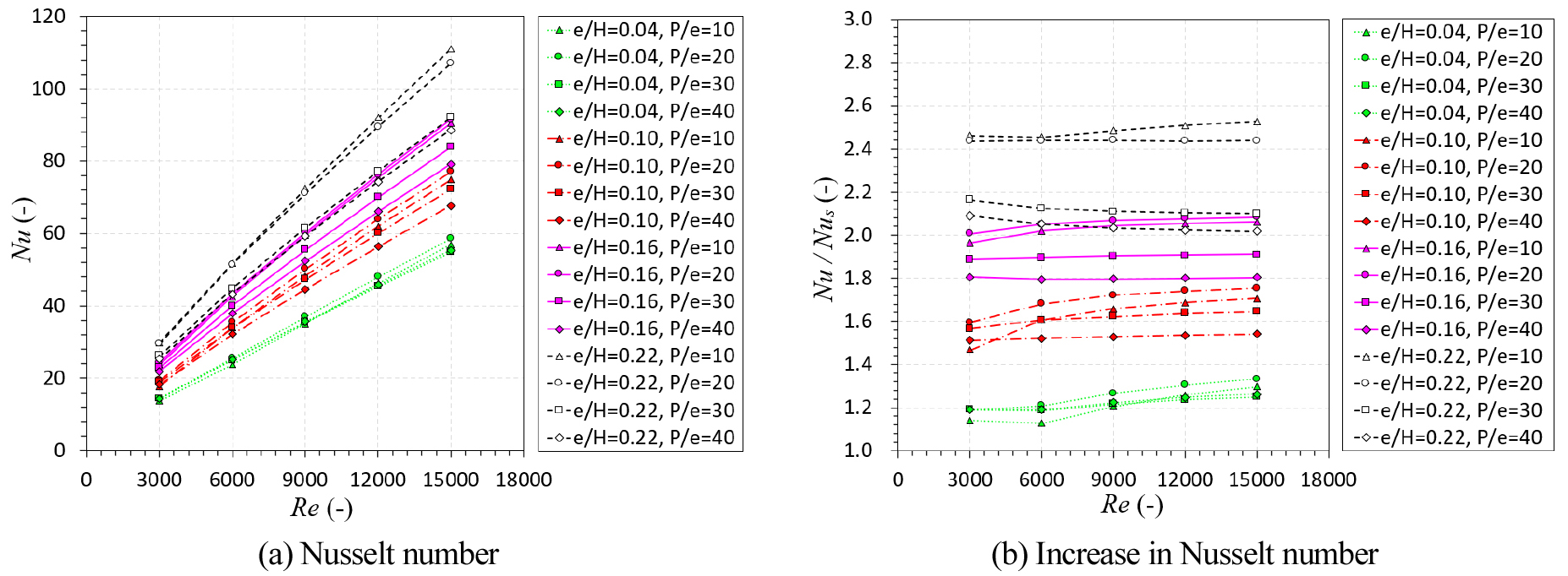
Fig. 5(a)와 (b)에는 식(4)를 통해 구한 Nu 수와 Nu 수 증가 정도를 사분원 저항체의 설치 조건에 따라 나타내었다. 저항체 설치 조건에 따라 Nu 수는 최소 13.80에서 최대 110.89의 값을 보였고, 저항체가 설치되지 않은 경우와 비교하여 최소 1.13배에서 최대 2.53배까지 열전달 성능이 향상되는 것을 확인할 수 있었다. 또한 저항체 높이가 높아질수록 열전달 성능은 향상되는 모습을 보였으며, 이는 저항체 높이가 높을수록 Fig. 6과 같이 난류 강도가 증가하여 온도가 상대적으로 낮은 주 유동 공기와 온도가 상대적으로 높은 전열부 주변 공기의 혼합이 촉진되었기 때문으로 판단되었다.
저항체 설치 간격 변화에 따른 열전달 성능은 Re 수와 관계없이 e/H = 0.04, 0.10, 0.16일 때 P/e = 20에서 가장 높은 값을 나타냈다. 반면 e/H = 0.22인 경우에는 P/e = 10일 때 가장 높은 열전달 성능을 보였다. 또한 P/e = 20을 넘는 경우 설치 개수가 감소하여, 저항체 후단에 유체 혼합을 통해 열전달 성능 향상이 일어나는 구간이 감소하게 된다. 따라서 설치 간격이 클수록 대체로 열전달 성능은 낮게 나타나는 경향을 보였다.
또한 동일 조건에서 설치 높이만 변할 시 열전달 성능은 최소 60%에서 최대 116.1%까지 향상되었으나, 설치 간격 변화 시 최소 4.5%, 최대 열전달 향상 25.15%로 높이에 의한 영향이 더 큰 것을 알 수 있었다.
3.2 압력강하
앞서 확인한 바와 같이 사분원 저항체 설치 시 열전달 성능이 향상되는 것을 알 수 있었다. 그러나 저항체가 설치될 시 유동에 저항으로 작용하며 압력강하가 커지게 된다. 따라서 해당 연구에서는 압력강하 증가 정도를 확인하기 위해 수력직경과 유동 길이, 유속 등을 포함하여 압력강하를 무차원으로 나타낸 마찰인자 값을 해석 결과와 식(8)을 이용하여 구한 뒤 비교하였다.
Fig. 7(a)와 (b)에는 마찰인자와 마찰인자 증가 정도를 나타내었다. 마찰인자는 설치 조건에 따라 0.0156에서 0.3295까지 다양한 값을 보였고, 저항체가 설치되지 않은 경우 대비 최소 1.16배에서 최대 41.38배까지 값이 증가하는 것을 확인할 수 있었다.
설치 높이가 증가하는 경우 마찰인자 값은 커졌으며, 이는 공기채널 내에서 유동 공기에 저항으로 작용하는 부분이 많아졌기 때문으로 판단되었다. 설치 간격에 따른 마찰인자의 경우 모든 높이 조건에서 P/e = 10인 경우 가장 큰 값을 보였다. 이는 설치 간격이 좁을수록 저항체의 설치 개수가 많아져 유동 유체가 더 많은 저항을 받기 때문이다. 반대로 설치 간격이 커질수록 설치되는 저항체 개수가 적어져 마찰인자 값은 감소하는 것을 확인할 수 있었다. 또한 앞서 확인한 바와 같이 저항체 높이가 높을수록 열전달 향상 정도가 컸으나, 마찰인자 값도 크게 증가하는 모습을 보여 저항체 열전달 성능 향상에 압력강하 증가도 수반되는 것을 확인할 수 있었다.
3.3 성능계수
앞서 확인한 바와 같이 집열기 내 공기 채널 상·하부에 사분원 저항체 설치 시 열전달 성능이 향상되나, 압력강하도 증가하는 것을 알 수 있었다. 따라서 저항체 설치에 따른 압력강하 증가 대비 열전달 성능 향상 정도를 비교하기 위해 본 연구에서는 식(9)과 같이 Webb과 Gee에 의해 제시된 성능계수를 확인하였다19).
이때, 와 는 사분원 저항체가 설치되지 않은 경우의 Nu 수와 마찰인자 값을 나타낸다.
Fig. 8에는 사분원 저항체 설치 조건과 Re 수에 따른 성능계수를 나타내었다. 저항체 설치 조건에 따라 성능계수는 최소 0.730에서 최대 1.162의 값을 보였다. Re 수와 저항체 높이가 증가하는 경우 성능계수는 대체로 감소하는 경향을 보였고, 이는 앞선 Fig. 5(b)와 Fig. 7(b)에 나타난 것처럼 유속 및 저항체 높이 증가에 따른 열전달 성능 증가보다 압력강하 증가가 더 컸기 때문으로 판단된다. 즉, 유속 향상과 저항체 높이 증가에 따른 열전달 성능 향상 시 이보다 더 큰 압력강하가 수반됨을 확인할 수 있었다. 또한 설치 간격이 좁을수록 성능계수는 대체로 감소하는 경향을 보였다. 이는 간격이 좁아질수록 저항체 설치 개수 증가에 따른 압력강하 증가 폭이 열전달 향상보다 컸기 때문으로 판단되었다. 또한 조사된 조건에서 Re 수 3,000인 경우에는 e/H = 0.10, P/e = 40일 때 성능계수가 가장 높게 나타났고, Re 수 6,000 이상인 경우에는 e/H = 0.04, P/e = 30에서 가장 높은 성능계수를 보였다. 따라서 성능 측면에서는 Re 수 3,000인 경우 e/H = 0.10, P/e = 40, Re 수 6,000 이상인 경우 e/H = 0.04, P/e = 30로 설치하는 것이 가장 우수한 성능을 나타내는 것으로 판단되었다.
3.4 열전달 및 압력강하 상관식
본 연구에서는 유동 조건과 설치 조건에 따른 열전달 및 압력강하 값 예측을 위해 각 조건과 Nu 수, 마찰인자간의 상관식을 구축하였다. 상관식은 식(10)과 식(11)과 같이 Re, e/H, P/e의 함수로 구성되어 있다.
상관식은 CFD 해석에서 얻어진 결과를 토대로 log-log plot 방식을 통해 구축하였다. 상관식 구축 관련 상세 내용은 종래 문헌을 통해 확인할 수 있으며6), 해당 방법을 통해 구한 최종식은 아래와 같이 나타났다.
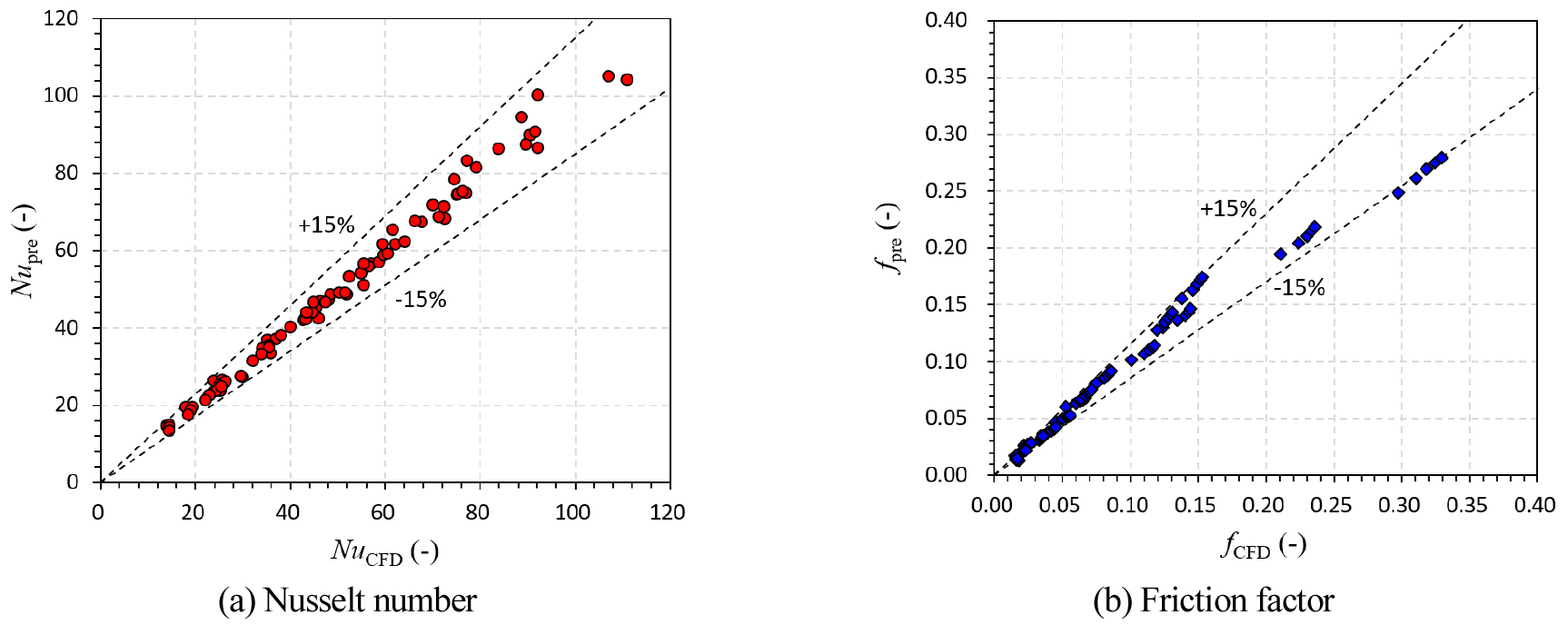
해당 식은 3,000 < Re < 15,000, 높이 0.04 < e/H < 0.22, 설치간격 10 < P/e < 40에서 활용될 수 있다. Fig. 9에는 CFD 해석을 통해 구해진 Nu 수 및 마찰인자와 도출된 상관식으로부터 예측된 Nu 및 마찰인자를 비교해 놓았다. 그 결과 대부분 데이터가 ±15% 범위 내에서 속하였으며, 절대평균퍼센오차는 Nu 수 상관식에서 2.98%, 마찰계수 상관식에서 7.5%로 도출된 식이 Nu 수와 마찰인자 값을 적절히 예측하는 것으로 확인되었다.
4. 결 론
본 연구에서는 공기식 태양열 집열기 내 공기 채널 상·하부에 사분원 저항체가 설치되었을 때 저항체 설치 조건에 따른 열 및 압력강하 특성을 확인해 보았다. 그 결과 다음과 같은 결론을 얻을 수 있었다.
(1) 사분원 저항체 설치 시 설치 조건에 따라 열전달 성능은 최소 1.13배에서 최대 2.53배까지 향상되는 모습을 보였다. 또한 저항체 높이가 높을수록 열전달 성능이 크게 증가하였고, 설치 간격은 e/h = 0.04, 0.10, 0.16에서 P/e = 20일 때, e/h = 0.22에서 P/e = 10일 때 다른 조건보다 높은 열전달 성능을 보였다. 반면 P/e가 20을 초과하는 경우 모든 조건에서 열전달 성능이 감소하는 모습을 나타내었다.
(2) 마찰인자의 경우 사분원 저항체 설치로 최소 1.16배에서 최대 41.38배까지 증가하였으며, 높이가 높을수록, 설치 간격이 좁을수록 그 값이 커져 열전달 성능 향상과 유사한 양상을 보였다.
(3) 열전달 성능 향상과 압력강하 증가를 같이 고려한 성능계수를 확인해 본 결과 최소 0.730에서 최대 1.162의 값을 보였다. 또한 Re 수 3,000에서는 e/h = 0.10, P/e = 40이 가장 높은 성능계수 값을 보였고 Reynolds 수 6,000 이상에서는 e/h = 0.04, P/e = 30 조건에서 가장 높은 성능계수를 나타내어, 각 Re 수에서 상기 설치 조건이 성능 측면에서 가장 우수한 것으로 판단되었다.
(4) 해석 결과를 토대로 유동 및 설치 조건에 따른 열전달 및 압력강하 상관식을 구축하였고, 그 결과 Nu 수 상관식은 절대 평균 퍼센트 오차 2.98%, 마찰인자 상관식은 7.5%을 나타내 도출된 식이 Nu 수와 마찰인자를 적절히 예측하는 것으로 확인되었다.
본 연구는 공기 채널 내 상·하부에 설치된 사분원 저항체의 설치 조건 변화에 따른 열 및 압력강하 특성을 분석하였으나 실제 집열기는 열획득량, 열효율, 송풍 동력 등 여러 인자에 대한 평가가 필요하다. 따라서 향후 연구에서는 해당 저항체를 적용한 집열기의 실제 운전 성능을 평가하고자 하며, 본 연구에서 도출된 상관식은 향후 집열기의 수치해석 모델 제작과 성능 예측, 장치 설계를 위한 형상 결정 등에 있어 유용한 자료로 활용될 수 있을 것으로 기대된다.











