기호 및 약어 설명
PR : Performance Ratio, 성능비율
IR : Infrared, 열화상
EL : Electroluminescence, 전계발광
GtoG : Glass to Glass, 전후면 태양광 유리 재질 모듈
1. 서 론
2024년 정부는 산업단지 태양광 활성화 방안을 발표하였다. 2030년까지 산단 태양광 6 GW 보급을 목표로 하고 있다. 전국 산단에 태양광 발전 시스템은 2.1 GW 이미 설치되었고, 향후 12 GW까지 추가 보급이 가능할 것으로 예상한다. 이를 위해서 산단 태양광 전주기 맞춤형 지원과 보급 확대를 위한 공공부문의 역할 강화 및 산단 태양광 보급 활성화 기반 조성을 추진하였다1). 2025년 신정부에서는 RE100 산업단지 조성을 최우선 정책 과제로 추진하겠다는 발표와 TF 출범 등 특별법 제정안을 준비 중이고, RE100 산업단지 조성을 위해서 재생에너지 인프라 구축 및 기업유치, 산단 개발 등 범부처 역량을 총결집하여 추진중이다2). 그 외에도 한국산업단지공단에서는 탄소중립산단 대표모델 구축 사업과 한국에너지공단에서는 산업단지 공장 적용 태양광 시스템 성능 안전성 평가 표준체계 구축 사업 등 산업단지 태양광 활성화를 위한 정부의 정책 및 과제가 추진중이다3,4).
스마트그린산단 사업은 2019년부터 추진중으로 현재까지 24개 산단이 지정되었고, 핵심사업으로 에너지자급자족 인프라 구축 사업이 포함되어 수행중에 있다. 산단 내 신재생 분산 전원 보급 및 통합 에너지 플랫폼을 구축하여 산단 에너지자급자족 모델을 구현하는데 목표가 있다5).
본 논문에서는 청주산단 에너지자급자족 인프라 구축 및 운영사업의 일환으로 자가소비형 태양광 9개소 약 3MWp 구축 사례와 발전성능 분석을 수행하였다.
2. 실 험
Table 1은 청주 산업단지에 설치된 9개사의 태양광 발전 시스템의 설치 위치, 모듈 용량, 경사각 정보로 2024년부터 2025년 상반기에 설치되었다. 설치 장소는 공장 지붕과 주차장이고, 공장 지붕은 남향, 남북향, 동서향, 남동향 지붕 등 다양하고, 주차장은 남향에 설치되었다. 태양광 모듈은 결정질 실리콘 양면 태양광 모듈이고, GtoG 구조의 동일한 제조사의 575 W부터 635 W로 출력을 보인다. 경사각은 10 ~ 17도 수준으로 공장지붕의 경우, 대부분 추가적인 경사 구조물을 설치하였다.
Table 1
PV system installation location, PV module capacity and incline angle
3. 결과 및 토의
3.1 9개소 산단 태양광 발전성능 분석(1개월)
2025년 7월 1개월간의 모니터링 데이터 기반 발전성능 분석 결과는 다음의 Fig. 1과 같다. 분석은 PR, 1일 평균 발전시간, 이용률로 방위각과 경사각이 혼재된 9번 발전소의 경우 PR 분석을 제외하였고, 6번 발전소의 경우 약 5일간 가동 중단 된 데이터가 반영되어 발전시간과 이용률의 값이 낮게 분석되었다.
모든 발전 성능 지표에서 7번 발전소가 높게 분석되었고, 남향 주차장 타입 설치로 후면 수광이 유리한 형태의 구조물과 태양광 모듈이 설치되었다. PR값은 전반적으로 높게 형성된 이유는 양면 태양광 모듈에 의한 후면 bifacial gain으로 예상된다. Ernst et al.6)의 논문에서는 최대 양면 태양광 모듈 설치의 경우 bifacial gain으로 22.6% 발전량이 시뮬레이션 되었다. 일반적으로 지면 또는 지붕 등 반사체의 재질에 따라 다르고, 어레이의 간격이 넓을수록 유리하다. 5번 발전소는 가장 낮은 PR을 보이는데, 공장 지붕에 설치되었고, 방위각이 남동향이고, 후면 반사에 불리한 구조로 설치되었다(Fig. 2 #5).
Fig. 2는 발전소에 양면 태양광 모듈이 설치된 설계도의 일부를 발췌하였다. 설계도에서 편의상 왼쪽을 남향으로 표현했고, 5번 발전소만 남동향 형태이다. PR이 가장 높은 7번 발전소의 경우 남향의 경사 10도 주차장에 설치되었고, 모듈은 한 개의 구조물에 3행의 구조로 설치되었다. 후면 반사에 유리한 바닥 콘크리트 재질과 후면 수광 면적이 넓은 장점이 있다. 1번, 2번, 8번 발전소도 유사한 소규모 어레이 형태로 높은 PR값을 보인다. 즉, 태양광 모듈을 행열 형태로 설치할 때, 행과 열이 클수록 내부의 모듈의 후면 반사효과가 적어지는 현상이 발생한다. 반대로 엣지 부분의 모듈은 후면 반사효과가 높다7). 3 ~ 5번 발전소의 경우 다수의 모듈로 어레이 구성으로 후면 반사에 불리한 형태이다.
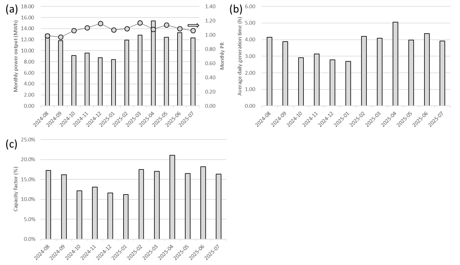
3.2 1년 발전성능 분석
2024년 8월부터 2025년 7월까지 1번 발전소의 1년간 모니터링 데이터 기반 발전성능 분석 결과는 다음의 Fig. 3과 같다. 1번 발전소는 설치용량 101.2 kWp이고, 연간 발전량 138.75 MWh, 연간 평균 PR 1.08, 1일 평균 발전시간 3.76 h, 연간 이용률 15.7%로 분석되었다. 데이터 분석을 위해서는 연간 데이터의 확보가 중요하고, 9개 발전소 중 1번 발전소가 유일하게 설치 이후 1년간 가동을 하였다. 이를 토대로 전반적으로 양면 태양광 모듈의 필드에서 발전성능 분석을 유추할 수 있다.
3.3 동서향 지붕 태양광 설치시 효과 분석
2025년 7월 한달 동안의 동서향 지붕형 태양광 설치 사례의 평균 전류를 비교한 결과 다음의 Fig. 4(a)와 같이 피크 분산되는 효과를 보인다. 동향 지붕은 남향으로 구조물을 설치한 형태이고, 서향 지붕의 경우 지붕 밀착한 형태로 설치하였다(Fig. 4(b)). 동일한 면적에서 모듈의 남향 구조물로 설치시 99개의 모듈이 사용되었고, 서향 경사면 활용한 밀착형의 경우 140개 모듈이 설치되었다. 경사면을 활용한 형태의 경우 설치용량이 크고, 이격거리로 인한 구조물의 부분음영 발생이 없고, 피크 분산 효과로 덕커브를 해소할 수 있다. 단점으로는 점검부 미확보에 따른 유지관리의 어려움과 후면 발열 등에 의한 출력 저하 등이 예상되고, 설치용량에 따른 시공비가 증가된다. 또한, 양면 태양광 모듈의 후면 반사에 대한 이점이 줄어들게 되어 PR값이 낮을 수밖에 없다. 발전량의 경우 설치용량을 늘렸기 때문에 해결이 가능하다. 향후 이러한 특성을 고려한 표준화된 설치 모델의 발굴이 필요하다.
4. 결 론
산업단지 태양광 발전 시스템은 전력 가격의 상승과 RE100 참여 기업의 확대로 활성화될 것을 기대한다. 최근 대부분 양면 태양광 모듈을 사용하기 때문에 성능 비율은 100%를 넘게 되는 현상이 보인다. 후면 반사에 따른 bifacial gain에 따라 편차가 발생한다. 산단의 공장 지붕의 경우, 다양한 방위각과 경사각을 보인다. 발전량 최적 설계보다는 지붕 형태에 따른 설계로 20도 미만의 저각 설치로 진행된다. 이러한 특수한 환경에 따라 남향과 후면 수광에 유리한 주차장, 옥상 부지와 시스템 구성이 집약되지 않은 형태에서 높은 발전량 특성을 보인다. 이격거리 측면에서 지붕위에 추가적인 경사 구조물을 설치하는 것보다는 지붕에 밀착하여 설치된 경우 이점이 존재한다. 반면에 점검부 미확보나 후면 발열, 후면 반사 효과 손실 등이 발생할 수 있다. 이런 측면에서 동서향, 남북향 등 지붕 구조에 따른 표준 모델의 제안이 필요하다. 좁은 면적에 많은 태양광 모듈을 설치하는 것 보다 산단 설치 장소의 특성에 맞추어 설계와 운영 및 유지관리가 필요하다. 특히, 구조 검토 및 안전 등을 반영한 설계, 설치 이후 초기 커미셔닝 테스트, 상시 안전 및 성능 분석을 포함하여 폐기까지 전주기 관리가 되도록 준비할 필요가 있다. 태양광 발전 시스템의 보급적 측면에서, 계통 부담과 주민 수용성 등을 해소 해야하기 때문에 산단 태양광에 주목하고 있다. 공장주의 참여를 높이기 위한 다양한 표준 모델과 향후 ESS 연계 덕커브 해소를 위한 동서발전형 시스템, 공장지붕의 누수 및 화재 등 안전관리 방안 등 기술과 정책 반영이 필요하다.






