기호설명
Iph : 광전류 [A]
Io : 다이오드 전류 [A]
Ish : 병렬저항 전류 [A]
Rsh : 병렬저항 [Ω]
Rs : 직렬저항 [Ω]
q : 전하량(
)
k : 볼츠만 상수(
)
α : 전류 온도 계수 [A/℃]
n : 다이오드 이상 정수(1~2)
Ns : 직렬 개수
Np : 병렬 개수
G : 일사량 [W/m2]
T : 모듈 온도 [K]
1. 서 론
태양광 발전 시스템은 신재생 에너지원을 이용한 발전 중 하나로서, 그동안 태양광 발전의 효율 향상을 위한 연구가 수행되어 왔다. 태양광 발전 시스템은 이러한 수많은 연구를 통하여 완성도 높은 기술력을 가지게 되었다1).이전의 태양광 발전 시스템은 설치 및 보급에 무게를 두었지만, 현재는 유지 및 보수를 통하여 손실 저감을 위한 연구가 수행되고 있다2,3). 다른 재생에너지원에 비해 수명이 길다는 특징이 있지만 손실을 줄이고 초기 발전효율을 유지하기 위해서는 보수 및 점검이 필수적이다4,5). 옥외 설치된 PV모듈 및 어레이에서는 그늘, 그림자, 오염, 미스매치, PCS 및 시스템 고장 등에 의해 손실이 발생하게 된다6). 대규모의 태양광 발전 단지의 경우에는 PV모듈의 개별 고장이 전체 시스템에 수십 배의 손실을 가져올 수 있다7,8). 태양광 발전시스템은 육안으로 고장판별이 어렵기 때문에 이를 위해서 모니터링을 통한 모듈 및 어레이의 성능 진단이 필요하다. 태양광 어레이의 진단을 위해서 현장에서는 어레이 테스터를 통하여 측정하게 된다. 측정 후 I-V 곡선을 확인하여 모듈 및 어레이의 상태를 확인하며 이에 대한 성능을 평가할 수 있다. 개별 모듈에 대한 측정뿐만 아니라 어레이 전체의 성능을 진단하기 위해서는 다채널을 이용한 동시측정이 필요하다. 본 논문에서는 이러한 대용량 태양광 발전단지에서의 다수의 태양전지 어레이의 성능을 진단하기 위한 다채널 동시측정 방법을 제안하고자 한다. 현재 어레이 테스터의 측정방법은 가변저항부하를 이용한 방법과 커패시터를 이용한 두 가지 방법이 일반적으로 많이 사용되고 있다. 본 논문에서는 커패시터 소자를 이용하여 태양광 어레이에서 생산하는 전류와 전압을 커패시터에 충전하여 충전된 전압과 전류를 측정하여 I-V 곡선을 생성하도록 개발하였고, 옥외 실험과 시뮬레이션 결과를 비교하여 장비의 유효성을 검증하였다.
2. 본 론
2.1 어레이 테스터 I-V 곡선측정 방법
(1) 가변저항 부하를 이용한 I-V 곡선 측정방법
태양전지 어레이의 I-V 곡선을 측정하는 대표적인 방법은 가변저항부하(전자부하)와 커패시터를 이용한 방법이다. 그중에서 가장 많이 사용하는 방법은 가변저항 부하를 이용하는 방법이다. 가변저항 부하를 이용한 I-V 어레이 측정 장치는 Fig. 1의 ①에서 가변저항을 최대(∞)로 조정하여 개방전압 지점부터 측정을 시작한다. 즉, 전류 I = 0인 지점부터 측정 시작하여 가변 저항을 줄여가며 전압 V = 0인 지점, 전류가 단락전류가 되는 지점까지 측정하는 방법이 있다. 또한 반대로 ②와 같이 전류가 단락전류인 V = 0인 지점부터 측정 시작하여 I = 0가 되는 지점, 즉, 전압이 개방전압이 되는 지점까지 가변저항 값을 증가시켜가면서 I-V를 측정할 수도 있다. 그러나 후자는 측정 순간 전류의 오버슈트로 인하여 많이 선호하지 않는다. 이러한 가변저항 부하를 이용한 일반적인 어레이 테스트기의 경우 측정 가능 채널이 1개이며, 1채널 태양전지어레이의 용량을 고려하였을 경우 가변저항 부하의 크기가 커지게 되어 일반적으로 사용되지 않는다. 최근에는 1채널당 전압범위가 1500 V의 10 A 이상의 어레이가 설치되기 때문에 가변저항 부하의 용량이 커져 1채널 이상의 테스터기 크기가 커져 사용되지 않고 있다.
(2) 커패시터를 이용한 I-V 커브 측정방법
커패시터를 이용한 어레이 테스터는 커패시터의 충‧방전 특성을 이용하여 측정하게 된다. Fig. 2와 같이 커패시터는 두 개의 전극과 사이 얇은 유전체로 구성되어 있다. 한 쪽 전극에 DC 전압을 걸어주면 양전하와 음전하가 외부에서 가한 전압과 평행이 될 때까지 축적이 된다. 평형이 되면 전기가 통하지 않게 되어 커패시터에 충전이 완료된다. 방전 시에는 전압 대신 저항을 걸어주면 대전되었던 전하가 방출되어 전류가 흐르게 된다. 이러한 커패시터의 전압, 전류의 충‧방전 특성을 이용하여 태양광 어레이에서의 실제 발전하는 전압과 전류를 측정할 수 있다. 커패시터는 용량에 따라 측정시간이 달라진다. 샘플링 속도(충전 속도)가 빨라지게 되면 사이즈가 작아지는 특징이 있다. 반대로 층전 시간이 길수록 커패시터 사이즈는 커지게 된다. 이러한 특징을 이용하여 최적의 사이즈를 선정하는 것이 중요하다. 또한 다채널을 동시에 측정이 가능하여 측정한 값들의 총체를 구함으로써 전체 어레이의 성능을 진단할 수 있다. 본 논문에서는 태양광 어레이를 다채널로 동시측정하기 위하여 커패시터를 이용하여 I-V 커브를 측정하였고, 한 개의 채널 당 세 개의 커패시터를 병렬 연결하여 제작하였다.
2.2 다채널 어레이 측정장치 설계
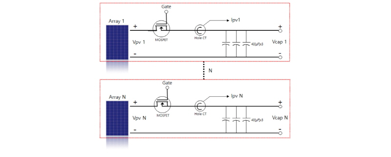
본 논문에서는 커패시터 소자를 이용하여 I-V 커브를 측정하는 방법을 채택하여 다채널 동시측정이 가능하도록 하였다. 제안된 어레이 테스터의 원리는 다음과 같다. 태양광 어레이에서 생산되는 DC전력이 커패시터에 충전이 되고, 스위치 소자로서 MOSFET를 사용하였으며, MOSFET는 트랜지스터의 일종으로 금속 산화막 반도체 전계효과 트랜지스터를 뜻한다. 게이트에 신호가 입력되면 전자가 이동하여 전류가 흐르게 되는 원리를 이용한 소자이다. 전류측정을 위해 홀센서를 적용하였고, MOSFET소자를 이용하여 어레이에서 발전되는 전력을 커패시터에서 충전, 방전하기 위한 제어하였다. Fig. 3에서는 1채널 측정회로 여러 개를 병렬 연결하여 다채널 측정이 가능한 회로로 나타내었다. 어레이 마다 각각 채널을 연결하여 어레이 테스터에서 스위치를 이용하여 외부전원으로부터 MOSFET의 게이트에 신호가 전달되어 동작하고, 충·방전 스위치를 이용하여 커패시터 충‧방전을 시키면 전압, 전류가 충전되었다 방전되면서 각각 어레이의 I-V 곡선이 그려지게 된다.
Fig. 4에서는 이러한 회로를 가지는 어레이 테스터의 시제품을 보여주고 있다. 어레이 테스터는 최대 6채널 동시 측정이 가능하도록 제작하였다. 또한 프로그램 상에서 측정이 가능하도록 소프트웨어를 적용하였다.
2.3 실험 및 시뮬레이션
본 논문에서 개발한 태양광 어레이 테스터의 다채널 동시측정의 유효성을 검증해 보기 위하여 실외에서 실험하였다. 이를 통해 측정된 값과 MATLAB 시뮬레이션을 통하여 나온 결과를 비교하였다.
(1) 어레이 테스터 실측 실험
어레이 테스터로 제안된 방법을 검증하기 위해 옥외 평균 일사량 695 W/m2, 외기 온도 평균 28℃에서 실험을 수행하였다.
Figs. 5, 6과 같이 Table 1에 나타낸 사양의 직렬 20, 병렬 2회로의 총 40개의 모듈로 구성된 어레이 2개로 실험을 수행하였다. 일사량 계와 습도계, 온도센서를 이용하여 환경 요소를 측정하였으며, 커패시터 소자를 사용하여 태양광 어레이에서 생산된 전력을 충전 및 방전하여 I-V 커브를 측정하였다.
Fig. 7은 어레이 테스트 시 스위칭과 측정 파라미터 및 I-V 곡선을 확인하기 위한 소프트웨어 프로그램의 GUI이다. 측정 시 간단한 조작으로 커패시터에 충·방전할 수 있음을 확인할 수 있다. 첫 번째 그래프에서는 PV_1(채널1),즉 1번 어레이의 시간에 대한 전류와 전압을 나타내고 있으며, 두 번째 그래프는 PV_3 (채널3)로, 2번 어레이의 시간에 대한 전류와 전압을 나타내고 있다. 충전 스위치를 ON하게 되면 전류와 전압이 순간적으로 충전되고, 방전 스위치를 ON하게 되면 방전되어 차있던 전류가 방전되게 된다. 따라서 두 채널(어레이)을 스위칭하여 동시에 충‧방전하여 I-V 곡선을 확인할 수 있다. 순간적으로 충‧방전이 되기 때문에 I-V 곡선을 확인하기 위해서는 충‧방전 순간의 그래프를 확대하여야 한다. 어레이 테스터를 필드 테스트한 결과, 위 그래프를 확대하게 되면 Fig. 8과 같이 커패시터 소자에 의한 돌입전류가 발생하여 노이즈가 발생하였음을 확인하였다. 이를 제거하고 완만한 I-V 곡선을 도출해내기 위하여 MATLAB에서 보간법을 사용하여 보정하였다. 그 결과 Fig. 9과 같이 완만한 I-V 곡선으로 나타내었다.
(2) 태양전지 등가회로와 I-V 커브
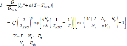
태양전지는 Fig. 10와 같은 등가회로와 수학적 모델을 가지며, 전류는 식(1)과 같이 광 생성전류에서 다이오드전류와 병렬저항 전류를 제외한 값이다9).
(1)
태양 전지 모듈은 식(2)와 같이 등가회로 방정식을 전압과 전류관계식으로 나타낼 수 있다. 여기서
는 열 전위차로서,
이다.
(2)
또한 태양전지 셀들을 직‧병렬 조합으로 연결하여 사용하게 된다, Np개의 병렬 연결과 Ns개의 직렬 연결하게 되며, 식(2)에서 직병렬개수를 적용하여 연장된 식(3)과 같다.
(3)
여기서 Np, 즉 병렬 연결 개수는 1이므로, 식(4)와 같은 식으로 정리된다.
(4)
위 식에서 전류에 대하여 일사량과 온도 보정계수를 적용하기 위해 다음과 같은 식(5)와 (6)을 사용되었다10,11). 여기서
와
는 STC 조건에서의 일사량(1000 W/m2)과 온도(298 K)이다. Eg는 실리콘 셀 반도체의 밴드갭 에너지로 1.1 eV이다.
(5)
(6)
위 식을 모두 정리 하여 나타내면 식(7)과 같은 식이 완성된다. 여기서
와
는 STC조건에서의 단락전류와 다이오드 역 포화 전류를 뜻한다.
(7)
(3) 측정데이터와 시뮬레이션 데이터 고찰
실험 조건인 평균 일사량 695 W/m2, 모듈 평균온도 333 K의 조건을 적용하여 MATLAB을 통하여 시뮬레이션을 실행하였으며, 위에서 정리한 식을 바탕으로 MATLAB을 이용하여 시뮬레이션 결과와 실험을 통하여 측정된 결과 그래프를 비교하면 다음과 같다. Fig. 11에서 모듈 2장을 2채널을 이용하여 동시 측정한 결과 데이터와 시뮬레이션의 I-V곡선이 유사함을 확인할 수 있다. 이로서 본 논문에서 제안한 커패시터를 이용한 I-V 곡선 측정 방법의 유효성을 검증할 수 있었다.
3. 결 론
본 논문에서는 현장에서의 태양광 어레이의 진단을 위한 방법에 대한 연구를 수행하였다. 실험과 시뮬레이션을 통하여 제안된 I-V 커브 측정 방법에 대한 유효성을 검증할 수 있었다. 본 실험에서는 2채널만을 사용하여 다채널 동시측정이 가능함을 증명하였으나, 보완하여 추후에 6채널을 동시 측정하여 실험하고, 더 나아가 채널수를 증가하여 제작하여 유효성 및 신뢰성을 검증할 계획이다.
(1) 커패시터의 전압, 전류를 충‧방전하는 특성을 이용하여 태양광 어레이에서 발전하는 전력을 커패시터에 충전하여 그때의 충전되는 값을 측정하여 I-V 커브를 도출해낼 수 있다.
(2) 본 논문에서 제안된 커패시터를 사용하여 I-V 커브를 측정하는 방법은 태양광 어레이의 다채널 동시측정이 가능함을 확인할 수 있다.
(3) 실제 옥외 실험과 시뮬레이션을 통하여 결과를 비교함으로써 두 결과의 I-V 곡선이 거의 일치함에 따라 본 연구에서 제안한 커패시터를 이용한 I-V 곡선 측정방법에 대한 검증을 확인할 수 있었다.













