1. 서 론
2. 태양열 히트펌프 해석 방법
2.1 냉매 직팽식 히트펌프(Direct Expansion Solar Assisted Heat Pump)
2.2 태양열 집열량 분석
2.3 히트펌프 동작 분석
3. 태양열 히트펌프 분석 결과 및 의의
3.1 태양열 집열량 분석결과
3.2 태양열 집열량 기반 히트펌프 분석 결과
4. 결 론
기호 및 약어 설명
: 면적(Area) [m2]
: 경사면 직달 일사 강도(Direct solar irradiance on inclined surface) [W/m2]
: 법선면 직달 일사 강도(Direct solar irradiance) [W/m2]
: 경사면 산란 일사 강도(Diffuse solar irradiance on inclined surface) [W/m2]
: 방열 계수(Convection haet transfer coefficient) [W/m2K]
: 흡수율(absorptivity) [-]
: 경사면 전일사 강도(Global solar irradiance on inclined surface) [W/m2]
: i 상태의 엔탈피(Enthalpy) [kJ/kg]
: 냉매의 질량유량 [kg/s]
: 일수(days) [-]
: 열량(Heat) [kW]
: 경사면 지면 반사 일사 강도(Reflected solar radiation on inclined surface) [W/m2]
: 산란 치환 계수(Diffuse transposition factor) [-]
: 온도(Temperature) [K or ℃]
: 소비 전력(Power) [kW]
그리스 기호 설명
𝛽 : 집열판 경사각(Surface tilt angle) [rad]
𝛿 : 태양의 적위 각도(Declination angle) [rad]
𝜂 : 등엔트로피 효율(Isentropic efficiency) [-]
𝜃 : 경사각 대비 입사각(Incidence angle on inclined surface) [rad]
𝜙 : 위도(Latitude) [rad]
𝜔 : 태양 시간각(Solar hour angle) [rad]
하첨자 설명
con : 응축기 혹은 가열기(Condenser or water heater)
eva : 증발기 혹은 태양열 집열판(Evaporator or Solar absorber)
n : 수직 방향(normal)
1. 서 론
전 세계적으로 80%에 해당하는 에너지 수요가 화석연료에 의해 소모되고 있고, 과도한 에너지 사용으로 점차 인해 온실가스 배출이 점차 사회적 문제로 대두되고 있다1). 국제에너지기구(International Energy Agency, IEA)에 따르면, 1990년 대비 2018년 기준 에너지 사용과 관련된 이산화탄소 배출량이 37%정도 높아졌고, 2040년에는 42% 상승에 달할 것으로 보고되고 있다2). 최근 빌딩에서 난방으로 인한 에너지 사용률은 전체 에너지 공급량의 40%에 해당하며, 주요 에너지 공급원으로 화석연료를 이용한 직접 난방이나 화석연료에 기반한 전력으로 사용하고 있다3).
히트펌프는 온도가 낮은 외부로부터 열을 흡수하여, 온도가 높은 공간에 열을 방출할 수 있는 태양열을 이용하는 역할을 수행하며, 난방에 필요한 다량의 에너지를 소량의 기계적 에너지(압축기 동작 전력)로 공급하는 장치를 의미한다4). 히트펌프는 화석연료를 직접 연소하는 방식이나 전기적 히터 방식 대비 더 높은 성적계수(Coefficient of performance)를 보이며, 친환경적이고 온실가스 배출 저감 및 전력소모 절감에 큰 역할을 수행할 수 있다. 히트펌프는 외부 열원을 어떤 것으로 사용하는가에 따라 다양하게 구분될 수 있고, 열원의 온도변화에 따라 성적 계수 또한 큰 변화를 보인다5).
태양열 압축식 히트펌프(Solar Assisted Conpression Heat Pump, 이하 SACHP) 시스템은 태양열을 이용하여 히트펌프 자체의 효율을 높이고, 에너지를 절감하는데 그 목적이 있다6). SACHP 시스템은 히트펌프를 통합하여 난방 및 온수를 공급함으로써 전력 의존율을 더욱 감소시킬 수 있다고 보고되고 있다. 이와 같은 직접 방식의 SACHP 시스템은 태양으로부터 직접 열을 획득하여 이용하므로 집열 효율이 우수하고, 운전에 필요한 설비가 비교적 단순하여 다양한 적용이 가능하다7).
SAHP 시스템은 열원의 열 수집 방식에 따라 4종으로 구분할 수 있다6). 기존에 많이 적용하던 방식인 태양열을 수집하여 중간 열교환기를 적용한 태양열 수집식(Conventional Solar Assisted Heat Pump, CSAHP) 이외에, 태양열을 받는 수광판으로 히트펌프에 동작하는 냉매를 직접 팽창시키는 냉매 직팽식(Direct eXpansions Solar Assisted Heat Pump, DXSAHP)이 단순하고 신뢰성이 높은 시스템으로 많이 적용되었다6). 태양열과 태양광을 결합한 방식(Solar Photovoltaic-Thermal Heat Pump, SPV-THP)이나 지열원과 결합한 방식(Solar- Geothermal Hybrid Source Heat Pump, SGHSHP)은 복잡하지만 시스템 자체의 효율은 높은 방식도 존재한다. DXSAHP는 2차 유체인 물이나 에틸렌 글리콜 등을 순환시키지 않고 냉매를 직접 집열판(absorber)에 흐르게 하여 CSAHP 대비 적은 부식 및 긴 수명을 얻을 수 있다6).
DXSAHP 시스템은 1995년 Sporn 과 Ambrose에 의해 처음 제시8)된 이후, 다양한 연구자들에 의해 많은 연구가 진행되어 왔다9). 태양열을 직접 이용하여 높은 성적계수를 얻을 수 있다는 이점이 있지만, 열원인 태양열에 대한 정확한 분석과 기온 분포에 따른 태양열 집열판(absorber)에 대한 최적화가 중요한 기술로 꼽힌다. Duarte 등은 DXSAHP에 적용하는 냉매(Refrigerant)에 따라 시스템 분석을 진행한 바 있고10), Weian Ji 등은 태양열 집열판은 핀튜브(Fin-tube) 열교환기로 구성하여 집열성능을 높이는 연구11)를 보고하였다. 이처럼 DXSAHP 시스템적인 측면에서 열적 효율을 높이는 연구가 주로 진행되고 있다.
본 연구에서는 한국에너지기술연구원에서 제공하는 표준 기상년 데이터(Typical meteorological year)12)에 기반하여 태양열 일사량을 분석하고, 이 일사량을 기반으로 기본적인 구조의 DXSAHP가 동작하는 성적계수 및 공급열량을 도출하는 방법론을 제안하였다. 표준 기상년 데이터에 예측된 기온 및 일사량을 기존에 구성되어 있는 DXSAHP에 응용하여 해석할 수 있는 기법을 제안하고, DXSAHP가 동작할 시의 성적계수(Coefficient of Performance, 이하 COP)를 정량적으로 분석하였다. 분석에 적용한 지역은 한랭지역(대관령), 일반지역(대전), 그리고 온난지역(제주)으로 구분하여 각 지역의 계절별 성적계수 및 온수 공급 열량을 확인하였다.
2. 태양열 히트펌프 해석 방법
2.1 냉매 직팽식 히트펌프(Direct Expansion Solar Assisted Heat Pump)
냉매 직팽식 히트펌프(Direct eXpansion Solar Assisted Heat Pump, 이하 DXSAHP)는 태양열을 적용한 SACHP 중에서 가장 단순한 구조를 가진 시스템이며, Fig. 1에서 나타낸 바와 같이 태양열을 받을 수 있는 집열부(Heat retrieving unit), 히트펌프가 동작하는 구동부(Work input units), 그리고 온수 혹은 난방을 공급하는 열 공급부(Heat delivery units)로 구분할 수 있다.
집열부는 태양열 집열판(Solar absorber)로 이루어져 있고, 히트펌프를 동작하는 냉매가 통과할 수 있도록 냉매 유로를 태양열 집열판 내에 갖추고 있다. 집열판은 태양열로부터 열을 받아 냉매로 전달하는 역할을 수행하며, 팽창 밸브를 통과하면서 저압(Low pressure)의 포화 기액 혼합물(Saturated liquid-vapor mixture) 형태로 변환된 냉매(refrigerant)를 증발시킨다. 구동부는 냉매가 순환할 수 있는 역할을 하는 부분으로 구성되어 있으며, 압축기(Compressor)및 응축기(Condenser or water heater)의 냉매부, 그리고 팽창부(Expansion valve) 로 이루어진다. 집열판을 통과하며 기체로 변한 저압의 냉매를 압축기를 통해 전기적 일을 가하여 고온, 고압(High pressure)의 기체 냉매로 응축기로 이송 한다. 이때 얻어진 고온, 고압의 기체 냉매는 온수로 열을 전달하면서 응축이 되고, 고압의 액체상태 냉매가 되어 팽창부로 전달된다. 이 고압의 액상 냉매는 팽창부를 거쳐 팽창 후, 저압의 포화 기액 혼합물이 되며 순환하는 역할을 한다. 마지막으로 열 공급부는 응축기를 의미하며, 앞서 구동부에서 전달받은 고온 고압의 냉매에 있는 열을 회수하여 온수 혹은 난방에 사용될 물을 데우는 역할을 수행한다.
본 연구에서 해석 대상으로 했던 제품은 에너지 코리아(주)의 시스템을 고려하였고, 하나의 태양열 집열판에 대한 상세한 수치는 Table 1에서 확인할 수 있다. 태양열 집열판은 16개 사이즈로 분석하였으며, 태양열 집열판의 경사각은 지역(한랭지, 일반지, 온난지) 및 계절(봄(4월), 여름(7월), 가을(10월), 겨울(1월)) 별로 산술평균을 이용하여 분석하였고, 각 계절 및 지역 기준 가장 일사량이 높은 경사각으로 각기 달리 선정하였다. 히트펌프에 적용된 압축기는 에너지 코리아사에서 적용한 압축기 모델(ZH30K4E-TFD)에 대해, 압축기 제조사(Copeland)에서 제공하는 정보를 기반으로 분석하였다.
Table 1
Single solar absorber characteristic applied in this research
| Characteristic | Value | Note |
| Length | 1.7 m | Single solar absorber |
| Width | 0.8 m | |
| Gross area | 1.36 m2 | |
| Material | Aluminum sheet | |
| Maximum operating pressure | 10 bar |
2.2 태양열 집열량 분석
DXSAHP의 열성능을 정량적으로 평가하기 위해서는 입력조건으로 외기조건 및 일사량 산출이 필수적이다. 본 연구에서는 한국에너지기술연구원에서 제공하는 표준 기상년 데이터(Typical meteorological year)를 기반으로 DXSAHP의 집열판 경사각에 따른 집열량을 산출하였다. 집열판의 경사각은 0도부터 90도까지 10도 간격으로 채택하였다. 계절별 집열량 분석을 위해 봄, 여름, 가을, 그리고 겨울철을 기준으로 표준 기상년 데이터에서 4월, 7월, 10월, 그리고 1월의 각 시간대별 수치를 추출하여 계산에 적용하였다.
집열판 경사각에 따른 전일사 강도(Gβ)는 아래 식(1)을 통해 계산하였다13).
여기서, 여기서 Bβ, Dβ, Rβ는 각각 집열판 경사각에 대한 직달 일사 강도(W/m2), 산란 일사 강도(W/m2), 지면 반사 일사 강도(W/m2)를 나타낸다. 집열판 경사각에 따른 직달 일사 강도(Bβ)는 아래 식(2)로 계산하였다.
여기서 Bn은 법선면 직달 일사 강도(W/m2), θ는 경사각 대비 입사각을 나타낸다. cos 𝜃는 아래 식(3)으로 계산하였다.
여기서 δ는 태양의 적위 각도(solar declination angle), ϕ는 대상지역의 위도(latitude), ω는 태양의 시간각(hour angle), 그리고 β는 집열판의 경사각을 나타낸다. δ는 북반구를 기준으로 아래 식(4)로 계산 하였다.
여기서 N은 일수, ω는 태양의 시간각을 나타낸다. 집열판 경사각에 따른 산란 일사 강도 Dβ는 아래 식(5)로 계산하였다.
여기서 Dh는 수평면 산란 일사 강도(W/m2)를 나타내며, 표준 기상년 데이터에서 제공된다.
집열판 경사각에 대한 지면 반사 일사 강도 Rβ는 아래 식(6)로 계산하였다.
여기서 ρ는 지면의 입사광 강도에 대한 반사광 강도의 비로 정의되는 지면 반사율을 나타내며 본 연구에서는 0.2를 적용하였다. Gh는 수평면 전일사 강도(W/m2)를 나타낸다.
태양열온수기의 집열판 경사각에 따른 집열량은 앞서 산출한 전일사 강도(Gβ)를 아래 식(7)에 대입하여 산출하였다.
여기서 는 집열판의 단면적(m2),는 흡수율, 은 방열계수(W/m2·K), 는 순환 냉매의 평균온도(K), 그리고는 외기의 건구 온도(K)를 나타낸다. 본 연구에서는 참고문헌의 데이터를 기반으로 은 0.71로 가정하였으며, 은 4.5로 가정하였다14).
2.3 히트펌프 동작 분석
냉매 직팽식 히트펌프(DXSAHP)는 히트펌프를 구동하는 냉매(Refrigerant)가 증발기(Evaporator) 대신 직접 태양열 집열판(Solar absorber)으로 유입되어 열을 흡수하고, 응축기에서 발생하는 열을 원하는 곳에 온수 혹은 난방으로 공급하는 시스템이다. Fig. 2에 나타낸 각 위치별로 냉매의 상태를 정의하면 다음과 같다.
① 저압 및 상온의 과열된 증기(Superheated vapor)로, 압축기로 흡입되어 압축과정을 진행함.
② 고압 및 고온의 과열된 증기로, 압축기에서 토출 후 응축기 혹은 가열기(Water heater)로 유입됨.
③ 고압 및 상온의 과냉 액체(Subcooled liquid)로, 밸브로 유입되어 교축(Isenthalpic expansion)과정을 진행함.
④ 저압 및 저온의 포화기액혼합물(SLVM)로, 집열판으로 유입되어 증발과정을 진행 후, 압축기로 회수되는 과열 증기 상태로 순환함.
각 위치별 에너지 보존법칙은 다음 식(8),(9),(10),(11),(12) 사이에 확인할 수 있다15).
먼저 ① 상태에서 ② 상태로 변화할 시, 압축기에 소요되는 동력과 엔탈피 간의 관계는 다음 식(8)와 같다.
여기서, 및 는 1번 상태 및 2번 상태의 엔탈피, 는 순환하는 냉매의 질량유량이다. 은 압축기의 등엔트로피 효율(Isentropic efficiency)로, 제조사의 성능곡선으로 얻을 수 있다. 또한 은 등엔트로피 압축 시 소요되는 일로, 식(9)과 같이 계산할 수 있다.
여기서, 는 등엔트로피 압축시 가상으로 위치할 수 있는 상태의 엔탈피로, 1번 상태와 같은 엔트로피에 압력만 고압으로 올라간 상황으로 계산할 수 있다.
가열기에서 온수로 공급할 수 있는 열량 은 응축과정(Compression process)를 통해 얻을 수 있으며, ②번 상태에서 ③상태로 변화하는 과정에 해당한다. 이 열량은 다음 식(10)와 같이 계산할 수 있다.
밸브에서는 엔탈피 변화 없이 팽창하는 교축과정(Isenthalpic expansion process)로, ③상태에서 ④상태로 변화하는 과정이다. 이는 식(11)와 같으며, 다만 전-후단의 압력에 따라 각 상태가 정해진다.
태양열 집열판에서 받을 수 있는 열량는 증발과정(Evaporating process)로, ④상태에서 ①상태로 변화하는 과정을 의미한다. 다음 식(12)와 같이 계산할 수 있으며, 이는 태양열 집열판으로 들어오는 일사량과 동일한 양으로 계산한다.
본 연구에서 적용한 태양열 히트펌프 온수기는 온수 공급 온도를 55℃로 공급하기 위하여, 가열기에서 응축되는 냉매의 응축온도는 65℃로 가정하였다. 태양열 집열판에서 적용할 증발 온도는 표준 기상년 데이터를 기반으로 10℃ 차이를 두고 형성된다고(예: -5℃ 기온일 경우 증발온도 –15℃) 가정하였으며, 집열판을 통과하고 나온 냉매는 과열도를 10℃ 가져, 압축기에 회수될 시 기온과 동일한 온도로 유입되는 것을 가정하였다. 압축기에서 토출되는 유량은 압력 제어 및 고압 토출 방지 등 다양한 구속 조건이 있을 수 있으므로, 태양열 집열판에서 모든 열을 흡수할 수 있는 최소 유량으로 동작한다고 가정하였다. 해석에 적용한 냉매는 R407C로, 제조사에서 제공하는 R407C에 관한 냉방 성능 결과를 채택하였다.
압축기 성능을 나타내는 등엔트로피 효율은 전술한 바와 같이 압축기 제조사에서 제공하는 성능 결과를 기반하여 역산하였으며, 제조사의 성능결과는 Table 2와 같다. Table 2에 제조사 성능결과 기반 등엔트로피 효율을 함께 서술하였으며, 그 결과를 Fig. 3에 도식하였다. 65℃의 응축온도를 가지는 결과값은 증발온도 기준 –5℃에서 10℃까지 5℃ 간격으로 제시하므로, 이를 선형으로 피팅(Fitting)하여, 증발기 온도(T4)에 따른 압축기 효율의 상관식을 다음 식(13)과 같이 도출하였다.
3. 태양열 히트펌프 분석 결과 및 의의
3.1 태양열 집열량 분석결과
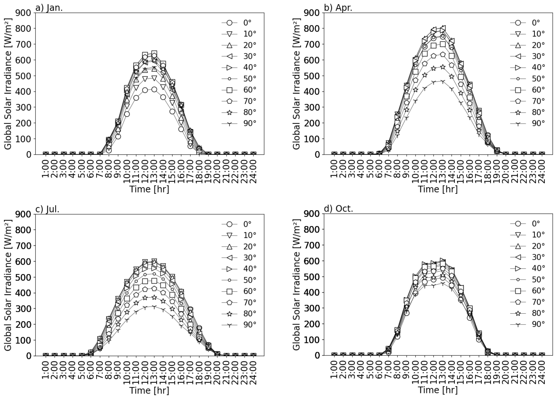
Fig. 4, 5, 6은 한랭지, 일반지, 그리고 온난지인 대관령, 대전, 그리고 제주의 계절별, 시간별 집열판 경사각에 따른 단위면적당 일사량을 나타낸 것이다. 모든 경우에서 최대 일사량은 정오를 지난 13시에 나타나는 것을 확인할 수 있으며, 일조시간 내 일사량이 포물선의 형태로 변화하는 것을 확인할 수 있다. 1월의 경우 대관령과 대전에서는 집열판의 경사각이 60°인 경우가 단위면적당 일사량이 가장 높게 나타났으며, 제주에서는 집열판 경사각이 40°인 경우 단위면적당 일사량이 가장 높게 나타났다. 그리고 4월의 경우 대관령과 대전에서는 집열판 경사각이 20°인 경우 단위면적당 일사량이 가장 높게 나타났으며, 제주에서는 집열판 경사각이 10°인 경우 단위면적당 일사량이 가장 높게 나타났다. 이처럼 대관령과 대전의 최대 단위면적당 일사량을 보이는 집열판 경사각과 제주의 집열판 경사각의 차이는 제주의 위도가 대관령과 대전에 비해 낮은 영향으로 풀이된다. 7월의 경우 여름철에 해당하며 태양의 고도가 가장 높은 시기로 대관령, 대전, 그리고 제주 모두에서 집열판 경사각이 0°인 경우에 단위면적당 일사량이 가장 높게 나타났다. 대관령과 대전의 경우 7월의 일조시간이 4월과 10월보다 긴 반면 최대 단위면적당 일사량이 낮게 나타나는 것을 확인할 수 있는데 이는 7월이 장마전선 형성과 우천이 잦은 시기로 상공의 운량에 따라 상대적으로 일사량이 줄어들기 때문으로 보인다. 제주의 경우 1월의 최대 단위면적당 일사량이 다른 계절에 비해 낮게 나타나며, 이는 겨울철 북서풍 계열 바람과 한라산의 영향으로 하층운이 생성이 잦아지기 때문으로 보인다16). 10월의 경우 대관령, 대전, 그리고 제주에서 단위면적당 일사량이 가장 높게 나타나는 집열판 경사각은 모두 40°로 동일하였다.
Table 3은 각 집열판 경사각의 일일 단위면적당 일사량과 표준편차의 평균을 나타낸 것이다. 한랭지인 대관령과 일반지인 대전의 경우 7월보다 4월 일조시간이 더 짧음에도 불구하고 4월의 일일 단위면적당 일사량이 가장 높게 나타나는데, 이는 앞서 기술한 바와 같이 7월의 우천이 잦은 계절적 특징 때문으로 보인다. 온난지인 제주의 경우 7월에 일일 단위면적당 일사량이 가장 높게 나타났는데, 이는 제주가 대관령이나 대전보다 위도가 낮아 통계적으로 장마전선이 6월경에 제주를 통과하므로 7월중 운량 증가에 따른 일사량 감소폭이 줄어들기 때문으로 보인다. Table 3에서 평균 표준편차는 각 시간 및 집열판 경사각에 따른 단위면적당 일사량의 표준편차를 월별로 평균한 것으로 값이 클수록 일별 날씨의 영향이 큰 것을 의미한다. 모든 지역에서 4월 일별 일사량 편차가 가장 크게 나타나며, 상대적으로 대관령의 일별 편차가 크게 나타나는 것을 확인할 수 있다.
Table 3
Average daily global solar irradiance and standard deviation of each district
3.2 태양열 집열량 기반 히트펌프 분석 결과
Fig. 7에서는 한랭지인 대관령, 일반지인 대전 그리고 온난지인 제주의 계절별, 시간별 최고 집열량 기반의 태양열 히트펌프 온수기 동작 시 공급할 수 있는 열량 및 전기적 에너지 사용량을 나타내고 있다. 온수기 동작 시 공급할 수 있는 열량은 좌측에, 전기에너지 사용량은 우측에 표기하였다. 각 지역별로 집열량은 최대로 받을 수 있는 각도를 적용하였으며, 예시로 1월 대관령의 경우는 60°를 적용하였다. 평균적으로 보았을 때, 한랭지인 대관령의 봄(4월) 시기의 일사량이 가장 높기 때문에 공급할 수 있는 열량도 가장 높게 계산이 되었고, 온난지인 제주의 경우 일사량이 비교군인 대관령이나 대전의 경우에 비해 평균적으로 다소 낮아 공급할 수 있는 열량은 낮게 계산되었다. 계절별로 확인하면, 대관령은 4월이 상대적으로 가장 많은 열량을 공급할 수 있고, 7월이 가장 적은 열량을 공급할 수 있는 것을 확인할 수 있다. 1월의 경우 일사량이 나타나는 시간이 짧아 최대 공급 열량은 높더라도 열량을 공급할 수 있는 시간이 짧아 전체적인 공급열량은 적다. 대전의 경우, 대관령과 마찬가지로 봄철인 4월에 가장 높은 열량을 공급할 수 있는 것으로 확인되며, 1월이 가장 낮은 공급열량을 보인다. 제주의 경우 1월에 일사량이 낮아 매우 낮은 열량을 공급할 수 있는 것으로 나타나며, 4월, 7월 및 10월이 거의 유사한 형태의 열량을 공급할 수 있는 것으로 판단된다. 에너지 소모량은 대관령, 대전, 제주 순으로 높은 것으로 나타났는데, 이는 태양열 일사량이 상대적으로 대관령 및 대전이 높은 영향도 있으나, 기온이 제주와 비교하여 낮아 나타난 결과로 볼 수 있다.
Fig. 8에는 각 지역별로, 표준 기상년 데이터에서 도출한 평균 기온 및 난방 COP를 도식하였다. 이 결과를 토대로 보면 대관령이 가장 낮은 평균 COP를 나타내고 제주가 가장 높은 평균 COP로 도출되었다. 이는 기온에 절대적인 영향을 받아 나타난 것으로 확인된다.
Table 4에는 지역별로 DXSAHP의 공급 열량, 소모 전력, 기온 및 성적계수를 평균값으로 나타내었다. 여기서 계산한 평균 값은 6시부터 20시까지의 평균으로, 태양열을 사용할 수 있는 시간으로 한정하였다. 일평균 기온은 한랭지인 대관령이 대전과 비교했을 때 약 5도 이상, 제주와 비교했을 때는 겨울에 12도, 여름엔 6도 이상이 차이가 나는 것을 확인할 수 있다. 이에 따라 DXSAHP의 성적계수는 대관령 지역이 대전에 비교하여 최소 0.5에서 최대 1.1 수준의 차이를, 제주와 비교하여는 최소 0.6에서 최대 1.4의 차이를 보임을 확인할 수 있었다. 대관령 지역에서는 태양열 일사량이 높아 히트펌프의 동작은 손쉽게 될 수 있으나 기온이 낮아 히트펌프 자체의 효율은 좋지 않은 것을 정량적으로 확인할 수 있다. 일반지역인 대전지역은 겨울철 기온이 제주에 비해 약 5℃ 정도 낮고, 봄부터 가을철 까지는 큰 차이를 보이지 않는 것으로 확인하였다. 이 결과 성적계수는 큰 차이를 보이지 않았고, 공급 가능한 열량 역시 큰 차이를 보이지 않았다. 연평균으로 계산을 수행하였을 시, 대관령의 경우 평균 8.687 kW의 열량 공급을 위하여 2.015 kW 수준의 전력 소모가 필요하였고, 이에 연평균 성적계수는 약 4.309으로 계산되었다. 이 경우는 태양열 집열판을 60°로 수행하였을 경우이며, 대전 및 제주 지역의 경우 열량공급량은 각각 8.570 kW 와 8.605 kW, 전력 소모량은 1.706 kW와 1.563 kW로 도출되었다. 이때의 성적계수는 약 5.024와 5.505로, 한랭지로부터 온난지로 갈수록 성적계수가 상향되는 것을 동일하게 확인할 수 있었다. 상세한 수치는 Table 4의 하단에 표기하였다.
Table 4
Average DXSAHP characteristics of each district
4. 결 론
본 연구에서는 국내의 한랭지, 일반지, 온난지로 구분하여 지역별 일사량에 기반한 냉매 직팽식 태양열 히트펌프(Direct eXpansion Solar Assisted Heat Pump, DXSAHP) 의 성능에 대해 고찰하였다. 냉매 직팽식 히트펌프의 성능을 분석하기 위하여, 태양열 집열량을 표준 기상년 데이터의 일사량 데이터로 적용하고, 압축기의 효율 및 동작조건을 제조사의 성능곡선 및 표준 기상년 데이터의 기온 데이터로 도출하였다.
태양열온수기 시스템의 집열량은 한국에너지기술연구원에서 제공하는 표준 기상년 데이터를 기반으로 집열판 경사각에 따른 집열한랭지, 일반지, 온난지로 구분하여 계절 및 시간별로 산출하였으며, 각 지역에서 최대 집열량을 보이는 집열판 경사각을 산출하여 히트펌프 성능해석에 채택하였다. 계절별 집열량 분석을 위해 봄, 여름, 가을, 그리고 겨울철을 기준으로 표준 기상년 데이터에서 4월, 7월, 10월, 그리고 1월의 수치를 추출하여 월평균 데이터를 계산에 적용하였다. 경사각에 따른 집열량 분석에 기반하여 가장 높은 집열량을 나타내는 각도를 지역별로 도출하였다. 히트펌프의 성적계수 분석은 표준 기상년 데이터에 기반한 기온 및 전술한 계절별 태양열 집열량을 증발 온도 및 열량으로 적용하고, EES로 자체 개발한 해석 코드를 통해 수행하였다.
분석 결과, 한랭지역인 대관령 지역은 일사량이 온난지역인 제주 지역 대비 상대적으로 높아, 제주지역 대비 많은 열량을 공급할 수 있으나, 평균 기온이 낮아 성적계수가 낮고, 전력 소모량이 높은 경향을 보였다. 일반지역인 대전지역은 대관령 지역이 제주 지역 대비 성적계수 기준 최대 1.4의 성능 감소를, 대전 지역 대비로는 최대 1.1의 성능 감소를 확인하였다.










