1. 서 론
2. 해 석
2.1 시스템 모델
2.2 수치해석 해
2.3 입력 데이타
3. 결 과
3.1 하절기 주간 가열의 영향
3.2 하절기 냉각의 영향
3.3 하절기 복합 요인의 영향
4. 결 론
기호설명
: 비열 [J/kg]
: Fourier number, 식(7)
: 일사량 [W/m2]
: 대류열전달계수 [W/m2℃]
: 열전도계수 [W/m2℃]
: 지붕의 두께 [m]
: 열저항 [m2℃/W]
: 순 열유속 [W/m2], 식(5)
: 건구온도 [℃]
: 시간
: 전체열전달계수 [W/m2℃]
그리스문자
: 열확산계수 [m2/S]
: 태양열 흡수율
ρ : 밀도 [kg/m3]
하첨자
air : 공기
room : 방
rad : 복사
rc : 복사냉각
s : 태양
1. 서 론
지난 10여 년 동안 서울에 옥상정원이 보급되었다. 옥상정원은 개별적인 건물의 에너지 절약에도 도움이 되며, 녹지공간을 통해 만족감과 도시 미관에 좋은 영향을 주고, 또한 도시열섬 현상 저감에 도움이 된다는 연구 결과도 있다. 한편, 무분별한 옥상정원의 도입보다는 계획적인 플래닝이 필요하다는 의견도 나오고 있다1).
Vijayaraghavan은 옥상정원(green roof)의 현황에 대해 정리 요약했다. ‘역사, 장점, 구성 요소, 단점, 새로운 경향, 추천’이 문헌의 소제목이다. 단점 및 한계를 먼저 보면-가격, 유지보수, 순수 녹지가 아니라는 점, 빗물 유수, 지역성을 고려한 연구, 천장누수, 폐기문제, 구조체 손상 등이다. ‘옥상정원과 태양전지판과의 결합, 그리고 시스템 최적화, 재배식물, 공기/물의 질 향상, 방음효과, 단열효과, 내구연한, 비용해석 및 지역성을 고려한 연구’가 필요하다고 제안했다2).
또한 연구자들은 옥상에 심는 식물의 종류가 미치는 영향에 대한 연구들을 하고 있다. 대체로 토양층의 두께 0.2 m를 경계로, 두꺼운 옥상층(deeper substrate), 얇은 옥상층(thinner substrate) 으로 나누고 있다. ‘뿌리에 의한 지붕 손상, 스며든 물, 태풍과 홍수로 인한 침수 등’의 위험에 대한 연구도 필요하다3)4).
에너지 관점에서 보면, 옥상정원에 의한 단열효과, 식물에 의한 증발 냉각 및 광합성에 의한 효과, 그리고 바닥에 입사하는 태양열을 줄이는 차단 효과 등이 보고되어 있으며, 이를 통해 냉방부하를 줄이려는 것이 하나의 중요한 목표이다. 이와 관련 문헌에 발표된 내용들을 열거해 보면 다음과 같다.
(1) 옥상정원을 설치하기 전의 지붕이 잘 단열되었다면, 옥상정원에 의한 단열 및 증발 냉각 효과는 작다3). 예를 들면, 0.025 m의 단열재가 있는 (U=1.05 W/m2 ℃) 천장에, 0.1~0.2 m 두께의 토양층을 추가하는 경우, 이에 의한 영향은 거의 없었다3). 옥상정원에 의한 단열효과는 설치 전 옥상이 충분히 단열된 상태였다면, 크지 않다5)6). 옥상정원이 천장의 성능을 향상시키더라도 원래 천장의 단열층을 대체하지는 못할 것이다6).
(2) 옥상정원의 표면온도는 상대적으로 낮고 따라서 냉방부하도 작다. 예를 들면, 단열되지 않은 천장에 비해 약 10℃ 낮았다. 또한 온도변화를 줄이고 있다5). 옥상정원의 경우, 건물 옥상표면 온도 진폭이 32.5℃ 정도 감소되며, 대기온도와 옥상표면 온도차가 감소한다. 그러나 보통 옥상의 경우, 일사량이 증가하면 최대 5℃까지 차이가 난다7).
(3) 옥상정원이 냉방부하에 미치는 영향에 대해서는 상반된 결과들이 보고되고 있다. 예를 들면, 옥상정원은 냉방부하를 줄이고 있다3). TRANSYS로 예측된 옥상정원의 냉난방 부하는 작다. 1년 에너지 절약은 단열되지 않은 경우보다 약 37%, 밤에 외기 환기(10ACH)까지 하면 약 48%가 절약된다. 중간정도 단열된 지붕인 경우 각각 약 4~7%, 잘 단열된 지붕의 경우는 2% 이하로 작다. 옥상정원은 냉방부하를 낮에 약 20.9%, 밤에는 약 18.4%를 절약하며 그 절감량은 약 4.44 W/m2이다8). 즉, 영향이 미미하거나, 없는 경우도 있다3). 여름에는 에너지를 절감하고 있으나, 옥상정원의 두께가 불충분해서 겨울에 추가 난방이 필요하다9).
(4) 옥상정원의 겨울철 난방효과가 여름철 증발냉각 효과보다 크다5). 공조장치가 없는 건물의 경우, 옥상정원은 낮에는 냉각열원, 밤에는 가열열원의 역할을 한다. 보통옥상은 상반된 경향을 보이며, 공조 장치가 있는 건물도 보통옥상과 유사한 경향을 보인다7).
위에 열거한 내용들을 일부 종합해보면, 연구 결과들이 많지만, 특히 기후에 따라 결과가 다르고, 설치 전 지붕의 단열유무가 중요한 변수임을 추정할 수 있다. 대체로 난방효과가 냉방효과에 비해 큰 경향을 보이고 있다. 실험결과들을 정리해서 발표한 논문들이 대부분이므로, 실험에서 보인 경향들을 해석을 통해서 보이고 정량화 할 필요가 있다. 따라서 주요변수인 설치지역의 기후 조건을 반영할 수 있는 해석 도구가 필요하다.
본 연구의 목적은 옥상정원을 해석할 수 있는 해석도구를 개발해서 여러 문헌에서 개략적으로 막연하게 발표된 경향 및 결과들에 대해 시뮬레이션하는 것이다.
2. 해 석
TRANSYS 등 건물용 공조난방 부하 계산프로그램 등을 사용한 경우들도 있으나5), 지붕만을 집중적으로 분석하기 위해 별도로 지붕의 온도 변화를 고려할 수 있는 모델을 세워서 해석했다.
2.1 시스템 모델
지붕을 해석하기 위한 시스템 및 좌표계는 Fig. 1과 같다. 일반적으로 L은 다수의 층으로 된 복합체이다. 각 위치 및 시간에서의 온도 분포를 구하기 위해, 단일층인 경우 에너지 보존식을 적용하면 식(1)과 같다.
(1)
(2)
(3)
(4)
는 열전도 계수이고,
는 대류열전달 계수이다. 식(3) 우변의 순 열유속
항은, 하루 중 낮에는 식(5)처럼 모델링될 수 있다.
(5)
단위면적당 값인 우변의 첫 항은 흡수된 태양열, 두 번째 항은 바람에 의한 대류, 세 번째 항은 복사냉각항, 네 번째 항은 증발 냉각항이다. 증발 냉각을 표면효과로 가정했다. 야간에는 태양열 흡수항이 제외된다.
천장이 있는 실내에 작용하는 냉방부하는, 천장 표면 온도를 먼저 구한 다음, 이를 식(4)에 대입해서 구한다.
2.2 수치해석 해
지붕이 일반적으로 복합체이고, 또한 경계조건이 복잡하므로, 수치해석 방법을 사용했다. 지붕두께
을 다수의 층으로 분할한 다음, 유한 차분법(Finite difference method)을 사용했다. 내부노드에 대해서, 임플리시트(Implicit) 방법을 적용하면, 식(6)이 된다. 상첨자
는 시간을, 하첨자
은 노드 위치를 나타낸다. 노드
을 기준으로
,
은 각각 이전 및 다음 위치 노드를 나타낸다.
(6)
식(6)에서 각 노드에서의 푸리에(Fourier) 수,
는 노드의 간격
와 열확산계수(Thermal diffusivity)
의 함수이다.
(7)
만일,
개의 노드가 고체 층에 있다면, 두 개의 유체 노드를 포함하므로
개의 연립방정식이 생성되며 이를 행렬로 표현하면 식(8)이 된다. 계수 행렬
의 크기는
이며, 온도 벡터
, 상수벡터
는 각각
열을 가진 열벡터이다.
(8)
다음 시점
의 해를,
의 역행렬
을 사용해서 표현하면 다음과 같다.
(9)
초기치를 사용해서 식(8)의 우변 값을 계산하고, 식(9)로 다음 시점의 온도를 구하는 방법을, 원하는 시간까지 계속해서 적용해나가면 된다. 1분 간격으로 해를 구해 나갔다. 두 개의 경계노드 및 다층 노드 계산에 사용된 식에 대한 서술은 생략한다. 수치해석 해는 엄밀해와 잘 일치했다.
2.3 입력 데이타
결과 예측에 사용된 물성치들이 Table 1에 제시되어 있다. ASHRAE 복합 경량지붕 중의 하나인 지붕번호 14(Roof 14)는 총 4개의 복합층으로 구성되어 있으며, 각각 0.1 m 경량 콘크리이트 M11, 0.0762 m 단열재 I03, 0.0127 m 외장재(sheathing) G03, 0.0095 m 외층(outerlayer) F13이다.11) 복합체의 전체 열전달 계수는 U=0.315 W/m2℃이고 열저항은 R=3.17 m2℃/W이다(대류 기준조건은 hroom= 6.25, hair= 25 W/m2℃이다.). 경량 콘크리이트의 경우, 두께 0.1 m에 대한 물성치가, 두께 0.2 m와 0.3 m에도 사용되었다. Table 1에 제시된 U값은 두께가 명시된 고체층만 고려한 값이다. 따라서 실내외 대류 조건에 따라 전체 열전달계수 값은 변한다. 옥상정원에 사용된, 순수하게 마른 Perlite 값과12) 참고문헌 3에 사용된 두 종류의 흙에 대한 물성치가 제시되어 있다.
3. 결 과
72시간 동안, 1분 간격으로 시뮬레이션을 했으며, 약 2일째부터는 결과들이 주기성을 보이기 시작했다.
Fig. 2-7, 9-11의 결과를 제시할 때 사용된 규약들은 다음과 같다. (1) 수평 좌표축 U는 전체 층에 대한 U값이다. 옥상정원을 추가하기 전 지붕의 고체 층에 대한 U값을 안다면, 제시된 결과들로부터 옥상정원을 추가했을 때의 경향을 추정할 수 있다. (2) 3 종류의 선과 5개의 기호를 사용해서 결과들이 구별되어 있다. 선은 콘크리이트 단일층의 두께를 나타낸다. 점선은 콘크리이트 두께 0.1 m를, 쇄선과 실선은 각각 콘크리이트 두께 0.2 m와 0.3 m를 연결한 선이다.
기호 규약에서 콘크리이트는 단일층을, 다른 기호는 복합층을 나타낸다. 복합층은 선이 나타내는 두께의 콘크리이트에, 기호로 표시한 층이 추가된 2층의 복합 지붕이다. 예를 들어, 점선상의 콘크리이트 기호는 두께가 0.1 m인 콘크리이트 단일층을 나타낸다. 점선상의 x기호는, 0.1 m 콘크리이트와 0.0762 m 단열재(I03)로 이루어진 복합층이며, ASHRAE 천장유형 14와 유사하다11). 옥상정원의 흙을 나타내는 기호는 Perlite, Ref 3a와 3b로 표시되어 있으며, 흙의 두께는 세가지 경우 모두 0.2 m이다. Perlite 기호는(콘크리이트+Perlite), Ref3a와 Ref3b는 각각 concrete + 옥상정원 흙의 유형 (a)와 (b)인 경우이다. Table 1에 물성치가 제시되어 있다. (3) ‘지붕면’은 지붕의 실외쪽 면을, ‘천장면’은 지붕의 실내쪽 면을 나타낸다.
3.1 하절기 주간 가열의 영향
다음에 제시된 Figs. 2∼4는 태양열이 낮동안 주기적으로 흡수가 되지만, 일몰 후에는 바람만에 의해서, 지붕면에서의 방열이 이루어지는 경우에 대한 예측 결과들이다. 시간 t=0는 낮 12시이다.
(10)
실내가 Troom=26℃, hroom=6.25 W/m2 ℃이고, 실외가 Tair=35℃, hair=6.25 또는 25 W/m2℃이다. 후자의 경우 풍속은 3~5 m/s이다.
Fig. 2에는 냉방부하의 최댓값만 ‘3. 결과’에 서술된 규약에 따라서 제시되어 있다. 대류상수가 hair= 6.25 W/m2℃인 경우, 복합층의 U값이 1보다 작으면, 단열 효과에 의해 방에 전달되는 냉방부하가 30∼50% 정도 감소하고 있다. 반면에 대류상수가 hair=25 W/m2℃로 큰 경우 단열층에 의한 효과는 작고, 복합층에 비해 단일층이 냉각에 유리하다. 이 경우 지붕면을 통해서 충분히 방열될 수 있어서, 실내로 유입되는 냉방부하의 크기가 작아졌다.
Fig. 3에는 Fig. 2와 동일한 조건에서 천장면의 최대 온도만 제시되어 있다. Fig. 2에 대한 서술과 동일한 경향을 보이고 있으며, 식(4)에서 예측되는 결과이다.
Fig. 4에는 Fig. 2와 동일한 조건에서 지붕면의 최대 온도만 제시되어 있다. 단일층인 경우, 외부로부터 유입되는 열량은 실내로도 전달되므로, hair=6.25 W/m2℃에서 지붕면의 온도가 가장 낮았다(대신 냉방부하는 증가한다). 대류에 의한 냉각이 큰 hair=25 W/m2℃의 경우, 유입된 태양열이 지붕면의 공기로 방열되어 지붕면의 온도가 hair=6.25 W/m2℃인 경우에 비해 낮아졌다. 단일층인 경우, 지붕면의 온도도 낮았으며 따라서 Fig. 2에서와 같이 방에 유입되는 냉방부하도 작았다. 단열효과가 클수록 지붕면의 온도가 높다. 단일층인 경우 열은 외부에서 실내로 전달되고 있는 반면에, 단열재가 있는 경우는 복합층 내부의 온도가 외기 온도 보다 높아지는 경우도 있으며, 이 경우에 복합층 내부에서 실내로 흐르는 열량은 단열에 의해 축소되고 대신 실외로 흐르게 된다. 이 경우, 단열재는 지붕면 냉각에 도움이 되지 않고 있다.
콘크리이트 지붕에 옥상정원 흙 0.2 m 추가하는 것은 단열재를 0.0762 m 내외로 추가하는 것과 효과가 같다는 것을 Figs. 2∼4의 결과로부터 유추할 수 있다. 또한, 옥상정원의 흙을 효율적인 단열재로 대체할 수 있음을 의미하고 있다. 단열재가 추가됨에 따라 냉방부하 및 천장면 온도는 감소하지만 지붕면 온도는 증가하고 있다. 따라서 콘크리이트 지붕에 단열재가 장착되어 고체층만 고려한 U값이 1보다 작은 경우라면(또는 열저항 R값이 1보다 크다면), 여기에 다시 옥상정원의 흙을 추가하는 것은 냉방부하를 줄이는 데 크게 도움이 되지 않으며, 방열에 오히려 방해가 된다고 유추할 수 있다. 따라서 이미 단열이 잘된 ASHRAE가 제시한 4가지 천장 유형에, 옥상정원을 추가하는 것은 단열 효과 면에서는 의미가 없다.
Figs. 2∼4에 제시된 결과들은 Yang 등이 실험을 통해 제시한 결과와 잘 일치한다3). 천장에(U=1.05 W/m2 ℃) 0.025 m 단열재가 있다면, 여기에 추가된 두께 0.1~0.2 m 흙에 의한 영향은 거의 없었다3).
3.2 하절기 냉각의 영향
식(5)에 제시된 항 중, 복사냉각과 증발에 의한 냉각항만 순수하게 냉각과 관련이 있다. ASHRAE 핸드북에 의하면, 야간 복사냉각의 최대 추정치는 약 63 W/m2 이다11).Byun이 행한 실험 결과에 의하면, 서울 지역에서 하절기 맑은 날 야간 풍속이 2 m/s 이하인 경우, 복사냉각에 의해 대기 온도보다 2~5℃ 정도가 낮은 온도를 얻을 수 있었다13). 풍속 2 m/s에 대응하는 대류상수는 hair=13~20 W/m2 ℃이며, 63 W/m2 은 실험결과 범위내의 값이다. Fig. 5∼7은 오후 6시부터 오전 6시까지 63 W/m2 크기의 균일한 복사 냉각이 있는 경우에 대한 예측 결과들이다. 외기와 실내공기의 온도는 26℃로 동일하며, 또한 실내 및 실외의 대류 상수는 hair=6.25 W/m2 ℃로 같다.
Fig. 5에는 냉방부하의 최댓값들이 제시되어 있으며, 이에 의하면, 단열되지 않은 콘크리이트가 복합층에 비해, 그리고 두께가 얇을수록 냉각에 유리함을 볼 수 있다. 반면에 단열효과가 클수록 냉각에 불리한 경향을 보이고 있다.
Fig. 6에는 천장면의 최저온도만 제시되어 있으며, 실내와 실외 온도인 26℃가 최고온도이다. 온도변화는 최대 약 3℃ 정도로 작지만, Fig. 5와 유사한 경향을 보이고 있다.
Fig. 7에는 지붕면의 최저온도만 제시되어 있다. 최고온도는 실내 및 외기 온도인 26℃이다. 온도변화가 최대 약 3℃ 정도로 작지만, 단열되지 않은 콘크리이트가 복합층에 비해, 그리고 두께가 얇을수록 전체 열전달계수 U의 값이 커져서, 온도차가 작아지므로, 지붕면의 온도가 높았다.
옥상정원의 또 다른 효과는 증발에 의한 냉각이다. 기상청(KMA)에 의하면, 2015년 8월의 일일 평균 증발량은 2.3~3.5 mm/m2이다14). 일일 증발량 3.5 mm/m2에 해당하는 냉각효과를 하루 동안 균일하게 환산해 보면 약 100 W/m2 정도이다. 복사냉각에 대한 결과인 Fig. 5∼7과 유사한 경향을 보이리라 추정되어 결과 발표를 생략하는 대신 다음 절의 복합적인 효과들에서 고려했다.
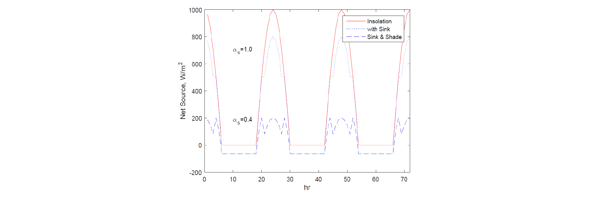
3.3 하절기 복합 요인의 영향
하루 중 공기 온도와 일사량의 변화를 식(11)-(12)으로 가정했으며, t=0 인 낮 12시에 최댓값이다. 시간 t의 단위는 초이다.
(11)
(12)
증발냉각에 의해 약 6시간(9시∼3시) 동안 순 유입 열유속 S의 세기가 200 W/m2℃ 감소한다고 가정했다.
옥상정원에 의한 차폐효과를 고려하기 위해 태양열 흡수 계수를 1.0 또는 0.4 로 변화시켰다. 대류를 제외한 옥상정원에서 일어날 수 있는 모든 효과를 고려한 순 유입열유속 S의 세기가 Fig. 8에 제시되어 있다.
Fig. 9에 냉방부하의 최댓값이 제시되어 있다. 태양열 흡수율이 0.4로 감소함에 따라(또는 60% 정도가 차폐됨에 따라) 냉방부하가 감소하고 있다. 부하의 감소율은 복합층보다 단일층에서 크다. 천장면의 온도는 냉방부하와 유사한 경향을 보이고 있어서, 결과 발표를 생략한다(Fig. 3, 6 참조). 하절기에는 태양열 차폐가 중요한 변수임을 Fig. 9에서 추정할 수 있다.
Fig. 10에는 지붕면 온도의 최댓값이 제시되어 있다. 태양흡수율이 감소함에 따라 지붕면의 온도 또한 비례하여 감소하고 있다. 복합층에 비해 단일층의 온도가 낮다.
옥상정원의 효과라고 얘기되는 차폐효과, 증발에 의한 효과 그리고 단열 효과 등을 모두 고려하여, 하절기 열대야가 있는 날들의 옥상정원에 대해 시뮬레이션을 해보았다. 옥상정원 흙의 두께가 0.2 m인 경우이므로, 나무 그늘 등을 이용한 차폐를 기대할 수 는 없다4). 옥상정원의 흙이 단열재의 역할을 하고 있어서, 단열재가 없는 경우보다 열전달이 잘 되지 않기 때문에, 냉방 시 외부로부터 열 유입은 차단하지만, 외부로 방열하려는 경우에는 방해가 된다. 따라서 실내 부하만 고려하는 경우, 하절기 주간 또는 동절기 야간에 유리하나 하절기 야간 및 동절기 주간에는 불리하다. 단열이 잘되어 있는 지붕에 옥상정원을 추가하는 것이 냉방 부하 절감에는 큰 효과가 없음을 확인했다. 물론 난방에는 도움이 된다(이 논문에서 발표된 결과들은, 이전 몇몇 연구자들의 연구 결과와 일치하고 있다3)5)6)8). 예를 들면, (1) 오래된 건물처럼, 단열이 되어 있지 않거나 충분치 못한 건물인 경우 옥상정원의 효과가 크다5). (2) 옥상정원이 천장의 성능을 향상시키더라도 원래 천장의 단열층을 대체하지는 못할 것이다)6).
4. 결 론
본 연구에서는 옥상정원의 효과를 해석모델을 사용해서 고찰해보았다. 문헌에 보고된 내용들이 시뮬레이션을 통해서 확인되었다. 이러한 해석도구를 사용해서 기후조건을 고려할 수 있으며, 설계와 분석 그리고 실험설계에 도움이 될 것이다. 단순모델로 극한 추정값들을 제시했으므로, 증발량 및 복사냉각항에 대한 세밀한 모델링 및 연구가 경우에 따라 필요할 수도 있다. 본 연구의 결론은 다음과 같다.
(1) 잘 단열되어 있는 지붕에 (U값이 약 1 W/m2 ℃보다 작거나 R값이 1 m2/W℃보다 큰 경우) 옥상정원을 설치하는 것은 하절기 냉방부하 절감에 도움이 되지 않는다.
(2) 이 논문에서 사용된 옥상정원의 증발량보다 더 많은 양의 물을 효율적으로 살수하여 증발시켜서, 옥상을 능동적으로 냉각할 수도 있을 것이다.
(3) 이 논문에서 사용된 조건하에서, 하절기에 옥상정원이 태양열을 적어도 60% 이상 차단하지 못한다면, 옥상정원보다 능동적인 수단들을 사용하는 것이 냉방부하를 줄이는 데 유리하다.
(4) 옥상정원을 통해서 도시의 녹지를 조성하고 미관 등을 개선하는 효과와 이를 통한 에너지 절약효과는 별개로 분리해서 생각할 필요가 있다. 에너지 절약이 우선이라면, 능동적인 해결 방법이 옥상정원보다 더 효율적인 수단이 될 수 있다.













